Product Images Atropine Sulfate

View Photos of Packaging, Labels & Appearance

Product Label Images

The following 4 images provide visual information about the product associated with Atropine Sulfate NDC 16729-512 by Accord Healthcare Inc., such as packaging, labeling, and the appearance of the drug itself. This resource could be helpful for medical professionals, pharmacists, and patients seeking to verify medication information and ensure they have the correct product.

carton - atropine carton

carton - atropine carton

This appears to be a description of a medication called Atropine Sulfate Injection, USP. It contains 0.4 mg per mL and is intended for intravenous, intramuscular, subcutaneous, intraosseous or endotracheal use. The usual dose is provided by the prescribing information. It comes in a 20 mL vial manufactured by Prameceutical Limited in Ahmedabad, India. The readable text is accompanied by some illegible text due to errors.*

carton - atropine label

carton - atropine label

Atropine Sulfate Injection, USP is a medication with a concentration of 0.4 mg per mL. It contains Atropine sulfate and benzyl alcohol, and is commonly administered via endotracheal use. The medication should be stored between 20°C to 25°C (68°F to 77°F) and needs to be discarded within 24 hours after initial use. The manufacturer of the medication is Accord Healthcare, Inc. The prescription information and dosage guidance should be followed for proper use. The medication is available in a multiple-dose vial, where each mL contains 0.3 mg Atropine sulfate (equivalent to 0.4 mg per mL). The pH level of the medication is adjusted with sulfuric acid, as necessary. The information regarding LOT and EXP or 2D matrix can be found on the packaging.*

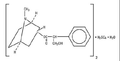
structure - atropine structure

structure - atropine structure

label - atropine ten vials carton label

label - atropine ten vials carton label

* The product label images have been analyzed using a combination of traditional computing and machine learning techniques. It should be noted that the descriptions provided may not be entirely accurate as they are experimental in nature. Use the information in this page at your own discretion and risk.