Product Images Phentermine

View Photos of Packaging, Labels & Appearance

Product Label Images

The following 4 images provide visual information about the product associated with Phentermine NDC 17224-890 by Calvin Scott & Co., Inc., such as packaging, labeling, and the appearance of the drug itself. This resource could be helpful for medical professionals, pharmacists, and patients seeking to verify medication information and ensure they have the correct product.

Label - Label

Label - Label

This is a medication label for Phentermine 37.5 mg capsules with directions to take 1 capsule daily as directed. It includes information such as CSNDC # 17224-890-28, MFG NDC #10702-029-10, distributed by Calvin Scott & Co Inc, and contains a caution regarding the transfer of the drug to others. The label also specifies "RX Only" with no refill allowed, an expiration date of 12/31, and an E Lot number of CS12345.*

BMI Index - figure 1 bmi index

BMI Index - figure 1 bmi index

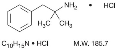
chemical structure - figure 2 chemical structure

chemical structure - figure 2 chemical structure

This is not-available.*

company logo - figure 3 company logo

* The product label images have been analyzed using a combination of traditional computing and machine learning techniques. It should be noted that the descriptions provided may not be entirely accurate as they are experimental in nature. Use the information in this page at your own discretion and risk.