Product Images Amoxicillin And Clavulanate Potassium

View Photos of Packaging, Labels & Appearance

Product Label Images

The following 5 images provide visual information about the product associated with Amoxicillin And Clavulanate Potassium NDC 16714-297 by Northstar Rx Llc, such as packaging, labeling, and the appearance of the drug itself. This resource could be helpful for medical professionals, pharmacists, and patients seeking to verify medication information and ensure they have the correct product.

PACKAGE LABEL-PRINCIPAL DISPLAY PANEL - 250 mg/125 mg (30 Tablet Bottle) - amoxiclav fig1

PACKAGE LABEL-PRINCIPAL DISPLAY PANEL - 250 mg/125 mg (30 Tablet Bottle) - amoxiclav fig1

PACKAGE LABEL-PRINCIPAL DISPLAY PANEL - 500 mg/125 mg (20 Tablet Bottle) - amoxiclav fig2

PACKAGE LABEL-PRINCIPAL DISPLAY PANEL - 500 mg/125 mg (20 Tablet Bottle) - amoxiclav fig2

Each film-coated tablet contains 500 mg of amoxicillin and 125 mg of clavulanic acid. The tablets also contain 0.63 mEq of potassium. The usual dosage is one tablet every 12 hours. The tablets should be kept in a closed container. The product is made in India and distributed by Northstar Rx LLC. The manufacturing company is Aurobindo Pharma Limited. The packaging should not be printed on.*

PACKAGE LABEL-PRINCIPAL DISPLAY PANEL - 875 mg/125 mg (20 Tablet Bottle) - amoxiclav fig3

PACKAGE LABEL-PRINCIPAL DISPLAY PANEL - 875 mg/125 mg (20 Tablet Bottle) - amoxiclav fig3

chemical structure - amoxiclav str1

chemical structure - amoxiclav str1

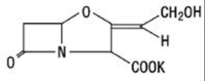
chemical structure - amoxiclav str2

chemical structure - amoxiclav str2

* The product label images have been analyzed using a combination of traditional computing and machine learning techniques. It should be noted that the descriptions provided may not be entirely accurate as they are experimental in nature. Use the information in this page at your own discretion and risk.