FDA Label for Oxycodone Hydrochloride
View Indications, Usage & Precautions
- WARNING: RISK OF MEDICATION ERRORS; ADDICTION, ABUSE AND MISUSE; RISK EVALUATION AND MITIGATION STRATEGY (REMS); LIFE-THREATENING RESPIRATORY DEPRESSION; ACCIDENTAL INGESTION; NEONATAL OPIOID WITHDRAWAL SYNDROME; CYTOCHROME P450 3A4 INTERACTION; AND RISKS FROM CONCOMITANT USE WITH BENZODIAZEPINES OR OTHER CNS DEPRESSANTS
- 1 INDICATIONS AND USAGE
- 2.1 IMPORTANT DOSAGE AND ADMINISTRATION INSTRUCTIONS
- 2.2 PATIENT ACCESS TO NALOXONE FOR THE EMERGENCY TREATMENT OF OPIOID OVERDOSE
- 2.3 INITIAL DOSAGE
- 2.4 TITRATION AND MAINTENANCE OF THERAPY
- 2.5 SAFE REDUCTION OR DISCONTINUATION OF OXYCODONE HYDROCHLORIDE ORAL SOLUTION
- 3 DOSAGE FORMS AND STRENGTHS
- 4 CONTRAINDICATIONS
- 5.1 RISK OF ACCIDENTAL OVERDOSE AND DEATH DUE TO MEDICATION ERRORS
- 5.2 ADDICTION, ABUSE, AND MISUSE
- 5.3 OPIOID ANALGESIC RISK EVALUATION AND MITIGATION STRATEGY (REMS)
- 5.4 LIFE-THREATENING RESPIRATORY DEPRESSION
- 5.5 NEONATAL OPIOID WITHDRAWAL SYNDROME
- 5.6 RISKS OF CONCOMITANT USE OR DISCONTINUATION OF CYTOCHROME P450 3A4 INHIBITORS AND INDUCERS
- 5.7 RISKS FROM CONCOMITANT USE WITH BENZODIAZEPINES OR OTHER CNS DEPRESSANTS
- 5.8 LIFE-THREATENING RESPIRATORY DEPRESSION IN PATIENTS WITH CHRONIC PULMONARY DISEASE OR IN ELDERLY, CACHECTIC, OR DEBILITATED PATIENTS
- 5.9 ADRENAL INSUFFICIENCY
- 5.10 SEVERE HYPOTENSION
- 5.11 RISKS OF USE IN PATIENTS WITH INCREASED INTRACRANIAL PRESSURE, BRAIN TUMORS, HEAD INJURY, OR IMPAIRED CONSCIOUSNESS
- 5.12 RISKS OF USE IN PATIENTS WITH GASTROINTESTINAL CONDITIONS
- 5.13 INCREASED RISK OF SEIZURES IN PATIENTS WITH SEIZURE DISORDERS
- 5.14 WITHDRAWAL
- 5.15 RISKS OF DRIVING AND OPERATING MACHINERY
- 6 ADVERSE REACTIONS
- 7 DRUG INTERACTIONS
- 8.1 PREGNANCY
- 8.2 LACTATION
- 8.3 FEMALES AND MALES OF REPRODUCTIVE POTENTIAL
- 8.4 PEDIATRIC USE
- 8.5 GERIATRIC USE
- 8.6 HEPATIC IMPAIRMENT
- 8.7 RENAL IMPAIRMENT
- 9.1 CONTROLLED SUBSTANCE
- 9.2 ABUSE
- 9.3 DEPENDENCE
- 10 OVERDOSAGE
- 11 DESCRIPTION
- 12.1 MECHANISM OF ACTION
- 12.2 PHARMACODYNAMICS
- 12.3 PHARMACOKINETICS
- 13.1 CARCINOGENESIS, MUTAGENESIS, IMPAIRMENT OF FERTILITY
- 16 HOW SUPPLIED/STORAGE AND HANDLING
- 17 PATIENT COUNSELING INFORMATION
- MEDICATION GUIDE
- PACKAGE/LABEL DISPLAY PANEL
Oxycodone Hydrochloride Product Label
The following document was submitted to the FDA by the labeler of this product Atlantic Biologicals Corp.. The document includes published materials associated whith this product with the essential scientific information about this product as well as other prescribing information. Product labels may durg indications and usage, generic names, contraindications, active ingredients, strength dosage, routes of administration, appearance, warnings, inactive ingredients, etc.
Warning: Risk Of Medication Errors; Addiction, Abuse And Misuse; Risk Evaluation And Mitigation Strategy (Rems); Life-Threatening Respiratory Depression; Accidental Ingestion; Neonatal Opioid Withdrawal Syndrome; Cytochrome P450 3A4 Interaction; And Risks From Concomitant Use With Benzodiazepines Or Other Cns Depressants
Risk of Medication Errors
Ensure accuracy when prescribing, dispensing, and administering Oxycodone Hydrochloride Oral Solution. Dosing errors due to confusion between mg and mL, and other oxycodone hydrochloride oral solutions of different concentrations can result in accidental overdose and death [see Dosage and Administration (2.1), Warnings and Precautions (5.1)].
Addiction, Abuse, and Misuse
Oxycodone Hydrochloride Oral Solution exposes patients and other users to the risks of opioid addiction, abuse, and misuse, which can lead to overdose and death. Assess each patient’s risk prior to prescribing Oxycodone Hydrochloride Oral Solution, and monitor all patients regularly for the development of these behaviors and conditions [see Warnings and Precautions (5.2)].
Opioid Analgesic Risk Evaluation and Mitigation Strategy (REMS)
To ensure that the benefits of opioid analgesics outweigh the risks of addiction, abuse, and misuse, the Food and Drug Administration (FDA) has required a REMS for these products [see Warnings and Precautions (5.3)]. Under the requirements of the REMS, drug companies with approved opioid analgesic products must make REMS-compliant education programs available to healthcare providers. Healthcare providers are strongly encouraged to
• complete a REMS-compliant education program,• counsel patients and/or their caregivers, with every prescription, on safe use, serious risks, storage, and disposal of these products,• emphasize to patients and their caregivers the importance of reading the Medication Guide every time it is provided by their pharmacist, and• consider other tools to improve patient, household, and community safety.• Reserve concomitant prescribing of Oxycodone Hydrochloride Oral Solution and benzodiazepines or other CNS depressants for use in patients for whom alternative treatment options are inadequate.• Limit dosages and durations to the minimum required.• Follow patients for signs and symptoms of respiratory depression and sedation.
Life-Threatening Respiratory Depression
Serious, life-threatening, or fatal respiratory depression may occur with use of Oxycodone Hydrochloride Oral Solution. Monitor for respiratory depression, especially during initiation of Oxycodone Hydrochloride Oral Solution or following a dose increase [see Warnings and Precautions (5.4)].
Accidental Ingestion
Accidental ingestion (or exposure) of even one dose of Oxycodone Hydrochloride Oral Solution, especially by children, can result in a fatal overdose of oxycodone [see Warnings and Precautions (5.4)].
Neonatal Opioid Withdrawal Syndrome
Prolonged use of Oxycodone Hydrochloride Oral Solution during pregnancy can result in neonatal opioid withdrawal syndrome, which may be life-threatening if not recognized and treated, and requires management according to protocols developed by neonatology experts. If opioid use is required for a prolonged period in a pregnant woman, advise the patient of the risk of neonatal opioid withdrawal syndrome and ensure that appropriate treatment will be available [see Warnings and Precautions (5.5)].
Cytochrome P450 3A4 Interaction
The concomitant use of Oxycodone Hydrochloride Oral Solution with all cytochrome P450 3A4 inhibitors may result in an increase in oxycodone plasma concentrations, which could increase or prolong adverse reactions and may cause potentially fatal respiratory depression. In addition, discontinuation of a concomitantly used cytochrome P450 3A4 inducer may result in an increase in oxycodone plasma concentration. Monitor patients receiving Oxycodone Hydrochloride Oral Solution and any CYP3A4 inhibitor or inducer [see Warnings and Precautions (5.6), Drug Interactions (7), Clinical Pharmacology (12.3)].
Risks From Concomitant Use With Benzodiazepines Or Other CNS Depressants
Concomitant use of opioids with benzodiazepines or other central nervous system (CNS) depressants, including alcohol, may result in profound sedation, respiratory depression, coma, and death [see Warnings and Precautions (5.7), Drug Interactions (7)].
1 Indications And Usage
Oxycodone Hydrochloride Oral Solution is indicated for the management of pain severe enough to require an opioid analgesic and for which alternative treatments are inadequate.
Limitations of Use
Because of the risks of addiction, abuse, and misuse with opioids, even at recommended doses [see Warnings and Precautions (5.2)], reserve Oxycodone Hydrochloride Oral Solution for use in patients for whom alternative treatment options [e.g., non-opioid analgesics or opioid combination products]:
• Have not been tolerated, or are not expected to be tolerated,• Have not provided adequate analgesia, or are not expected to provide adequate analgesia.
2.1 Important Dosage And Administration Instructions
Ensure accuracy when prescribing, dispensing, and administering Oxycodone Hydrochloride Oral Solution to avoid dosing errors due to confusion between mg and mL, and with other oxycodone hydrochloride solutions of different concentrations, which could result in accidental overdose and death. Ensure the proper dose is communicated and dispensed. When writing prescriptions, include both the total dose in mg and the total dose in volume.
Always use the enclosed calibrated measuring cup when administering Oxycodone Hydrochloride Oral Solution 5 mg/5 mL (1 mg/mL), to ensure that the dose is measured and administered accurately.
Do not use household teaspoons or tablespoons to measure Oxycodone Hydrochloride Oral Solution, as using a tablespoon instead of a teaspoon could lead to overdosage.
Use the lowest effective dosage for the shortest duration consistent with individual patient treatment goals [see Warnings and Precautions (5)].
Initiate the dosing regimen for each patient individually, taking into account the patient's severity of pain, patient response, prior analgesic treatment experience, and risk factors for addiction, abuse, and misuse [see Warnings and Precautions (5.2)].
Monitor patients closely for respiratory depression, especially within the first 24 to 72 hours of initiating therapy and following dosage increases with oxycodone hydrochloride solution and adjust the dosage accordingly [see Warnings and Precautions (5.4)].
2.2 Patient Access To Naloxone For The Emergency Treatment Of Opioid Overdose
Discuss the availability of naloxone for the emergency treatment of opioid overdose with the patient and caregiver and assess the potential need for access to naloxone, both when initiating and renewing treatment with Oxycodone Hydrochloride Oral Solution [see Warnings and Precautions (5.4), Patient Counseling Information (17)].
Inform patients and caregivers about the various ways to obtain naloxone as permitted by individual state naloxone dispensing and prescribing requirements or guidelines (e.g., by prescription, directly from a pharmacist, or as part of a community-based program).
Consider prescribing naloxone, based on the patient’s risk factors for overdose, such as concomitant use of CNS depressants, a history of opioid use disorder, or prior opioid overdose. The presence of risk factors for overdose should not prevent the proper management of pain in any given patient [see Warnings and Precautions (5.2, 5.4, 5.7)].
Consider prescribing naloxone if the patient has household members (including children) or other close contacts at risk for accidental ingestion or overdose.
2.3 Initial Dosage
Although it is not possible to list every condition that is important to the selection of the initial dose of Oxycodone Hydrochloride Oral Solution, attention must be given to:
• the daily dose, potency and characteristics of a full agonist or mixed agonist/antagonist the patient has been taking previously• the reliability of the relative potency estimate used to calculate the equivalent oxycodone hydrochloride needed• the degree of opioid tolerance• the general condition and medical status of the patient, including the patient’s weight and age• the balance between pain management and adverse reactions• the type and severity of the patient's pain• risk factors for abuse or addiction, including a prior history of abuse or addiction
Use of Oxycodone Hydrochloride Oral Solution as the First Opioid Analgesic
Initiate treatment with Oxycodone Hydrochloride Oral Solution: 5 to 15 mg every 4 to 6 hours as needed for pain. Titrate the dose based upon the individual patient’s response to their initial dose of Oxycodone Hydrochloride OralSolution. Patients with chronic pain should have their dosage given on an around-the-clock basis to prevent the reoccurrence of pain rather than treating the pain after it has occurred. This dose can then be adjusted to an acceptable level of analgesia taking into account side effects experienced by the patient.
For control of severe chronic pain, Oxycodone Hydrochloride Oral Solution should be administered on a regularly scheduled basis, every 4 to 6 hours, at the lowest dosage level that will achieve adequate analgesia.
Conversion from Other Opioids to Oxycodone Hydrochloride Oral Solution
There is inter-patient variability in the potency of opioid drugs and opioid formulations. Therefore, a conservative approach is advised when determining the total daily dosage of Oxycodone Hydrochloride Oral Solution. It is safer to underestimate a patient’s 24-hour Oxycodone Hydrochloride Oral Solution than to overestimate the 24-hour Oxycodone Hydrochloride Oral Solution dosage and manage an adverse reaction due to overdose. If a patient has been receiving opioid-containing medications prior to taking Oxycodone Hydrochloride Oral Solution, the potency of the prior opioid relative to oxycodone should be factored into the selection of the total daily dose (TDD) of oxycodone.
In converting patients from other opioids to Oxycodone Hydrochloride Oral Solution, close observation and adjustment of dosage based upon the patient’s response to Oxycodone Hydrochloride Oral Solution is imperative. Administration of supplemental analgesia for breakthrough or incident pain and titration of the total daily dose of Oxycodone Hydrochloride Oral Solution may be necessary, especially in patients who have disease states that are changing rapidly.
Conversion from Oxycodone Hydrochloride Oral Solution to Extended-Release Oxycodone
The relative bioavailability of Oxycodone Hydrochloride Oral Solution compounds to extended-release oxycodone is unknown, so conversion to extended-release tablets/capsules must be accompanied by close observation for signs of excessive sedation and respiratory depression.
2.4 Titration And Maintenance Of Therapy
Individually titrate Oxycodone Hydrochloride Oral Solution to a dose that provides adequate analgesia and minimizes adverse reactions. Continually reevaluate patients receiving Oxycodone Hydrochloride Oral Solution to assess the maintenance of pain control and the relative incidence of adverse reactions, as well as monitoring for the development of addiction, abuse, or misuse [see Warnings and Precautions (5.2)]. Frequent communication is important among the prescriber, other members of the healthcare team, the patient, and the caregiver/family during periods of changing analgesic requirements, including initial titration.
If the level of pain increases after dosage stabilization, attempt to identify the source of increased pain before increasing the Oxycodone Hydrochloride Oral Solution dosage. If unacceptable opioid-related adverse reactions are observed, consider reducing the dosage. Adjust the dosage to obtain an appropriate balance between management of pain and opioid-related adverse reactions.
2.5 Safe Reduction Or Discontinuation Of Oxycodone Hydrochloride Oral Solution
Do not abruptly discontinue Oxycodone Hydrochloride Oral Solution in patients who may be physically dependent on opioids. Rapid discontinuation of opioid analgesics in patients who are physically dependent on opioids has resulted in serious withdrawal symptoms, uncontrolled pain, and suicide. Rapid discontinuation has also been associated with attempts to find other sources of opioid analgesics, which may be confused with drug-seeking for abuse. Patients may also attempt to treat their pain or withdrawal symptoms with illicit opioids, such as heroin, and other substances.
When a decision has been made to decrease the dose or discontinue therapy in an opioid-dependent patient taking Oxycodone Hydrochloride Oral Solution , there are a variety of factors that should be considered, including the dose of Oxycodone Hydrochloride Oral Solution the patient has been taking, the duration of treatment, the type of pain being treated, and the physical and psychological attributes of the patient. It is important to ensure ongoing care of the patient and to agree on an appropriate tapering schedule and follow-up plan so that patient and provider goals and expectations are clear and realistic. When opioid analgesics are being discontinued due to a suspected substance use disorder, evaluate and treat the patient, or refer for evaluation and treatment of the substance use disorder. Treatment should include evidence-based approaches, such as medication assisted treatment of opioid use disorder. Complex patients with co-morbid pain and substance use disorders may benefit from referral to a specialist.
There are no standard opioid tapering schedules that are suitable for all patients. Good clinical practice dictates a patient-specific plan to taper the dose of the opioid gradually. For patients on Oxycodone Hydrochloride Oral Solution who are physically opioid-dependent, initiate the taper by a small enough increment (e.g., no greater than 10% to 25% of the total daily dose) to avoid withdrawal symptoms, and proceed with dose-lowering at an interval of every 2 to 4 weeks. Patients who have been taking opioids for briefer periods of time may tolerate a more rapid taper.
It may be necessary to provide the patient with lower dosage strengths to accomplish a successful taper. Reassess the patient frequently to manage pain and withdrawal symptoms, should they emerge. Common withdrawal symptoms include restlessness, lacrimation, rhinorrhea, yawning, perspiration, chills, myalgia, and mydriasis. Other signs and symptoms also may develop, including irritability, anxiety, backache, joint pain, weakness, abdominal cramps, insomnia, nausea, anorexia, vomiting, diarrhea, or increased blood pressure, respiratory rate, or heart rate. If withdrawal symptoms arise, it may be necessary to pause the taper for a period of time or raise the dose of the opioid analgesic to the previous dose, and then proceed with a slower taper. In addition, monitor patients for any changes in mood, emergence of suicidal thoughts, or use of other substances.
When managing patients taking opioid analgesics, particularly those who have been treated for a long duration and/or with high doses for chronic pain, ensure that a multimodal approach to pain management, including mental health support (if needed), is in place prior to initiating an opioid analgesic taper. A multimodal approach to pain management may optimize the treatment of chronic pain, as well as assist with the successful tapering of the opioid analgesic [see Warnings and Precautions (5.14), Drug Abuse and Dependence (9.3)].
3 Dosage Forms And Strengths
Oxycodone Hydrochloride Oral Solution, USP: 5 mg per 5 mL (1 mg/mL)
4 Contraindications
Oxycodone Hydrochloride Oral Solution is contraindicated in patients with:
• Significant respiratory depression [see Warnings and Precautions (5.4)]• Acute or severe bronchial asthma in an unmonitored setting or in the absence of resuscitative equipment [seeWarnings and Precautions (5.4)]• Known or suspected gastrointestinal obstruction, including paralytic ileus [see Warnings and Precautions (5.12)]• Hypersensitivity to oxycodone [see Warnings and Precautions (5.1), Adverse Reactions (6)]
5.1 Risk Of Accidental Overdose And Death Due To Medication Errors
Dosing errors can result in accidental overdose and death. Avoid dosing errors that may result from confusion between mg and mL and confusion with oxycodone solutions of different concentrations, when prescribing, dispensing, and administering Oxycodone Hydrochloride Oral Solution. Ensure that the dose is communicated clearly and dispensed accurately. Always use the enclosed calibrated measuring cup when administering Oxycodone Hydrochloride Oral Solution to ensure the dose is measured and administered accurately. Do not use a teaspoon or a tablespoon to measure a dose. A household teaspoon or tablespoon is not an adequate measuring device. Given the inexactitude of the household spoon measure and the possibility of using a tablespoon instead of a teaspoon, which could lead to overdosage, it is strongly recommended that, if the enclosed calibrated measuring cup becomes lost, caregivers obtain and use a calibrated measuring device. Health care providers should recommend a calibrated device that can measure and deliver the prescribed dose accurately, and instruct caregivers to use extreme caution in measuring the dosage.
5.2 Addiction, Abuse, And Misuse
Oxycodone Hydrochloride Oral Solution contains oxycodone, a Schedule II controlled substance. As an opioid, Oxycodone Hydrochloride Oral Solution exposes users to the risks of addiction, abuse, and misuse [see Drug Abuse and Dependence (9)].
Although the risk of addiction in any individual is unknown, it can occur in patients appropriately prescribed Oxycodone Hydrochloride Oral Solution. Addiction can occur at recommended dosages and if the drug is misused or abused.
Assess each patient’s risk for opioid addiction, abuse, or misuse prior to prescribing Oxycodone Hydrochloride Oral Solution, and monitor all patients receiving Oxycodone Hydrochloride Oral Solution for the development of these behaviors and conditions. Risks are increased in patients with a personal or family history of substance abuse (including drug or alcohol abuse or addiction) or mental illness (e.g., major depression). The potential for these risks should not, however, prevent the proper management of pain in any given patient. Patients at increased risk may be prescribed opioids such as Oxycodone Hydrochloride Oral Solution, but use in such patients necessitates intensive counseling about the risks and proper use of Oxycodone Hydrochloride Oral Solution along with intensive monitoring for signs of addiction, abuse, and misuse. Consider prescribing naloxone for the emergency treatment of opioid overdose [see Dosage andAdministration (2.2), Warnings and Precautions (5.4)].
Opioids are sought by drug abusers and people with addiction disorders and are subject to criminal diversion. Consider these risks when prescribing or dispensing Oxycodone Hydrochloride Oral Solution. Strategies to reduce these risks include prescribing the drug in the smallest appropriate quantity and advising the patient on the proper disposal of unused drug [see Patient Counseling Information (17)]. Contact local state professional licensing board or state controlled substances authority for information on how to prevent and detect abuse or diversion of this product.
5.3 Opioid Analgesic Risk Evaluation And Mitigation Strategy (Rems)
To ensure that the benefits of opioid analgesics outweigh the risks of addiction, abuse, and misuse, the Food and Drug Administration (FDA) has required a Risk Evaluation and Mitigation Strategy (REMS) for these products. Under the requirements of the REMS, drug companies with approved opioid analgesic products must make REMS-compliant education programs available to healthcare providers. Healthcare providers are strongly encouraged to do all of the following:
• Complete a REMS-compliant education program offered by an accredited provider of continuing education (CE) or another education program that includes all the elements of the FDA Education Blueprint for Health Care Providers Involved in the Management or Support of Patients with Pain.• Discuss the safe use, serious risks, and proper storage and disposal of opioid analgesics with patients and/or their caregivers every time these medicines are prescribed. The Patient Counseling Guide (PCG) can be obtained at this link: www.fda.gov/OpioidAnalgesicREMSPCG• Emphasize to patients and their caregivers the importance of reading the Medication Guide that they will receive from their pharmacist every time an opioid analgesic is dispensed to them.• Consider using other tools to improve patient, household, and community safety, such as patient-prescriber agreements that reinforce patient-prescriber responsibilities.
To obtain further information on the opioid analgesic REMS and for a list of accredited REMS CME/CE, call 800-503-0784, or log on to www.opioidanalgesicrems.com. The FDA Blueprint can be found at www.fda.gov/OpioidAnalgesicREMSBlueprint.
5.4 Life-Threatening Respiratory Depression
Serious, life-threatening, or fatal respiratory depression has been reported with the use of opioids, even when used as recommended. Respiratory depression, if not immediately recognized and treated, may lead to respiratory arrest and death. Management of respiratory depression may include close observation, supportive measures, and use of opioid antagonists, depending on the patient’s clinical status [see Overdosage (10)]. Carbon dioxide (CO2) retention from opioid-induced respiratory depression can exacerbate the sedating effects of opioids.
While serious, life-threatening, or fatal respiratory depression can occur at any time during the use of Oxycodone Hydrochloride Oral Solution, the risk is greatest during the initiation of therapy or following a dosage increase. Monitor patients closely for respiratory depression, especially within the first 24 to 72 hours of initiating therapy with and following dosage increases of Oxycodone Hydrochloride Oral Solution.
To reduce the risk of respiratory depression, proper dosing and titration of Oxycodone Hydrochloride Oral Solution are essential [see Dosage and Administration (2)]. Overestimating the Oxycodone Hydrochloride Oral Solution dosage when converting patients from another opioid product can result in a fatal overdose with the first dose.
Accidental ingestion of even one dose of Oxycodone Hydrochloride Oral Solution, especially by (in) children, can result in respiratory depression and death due to an overdose of oxycodone.
Educate patients and caregivers on how to recognize respiratory depression and emphasize the importance of calling 911 or getting emergency medical help right away in the event of a known or suspected overdose [see Patient Counseling Information (17)].
Opioids can cause sleep-related breathing disorders including central sleep apnea (CSA) and sleep-related hypoxemia. Opioid use increases the risk of CSA in a dose-dependent fashion. In patients who present with CSA, consider decreasing the opioid dosage using best practices for opioid taper [see Dosage and Administration (2.5)].
Patient Access to Naloxone for the Emergency Treatment of Opioid Overdose
Discuss the availability of naloxone for the emergency treatment of opioid overdose with the patient and caregiver and assess the potential need for access to naloxone, both when initiating and renewing treatment with Oxycodone Hydrochloride Oral Solution. Inform patients and caregivers about the various ways to obtain naloxone as permitted by individual state naloxone dispensing and prescribing requirements or guidelines (e.g., by prescription, directly from a pharmacist, or as part of a community-based program). Educate patients and caregivers on how to recognize respiratory depression and emphasize the importance of calling 911 or getting emergency medical help, even if naloxone is administered [see Patient Counseling Information (17)].
Consider prescribing naloxone, based on the patient’s risk factors for overdose, such as concomitant use of CNS depressants, a history of opioid use disorder, or prior opioid overdose. The presence of risk factors for overdose should not prevent the proper management of pain in any given patient. Also consider prescribing naloxone if the patient has household members (including children) or other close contacts at risk for accidental ingestion or overdose. If naloxone is prescribed, educate patients and caregivers on how to treat with naloxone. [see Warnings and Precautions (5.2, 5.7), Patient Counseling Information (17)].
5.5 Neonatal Opioid Withdrawal Syndrome
Prolonged use of Oxycodone Hydrochloride Oral Solution during pregnancy can result in withdrawal in the neonate. Neonatal opioid withdrawal syndrome, unlike opioid withdrawal syndrome in adults, may be life-threatening if not recognized and treated, and requires management according to protocols developed by neonatology experts. Observe newborns for signs of neonatal opioid withdrawal syndrome and manage accordingly. Advise pregnant women using opioids for a prolonged period of the risk of neonatal opioid withdrawal syndrome and ensure that appropriate treatment will be available [see Use in Specific Populations (8.1), Patient Counseling Information (17)].
5.6 Risks Of Concomitant Use Or Discontinuation Of Cytochrome P450 3A4 Inhibitors And Inducers
Concomitant use of Oxycodone Hydrochloride Oral Solution with a CYP3A4 inhibitor, such as macrolide antibiotics (e.g., erythromycin), azole-antifungal agents (e.g., ketoconazole), and protease inhibitors (e.g., ritonavir), may increase plasma concentrations of oxycodone and prolong opioid adverse reactions, which may cause potentially fatal respiratory depression [see Warnings and Precautions (5.4)], particularly when an inhibitor is added after a stable dose of Oxycodone Hydrochloride Oral Solution is achieved. Similarly, discontinuation of a CYP3A4 inducer, such as rifampin, carbamazepine, and phenytoin, in Oxycodone Hydrochloride Oral Solution-treated patients may increase oxycodone plasma concentrations and prolong opioid adverse reactions. When using Oxycodone Hydrochloride Oral Solution with CYP3A4 inhibitors or discontinuing CYP3A4 inducers in Oxycodone Hydrochloride Oral Solution-treated patients, monitor patients closely at frequent intervals and consider dosage reduction of Oxycodone Hydrochloride Oral Solution until stable drug effects are achieved [see Dosage and Administration (2.1), Drug Interactions (7)].
Concomitant use of Oxycodone Hydrochloride Oral Solution with CYP3A4 inducers or discontinuation of an CYP3A4 inhibitor could decrease oxycodone plasma concentrations, decrease opioid efficacy or, possibly, lead to a withdrawal syndrome in a patient who had developed physical dependence to oxycodone. When using Oxycodone Hydrochloride Oral Solution with CYP3A4 inducers or discontinuing CYP3A4 inhibitors, monitor patients closely at frequent intervals and consider increasing the opioid dosage if needed to maintain adequate analgesia or if symptoms of opioid withdrawal occur [see Dosage and Administration (2.1), Drug Interactions (7)].
5.7 Risks From Concomitant Use With Benzodiazepines Or Other Cns Depressants
Profound sedation, respiratory depression, coma, and death may result from the concomitant use of Oxycodone Hydrochloride Oral Solution with benzodiazepines or other CNS depressants (e.g., non-benzodiazepine sedatives/hypnotics, anxiolytics, tranquilizers, muscle relaxants, general anesthetics, antipsychotics, other opioids, alcohol). Because of these risks, reserve concomitant prescribing of these drugs for use in patients for whom alternative treatment options are inadequate.
Observational studies have demonstrated that concomitant use of opioid analgesics and benzodiazepines increases the risk of drug-related mortality compared to use of opioid analgesics alone. Because of similar pharmacological properties, it is reasonable to expect similar risk with the concomitant use of other CNS depressant drugs with opioid analgesics [see Drug Interactions (7)].
If the decision is made to prescribe a benzodiazepine or other CNS depressant concomitantly with an opioid analgesic, prescribe the lowest effective dosages and minimum durations of concomitant use. In patients already receiving an opioid analgesic, prescribe a lower initial dose of the benzodiazepine or other CNS depressant than indicated in the absence of an opioid, and titrate based on clinical response. If an opioid analgesic is initiated in a patient already taking a benzodiazepine or other CNS depressant, prescribe a lower initial dose of the opioid analgesic, and titrate based on clinical response. Follow patients closely for signs and symptoms of respiratory depression and sedation.
If concomitant use is warranted, consider prescribing naloxone for the emergency treatment of opioid overdose [see Dosage and Administration (2.2), Warnings and Precautions (5.4)].
Advise both patients and caregivers about the risks of respiratory depression and sedation when Oxycodone Hydrochloride Oral Solution is used with benzodiazepines or other CNS depressants (including alcohol and illicit drugs). Advise patients not to drive or operate heavy machinery until the effects of concomitant use of the benzodiazepine or other CNS depressant have been determined. Screen patients for risk of substance use disorders, including opioid abuse and misuse, and warn them of the risk for overdose and death associated with the use of additional CNS depressants including alcohol and illicit drugs [see Drug Interactions (7) and Patient Counseling Information (17)].
5.8 Life-Threatening Respiratory Depression In Patients With Chronic Pulmonary Disease Or In Elderly, Cachectic, Or Debilitated Patients
The use of Oxycodone Hydrochloride Oral Solution in patients with acute or severe bronchial asthma in an unmonitored setting or in the absence of resuscitative equipment is contraindicated.
Patients with Chronic Pulmonary Disease
Oxycodone Hydrochloride Oral Solution-treated patients with significant chronic obstructive pulmonary disease or cor pulmonale, and those with a substantially decreased respiratory reserve, hypoxia, hypercapnia, or pre-existing respiratory depression are at increased risk of decreased respiratory drive including apnea, even at recommended dosages of Oxycodone Hydrochloride Oral Solution [see Warnings and Precautions (5.4)].
Elderly, Cachectic, or Debilitated Patients
Life-threatening respiratory depression is more likely to occur in elderly, cachectic, or debilitated patients because they may have altered pharmacokinetics or altered clearance compared to younger, healthier patients [see Warnings and Precautions (5.4)].
Monitor such patients closely, particularly when initiating and titrating Oxycodone Hydrochloride Oral Solution and when Oxycodone Hydrochloride Oral Solution is given concomitantly with other drugs that depress respiration [see Warnings and Precautions (5.4)]. Alternatively, consider the use of non-opioid analgesics in these patients.
5.9 Adrenal Insufficiency
Cases of adrenal insufficiency have been reported with opioid use, more often following greater than one month of use. Presentation of adrenal insufficiency may include non-specific symptoms and signs including nausea, vomiting, anorexia, fatigue, weakness, dizziness, and low blood pressure. If adrenal insufficiency is suspected, confirm the diagnosis with diagnostic testing as soon as possible. If adrenal insufficiency is diagnosed, treat with physiologic replacement doses of corticosteroids. Wean the patient off of the opioid to allow adrenal function to recover and continue corticosteroid treatment until adrenal function recovers. Other opioids may be tried as some cases reported use of a different opioid without recurrence of adrenal insufficiency. The information available does not identify any particular opioids as being more likely to be associated with adrenal insufficiency.
5.10 Severe Hypotension
Oxycodone Hydrochloride Oral Solution may cause severe hypotension including orthostatic hypotension and syncope in ambulatory patients. There is increased risk in patients whose ability to maintain blood pressure has already been compromised by a reduced blood volume or concurrent administration of certain CNS depressant drugs (e.g. phenothiazines or general anesthetics) [see Drug Interactions (7)]. Monitor these patients for signs of hypotension after initiating or titrating the dosage of Oxycodone Hydrochloride Oral Solution. In patients with circulatory shock, Oxycodone Hydrochloride Oral Solution may cause vasodilation that can further reduce cardiac output and blood pressure. Avoid the use of Oxycodone Hydrochloride Oral Solution in patients with circulatory shock.
5.11 Risks Of Use In Patients With Increased Intracranial Pressure, Brain Tumors, Head Injury, Or Impaired Consciousness
In patients who may be susceptible to the intracranial effects of CO2 retention (e.g., those with evidence of increased intracranial pressure or brain tumors), Oxycodone Hydrochloride Oral Solution may reduce respiratory drive, and the resultant CO2 retention can further increase intracranial pressure. Monitor such patients for signs of sedation and respiratory depression, particularly when initiating therapy with Oxycodone Hydrochloride Oral Solution.
Opioids may also obscure the clinical course in a patient with a head injury. Avoid the use of Oxycodone Hydrochloride Oral Solution in patients with impaired consciousness or coma.
5.12 Risks Of Use In Patients With Gastrointestinal Conditions
Oxycodone Hydrochloride Oral Solution is contraindicated in patients with known or suspected gastrointestinal obstruction, including paralytic ileus.
The oxycodone in Oxycodone Hydrochloride Oral Solution may cause spasm of the sphincter of Oddi. Opioids may cause increases in serum amylase. Monitor patients with biliary tract disease, including acute pancreatitis for worsening symptoms.
5.13 Increased Risk Of Seizures In Patients With Seizure Disorders
The oxycodone in Oxycodone Hydrochloride Oral Solution may increase the frequency of seizures in patients with seizure disorders, and may increase the risk of seizures occurring in other clinical settings associated with seizures. Monitor patients with a history of seizure disorders for worsened seizure control during Oxycodone Hydrochloride Oral Solution therapy.
5.14 Withdrawal
Do not abruptly discontinue Oxycodone Hydrochloride Oral Solution in a patient physically dependent on opioids. When discontinuing Oxycodone Hydrochloride Oral Solution in a physically dependent patient, gradually taper the dosage. Rapid tapering of oxycodone in a patient physically dependent on opioids may lead to a withdrawal syndrome and return of pain [seeDosage And Administration (2.5), Drug Abuse And Dependence (9.3)].
Additionally, avoid the use of mixed agonist/antagonist (e.g., pentazocine, nalbuphine, and butorphanol) or partial agonist (e.g., buprenorphine) analgesics in patients who are receiving a full opioid agonist analgesic, including Oxycodone Hydrochloride Oral Solution. In these patients, mixed agonist/antagonist and partial agonist analgesics may reduce the analgesic effect and/or precipitate withdrawal symptoms [see Drug Interactions (7)].
5.15 Risks Of Driving And Operating Machinery
Oxycodone Hydrochloride Oral Solution may impair the mental or physical abilities needed to perform potentially hazardous activities such as driving a car or operating machinery. Warn patients not to drive or operate dangerous machinery unless they are tolerant to the effects of Oxycodone Hydrochloride Oral Solution and know how they will react to the medication [see Patient Counseling Information (17)].
6 Adverse Reactions
The following serious adverse reactions are described, or described in greater detail, in other sections:
• Addiction, Abuse, and Misuse [see Warnings and Precautions (5.2)]• Life-Threatening Respiratory Depression [see Warnings and Precautions (5.4)]• Neonatal Opioid Withdrawal Syndrome [see Warnings and Precautions (5.5)]• Interactions with Benzodiazepines or Other CNS Depressants [see Warnings and Precautions (5.7)]• Adrenal Insufficiency [see Warnings and Precautions (5.9)]• Severe Hypotension [see Warnings and Precautions (5.10)]• Gastrointestinal Adverse Reactions [see Warnings and Precautions (5.12)]• Seizures [see Warnings and Precautions (5.13)]• Withdrawal [see Warnings and Precautions (5.14)]
The following adverse reactions associated with the use of oxycodone were identified in clinical studies or postmarketing reports. Because some of these reactions were reported voluntarily from a population of uncertain size, it is not always possible to reliably estimate their frequency or establish a causal relationship to drug exposure.
Serious adverse reactions associated with oxycodone use included: respiratory depression, respiratory arrest, circulatory depression, cardiac arrest, hypotension, and/or shock.
The common adverse reactions seen on initiation of therapy with oxycodone are dose-related and are typical opioid-related adverse reactions. The most frequent adverse events include nausea, constipation, vomiting, headache, and pruritus. The frequency of these reactions depended on several factors, including clinical setting, the patient’s level of opioid tolerance, and host factors specific to the individual.
In all patients for whom dosing information was available (n = 191) from the open-label and double-blind studies involving another formulation of immediate-release oxycodone, the following adverse events were recorded in oxycodone treated patients with an incidence ≥ 3%. In descending order of frequency they were: nausea, constipation, vomiting, headache, pruritus, insomnia, dizziness, asthenia, and somnolence.
The other less frequently observed adverse reactions from opioid analgesics, including Oxycodone Hydrochloride Oral Solution included:
Body as a Whole: abdominal pain, accidental injury, allergic reaction, back pain, chills and fever, fever, flu syndrome, infection, neck pain, pain, photosensitivity reaction, and sepsis.
Cardiovascular: deep thrombophlebitis, heart failure, hemorrhage, hypotension, migraine, palpitation, and tachycardia.
Digestive: anorexia, diarrhea, dyspepsia, dysphagia, gingivitis, glossitis, and nausea and vomiting.
Hemic and Lymphatic: anemia and leukopenia.
Metabolic and Nutritional: edema, gout, hyperglycemia, iron deficiency anemia and peripheral edema.
Musculoskeletal: arthralgia, arthritis, bone pain, myalgia and pathological fracture.
Nervous: agitation, anxiety, confusion, dry mouth, hypertonia, hypesthesia, nervousness, neuralgia, personality disorder, tremor, and vasodilation.
Respiratory: bronchitis, cough increased, dyspnea, epistaxis, laryngismus, lung disorder, pharyngitis, rhinitis, and sinusitis.
Skin and Appendages: herpes simplex, rash, sweating, and urticaria.
Special Senses: amblyopia.
Urogenital: urinary tract infection
Serotonin Syndrome: Cases of serotonin syndrome, a potentially life-threatening condition, have been reported during concomitant use of opioids with serotonergic drugs.
Adrenal Insufficiency: Cases of adrenal insufficiency have been reported with opioid use, more often following greater than one month of use.
Anaphylaxis: Anaphylaxis has been reported with ingredients contained in Oxycodone Hydrochloride Oral Solution.
Androgen Deficiency: Cases of androgen deficiency have occurred with chronic use of opioids [see ClinicalPharmacology (12.2)].
7 Drug Interactions
Table 1 includes clinically significant drug interactions with Oxycodone Hydrochloride Oral Solution.
Table 1: Clinically Significant Drug Interactions with Oxycodone Hydrochloride Oral Solution
Inhibitors of CYP3A4 and CYP2D6 | |
Clinical Impact: | The concomitant use of Oxycodone Hydrochloride Oral Solution and CYP3A4 inhibitors can increase the plasma concentration of oxycodone, resulting in increased or prolonged opioid effects. These effects could be more pronounced with concomitant use of Oxycodone Hydrochloride Oral Solution and CYP2D6 and CYP3A4 inhibitors, particularly when an inhibitor is added after a stable dose of Oxycodone Hydrochloride Oral Solution is achieved [see Warnings and Precautions (5.6)]. After stopping a CYP3A4 inhibitor, as the effects of the inhibitor decline, the oxycodone plasma concentration will decrease [see Clinical Pharmacology (12.3)], resulting in decreased opioid efficacy or a withdrawal syndrome in patients who had developed physical dependence to oxycodone. |
Intervention: | If concomitant use is necessary, consider dosage reduction of Oxycodone Hydrochloride Oral Solution until stable drug effects are achieved. Monitor patients for respiratory depression and sedation at frequent intervals. If a CYP3A4 inhibitor is discontinued, consider increasing the Oxycodone Hydrochloride Oral Solution dosage until stable drug effects are achieved [see Dosage and Administration (2.3)]. Monitor for signs of opioid withdrawal. |
Examples: | Macrolide antibiotics (e.g., erythromycin), azole-antifungal agents (e.g. ketoconazole), protease inhibitors (e.g., ritonavir). |
CYP3A4 Inducers | |
Clinical Impact: | The concomitant use of Oxycodone Hydrochloride Oral Solution and CYP3A4 inducers can decrease the plasma concentration of oxycodone [see Clinical Pharmacology (12.3)], resulting in decreased efficacy or onset of a withdrawal syndrome in patients who have developed physical dependence to oxycodone [see Warnings and Precautions (5.6)]. After stopping a CYP3A4 inducer, as the effects of the inducer decline, the oxycodone plasma concentration will increase [see Clinical Pharmacology (12.3)], which could increase or prolong both the therapeutic effects and adverse reactions, and may cause serious respiratory depression. |
Intervention: | If concomitant use is necessary, consider increasing the Oxycodone Hydrochloride Oral Solution dosage until stable drug effects are achieved. Monitor for signs of opioid withdrawal. If a CYP3A4 inducer is discontinued, consider Oxycodone Hydrochloride Oral Solution dosage reduction and monitor for signs of respiratory depression. |
Examples: | Rifampin, carbamazepine, phenytoin. |
Benzodiazepines and other Central Nervous System (CNS) Depressants | |
Clinical Impact: | Due to additive pharmacologic effect, the concomitant use of benzodiazepines or other CNS depressants including alcohol, increases the risk of respiratory depression, profound sedation, coma, and death. |
Intervention: | Reserve concomitant prescribing of these drugs for use in patients for whom alternative treatment options are inadequate. Limit dosages and durations to the minimum required. Follow patients closely for signs of respiratory depression and sedation. If concomitant use is warranted, consider prescribing naloxone for the emergency treatment of opioid overdose [see Dosage and Administration (2.2), Warnings and Precautions (5.2, 5.4, 5.7)]. |
Examples: | Benzodiazepines and other sedatives/hypnotics, anxiolytics, tranquilizers, muscle relaxants, general anesthetics, antipsychotics, other opioids, alcohol. |
Serotonergic Drugs | |
Clinical Impact: | The concomitant use of opioids with other drugs that affect the serotonergic neurotransmitter system has resulted in serotonin syndrome [see Warnings and Precautions (5.9)]. |
Intervention: | If concomitant use is warranted, carefully observe the patient, particularly during treatment initiation and dose adjustment. Discontinue Oxycodone Hydrochloride Oral Solution if serotonin syndrome is suspected. |
Examples: | Selective serotonin reuptake inhibitors (SSRIs), serotonin and norepinephrine reuptake inhibitors (SNRIs), tricyclic antidepressants (TCAs), triptans, 5-HT3 receptor antagonists, drugs that affect the serotonin neurotransmitter system (e.g., mirtazapine, trazodone, tramadol), monoamine oxidase (MAO) inhibitors (those intended to treat psychiatric disorders and also others, such as linezolid and intravenous methylene blue). |
Monoamine Oxidase Inhibitors (MAOIs) | |
Clinical Impact: | MAOI interactions with opioids may manifest as serotonin syndrome or opioid toxicity (e.g., respiratory depression, coma) [see Warnings and Precautions (5.4)]. |
Intervention: | The use of Oxycodone Hydrochloride Oral Solution is not recommended for patients taking MAOIs or within 14 days of stopping such treatment. If urgent use of an opioid is necessary, use test doses and frequent titration of small doses to treat pain while closely monitoring blood pressure and signs and symptoms of CNS and respiratory depression. |
Examples: | phenelzine, tranylcypromine, linezolid. |
Mixed Agonist/Antagonist and Partial Agonist Opioid Analgesics | |
Clinical Impact: | May reduce the analgesic effect of Oxycodone Hydrochloride Oral Solution and/or precipitate withdrawal symptoms. |
Intervention: | Avoid concomitant use. |
Examples: | butorphanol, nalbuphine, pentazocine, buprenorphine. |
Muscle Relaxants | |
Clinical Impact: | Oxycodone may enhance the neuromuscular blocking action of skeletal muscle relaxants and produce an increased degree of respiratory depression. |
Intervention: | Monitor patients for signs of respiratory depression that may be greater than otherwise expected and decrease the dosage of Oxycodone Hydrochloride Oral Solution and/or the muscle relaxant as necessary. Due to the risk of respiratory depression with concomitant use of skeletal muscle relaxants and opioids, consider prescribing naloxone for the emergency treatment of opioid overdose [see Dosage and Administration (2.2), Warnings and Precautions (5.4, 5.7)]. |
Diuretics | |
Clinical Impact: | Opioids can reduce the efficacy of diuretics by inducing the release of antidiuretic hormone. |
Intervention: | Monitor patients for signs of diminished diuresis and/or effects on blood pressure and increase the dosage of the diuretic as needed. |
Anticholinergic Drugs | |
Clinical Impact: | The concomitant use of anticholinergic drugs may increase risk of urinary retention and/or severe constipation, which may lead to paralytic ileus. |
Intervention: | Monitor patients for signs of urinary retention or reduced gastric motility when Oxycodone Hydrochloride Oral Solution is used concomitantly with anticholinergic drugs. |
8.1 Pregnancy
Risk Summary
Prolonged use of opioid analgesics during pregnancy may cause neonatal opioid withdrawal syndrome [see Warnings and Precautions (5.5)]. Available data with Oxycodone Hydrochloride Oral Solution are insufficient to inform a drug-associated risk for major birth defects and miscarriage.
Animal reproduction studies with oral administrations of oxycodone hydrochloride in rats and rabbits during the period of organogenesis at doses 2.6 and 8.1 times, respectively, the human dose of 60 mg/day did not reveal evidence of teratogenicity or embryo-fetal toxicity. In several published studies, treatment of pregnant rats with oxycodone at clinically relevant doses and below, resulted in neurobehavioral effects in offspring [see Data]. Based on animal data, advise pregnant women of the potential risk to a fetus.
The background risk of major birth defects and miscarriage for the indicated population is unknown. All pregnancies have a background risk of birth defect, loss, or other adverse outcomes. In the U.S. general population, the estimated background risk of major birth defects and miscarriage in clinically recognized pregnancies is 2% to 4% and 15% to 20%, respectively.
Clinical Considerations
Fetal/Neonatal Adverse Reactions: Prolonged use of opioid analgesics during pregnancy for medical or nonmedical purposes can result in physical dependence in the neonate and neonatal opioid withdrawal syndrome shortly after birth.
Neonatal opioid withdrawal syndrome presents as irritability, hyperactivity and abnormal sleep pattern, high pitched cry, tremor, vomiting, diarrhea, and failure to gain weight. The onset, duration, and severity of neonatal opioid withdrawal syndrome vary based on the specific opioid used, duration of use, timing and amount of last maternal use, and rate of elimination of the drug by the newborn. Observe newborns for symptoms of neonatal opioid withdrawal syndrome and manage accordingly [see Warnings and Precautions (5.5)].
Labor or Delivery: Opioids cross the placenta and may produce respiratory depression and psycho-physiologic effects in neonates. An opioid antagonist, such as naloxone, must be available for reversal of opioid-induced respiratory depression in the neonate. Oxycodone Hydrochloride Oral Solution is not recommended for use in pregnant women during or immediately prior to labor, when other analgesic techniques are more appropriate. Opioid analgesics, including Oxycodone Hydrochloride Oral Solution, can prolong labor through actions which temporarily reduce the strength, duration, and frequency of uterine contractions. However, this effect is not consistent and may be offset by an increased rate of cervical dilation, which tends to shorten labor. Monitor neonates exposed to opioid analgesics during labor for signs of excess sedation and respiratory depression.
Data
Animal Data: In embryo-fetal development studies in rats and rabbits, pregnant animals received oral doses of oxycodone hydrochloride administered during the period of organogenesis up to 16 mg/kg/day and up 25 mg/kg/day, respectively. These studies revealed no evidence of teratogenicity or embryo-fetal toxicity due to oxycodone. The highest doses tested in rats and rabbits were equivalent to approximately 2.6 and 8.1 times an adult human dose of 60 mg/day, respectively, on a mg/m2 basis. In published studies, offspring of pregnant rats administered oxycodone during gestation have been reported to exhibit neurobehavioral effects including altered stress responses, increased anxiety-like behavior (2 mg/kg/day IV from Gestation Day 8 to 21 and Postnatal Day 1, 3, and 5; 0.3-times an adult human dose of 60 mg/day, on a mg/m2 basis) and altered learning and memory (15 mg/kg/day orally from breeding through parturition; 2.4 times an adult human dose of 60 mg/day, on a mg/m2 basis).
8.2 Lactation
Risk Summary
Oxycodone is present in breast milk. Published lactation studies report variable concentrations of oxycodone in breast milk with administration of immediate-release oxycodone to nursing mothers in the early postpartum period. The lactation studies did not assess breastfed infants for potential adverse reactions. Lactation studies have not been conducted with Oxycodone Hydrochloride Oral Solution, and no information is available on the effects of the drug on the breastfed infant or the effects of the drug on milk production.
The developmental and health benefits of breastfeeding should be considered along with the mother’s clinical need for Oxycodone Hydrochloride Oral Solution and any potential adverse effects on the breastfed infant from Oxycodone Hydrochloride Oral Solution or from the underlying maternal condition.
Clinical Considerations
Monitor infants exposed to Oxycodone Hydrochloride Oral Solution through breast milk for excess sedation and respiratory depression. Withdrawal symptoms can occur in breastfed infants when maternal administration of an opioid analgesic is stopped, or when breast-feeding is stopped.
8.3 Females And Males Of Reproductive Potential
Infertility
Chronic use of opioids may cause reduced fertility in females and males of reproductive potential. It is not known whether these effects on fertility are reversible [see Adverse Reactions (6), Clinical Pharmacology (12.2)].
8.4 Pediatric Use
The safety and efficacy of Oxycodone Hydrochloride Oral Solution in pediatric patients below the age of 18 have not been established.
8.5 Geriatric Use
Elderly patients (aged 65 years or older) may have increased sensitivity to oxycodone. In general, use caution when selecting a dose for an elderly patient, usually starting at the low end of the dosing range, reflecting the greater frequency of decreased hepatic, renal, or cardiac function and of concomitant disease or other drug therapy.
Respiratory depression is the chief risk for elderly patients treated with opioids, and has occurred after large initial doses were administered to patients who were not opioid-tolerant or when opioids were co-administered with other agents that depress respiration. Titrate the dosage of Oxycodone Hydrochloride Oral Solution slowly in geriatric patients and monitor closely for signs of central nervous system and respiratory depression [see Warnings and Precautions (5.7)].
Oxycodone is known to be substantially excreted by the kidney, and the risk of adverse reactions to this drug may be greater in patients with impaired renal function. Because elderly patients are more likely to have decreased renal function, care should be taken in dose selection, and it may be useful to monitor renal function.
8.6 Hepatic Impairment
Since oxycodone is extensively metabolized in the liver, its clearance may decrease in patients with hepatic impairment. Initiate therapy in these patients with a lower than usual dosage of Oxycodone Hydrochloride Oral Solution and titrate carefully. Monitor closely for adverse events such as respiratory depression, sedation, and hypotension [see Clinical Pharmacology (12.3)].
8.7 Renal Impairment
Information from oxycodone tablets indicate that patients with renal impairment had higher plasma concentrations of oxycodone than subjects with normal renal function.
Initiate therapy with a lower than usual dosage of Oxycodone Hydrochloride Oral Solution and titrate carefully. Monitor closely for adverse events such as respiratory depression, sedation, and hypotension [see Clinical Pharmacology (12.3)].
9.1 Controlled Substance
Oxycodone Hydrochloride Oral Solution contains oxycodone, a Schedule II controlled substance.
9.2 Abuse
Oxycodone Hydrochloride Oral Solution contains oxycodone, a substance with a high potential for abuse similar to other opioids including fentanyl, hydrocodone, hydromorphone, methadone, morphine, oxymorphone, and tapentadol. Oxycodone Hydrochloride Oral Solution can be abused and is subject to misuse, addiction, and criminal diversion [see Warnings and Precautions (5.2)].
All patients treated with opioids require careful monitoring for signs of abuse and addiction, because use of opioid analgesic products carries the risk of addiction even under appropriate medical use.
Prescription drug abuse is the intentional non-therapeutic use of a prescription drug, even once, for its rewarding psychological or physiological effects.
Drug addiction is a cluster of behavioral, cognitive, and physiological phenomena that develop after repeated substance use and includes: a strong desire to take the drug, difficulties in controlling its use, persisting in its use despite harmful consequences, a higher priority given to drug use than to other activities and obligations, increased tolerance, and sometimes a physical withdrawal.
“Drug-seeking” behavior is very common in persons with substance use disorders. Drug-seeking tactics include emergency calls or visits near the end of office hours, refusal to undergo appropriate examination, testing, or referral, repeated “loss” of prescriptions, tampering with prescriptions, and reluctance to provide prior medical records or contact information for other treating health care provider(s). “Doctor shopping” (visiting multiple prescribers to obtain additional prescriptions) is common among drug abusers and people suffering from untreated addiction. Preoccupation with achieving adequate pain relief can be appropriate behavior in a patient with poor pain control.
Abuse and addiction are separate and distinct from physical dependence and tolerance. Health care providers should be aware that addiction may not be accompanied by concurrent tolerance and symptoms of physical dependence in all addicts. In addition, abuse of opioids can occur in the absence of true addiction.
Oxycodone Hydrochloride Oral Solution, like other opioids, can be diverted for non-medical use into illicit channels of distribution. Careful record-keeping of prescribing information, including quantity, frequency, and renewal requests, as required by state and federal law, is strongly advised.
Proper assessment of the patient, proper prescribing practices, periodic re-evaluation of therapy, and proper dispensing and storage are appropriate measures that help to limit abuse of opioid drugs.
Risks Specific to Abuse of Oxycodone Hydrochloride Oral Solution
Oxycodone Hydrochloride Oral Solution is for oral use only. Abuse of oxycodone poses a risk of overdose and death. The risk is increased with concurrent abuse of alcohol and other central nervous system depressants. Parenteral drug abuse is commonly associated with transmission of infectious diseases such as hepatitis and HIV.
9.3 Dependence
Both tolerance and physical dependence can develop during chronic opioid therapy. Tolerance is the need for increasing doses of opioids to maintain a defined effect such as analgesia (in the absence of disease progression or other external factors). Tolerance may occur to both the desired and undesired effects of drugs, and may develop at different rates for different effects.
Physical dependence results in withdrawal symptoms after abrupt discontinuation or a significant dosage reduction of a drug. Withdrawal also may be precipitated through the administration of drugs with opioid antagonist activity (e.g., naloxone, nalmefene), mixed agonist/antagonist analgesics (e.g., pentazocine, butorphanol, nalbuphine), or partial agonists (e.g., buprenorphine). Physical dependence may not occur to a clinically significant degree until after several days to weeks of continued opioid usage.
Do not abruptly discontinue Oxycodone Hydrochloride Oral Solution in a patient physically dependent on opioids. Rapid tapering of Oxycodone Hydrochloride Oral Solution in a patient physically dependent on opioids may lead to serious withdrawal symptoms, uncontrolled pain, and suicide. Rapid discontinuation has also been associated with attempts to find other sources of opioid analgesics, which may be confused with drug-seeking for abuse.
When discontinuing Oxycodone Hydrochloride Oral Solution, gradually taper the dosage using a patient-specific plan that considers the following: the dose of Oxycodone Hydrochloride Oral Solution the patient has been taking, the duration of treatment, and the physical and psychological attributes of the patient. To improve the likelihood of a successful taper and minimize withdrawal symptoms, it is important that the opioid tapering schedule is agreed upon by the patient. In patients taking opioids for a long duration at high doses, ensure that a multimodal approach to pain management, including mental health support (if needed), is in place prior to initiating an opioid analgesic taper [seeDosage and Administration (2.5), Warnings and Precautions (5.14)].
Infants born to mothers physically dependent on opioids will also be physically dependent and may exhibit respiratory difficulties and withdrawal signs [see Use in Specific Populations (8.1)].
10 Overdosage
Clinical Presentation
Acute overdose with Oxycodone Hydrochloride Oral Solution can be manifested by respiratory depression, somnolence progressing to stupor or coma, skeletal muscle flaccidity, cold and clammy skin, constricted pupils, and, in some cases, pulmonary edema, bradycardia, hypotension, partial or complete airway obstruction, atypical snoring, and death. Marked mydriasis rather than miosis may be seen with hypoxia in overdose situations [see Clinical Pharmacology (12.2)].
Treatment of Overdose
In case of overdose, priorities are the reestablishment of a patent and protected airway and institution of assisted or controlled ventilation, if needed. Employ other supportive measures (including oxygen and vasopressors) in the management of circulatory shock and pulmonary edema as indicated. Cardiac arrest or arrhythmias will require advanced life-support techniques.
Opioid antagonists, such as naloxone, are specific antidotes to respiratory depression resulting from opioid overdose. For clinically significant respiratory or circulatory depression secondary to opioid overdose, administer an opioid antagonist.
Because the duration of opioid reversal is expected to be less than the duration of action of oxycodone in Oxycodone Hydrochloride Oral Solution, carefully monitor the patient until spontaneous respiration is reliably re-established. If the response to an opioid antagonist is suboptimal or only brief in nature, administer additional antagonist as directed by the product’s prescribing information.
In an individual physically dependent on opioids, administration of the recommended usual dosage of the antagonist will precipitate an acute withdrawal syndrome. The severity of the withdrawal symptoms experienced will depend on the degree of physical dependence and the dose of the antagonist administered. If a decision is made to treat serious respiratory depression in the physically dependent patient, administration of the antagonist should be initiated with care and by titration with smaller than usual doses of the antagonist.
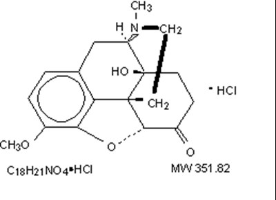
11 Description
Oxycodone Hydrochloride Oral Solution, USP is an opioid agonist, available as solution in 5 mg/5 mL (1 mg/mL) strength for oral administration.
Chemically, oxycodone hydrochloride is 4, 5α-epoxy-14-hydroxy-3-methoxy-17-methylmorphinan-6-one hydrochloride and has the following structural formula:
Oxycodone hydrochloride, USP is a white to off-white fine crystalline powder derived from the opium alkaloid, thebaine. Oxycodone hydrochloride dissolves in water (1 g in 6 to 7 mL) and is considered slightly soluble in alcohol (octanol water partition coefficient is 0.7).
Oxycodone Hydrochloride Oral Solution USP, 5 mg/5 mL, contains equivalent of 4.5 mg of oxycodone free base per 5 mL and contains the following inactive ingredients: anhydrous citric acid, artificial strawberry flavor, disodium edetate, FD&C Red No. 40, purified water, sodium benzoate, sorbitol solution and sucralose.
12.1 Mechanism Of Action
Oxycodone is a full opioid agonist and is relatively selective for the mu-opioid receptor, although it can bind to other opioid receptors at higher doses. The principal therapeutic action of oxycodone is analgesia. Like all full opioid agonists, there is no ceiling effect for analgesia with oxycodone. Clinically, dosage is titrated to provide adequate analgesia and may be limited by adverse reactions, including respiratory and CNS depression.
The precise mechanism of the analgesic action is unknown. However, specific CNS opioid receptors for endogenous compounds with opioid-like activity have been identified throughout the brain and spinal cord and are thought to play a role in the analgesic effects of this drug.
12.2 Pharmacodynamics
Effects on Central Nervous System (CNS)
Oxycodone produces respiratory depression by direct action on brain stem respiratory centers. The respiratory depression involves a reduction in the responsiveness of the brain stem respiratory centers to both increases in carbon dioxide tension and to electrical stimulation.
Oxycodone causes miosis, even in total darkness. Pinpoint pupils are a sign of opioid overdose but are not pathognomonic (e.g., pontine lesions of hemorrhagic or ischemic origins may produce similar findings). Marked mydriasis rather than miosis may be seen due to hypoxia in overdose situations.
Effects on the Gastrointestinal Tract and Other Smooth Muscle
Oxycodone causes a reduction in motility associated with an increase in smooth muscle tone in the antrum of the stomach and duodenum. Digestion of food in the small intestine is delayed and propulsive contractions are decreased. Propulsive peristaltic waves in the colon are decreased, while tone may be increased to the point of spasm resulting in constipation. Other opioid-induced effects may include a reduction in biliary and pancreatic secretions, spasm of sphincter of Oddi, and transient elevations in serum amylase.
Effects on the Cardiovascular System
Oxycodone produces peripheral vasodilation which may result in orthostatic hypotension or syncope. Manifestations of histamine release and/or peripheral vasodilation may include pruritus, flushing, red eyes and sweating and/or orthostatic hypotension.
Effects on the Endocrine System
Opioids inhibit the secretion of adrenocorticotropic hormone (ACTH), cortisol, and luteinizing hormone (LH) in humans [see Adverse Reactions (6)]. They also stimulate prolactin, growth hormone (GH) secretion, and pancreatic secretion of insulin and glucagon.
Chronic use of opioids may influence the hypothalamic-pituitary-gonadal axis, leading to androgen deficiency that may manifest as low libido, impotence, erectile dysfunction, amenorrhea, or infertility. The causal role of opioids in the clinical syndrome of hypogonadism is unknown because the various medical, physical, lifestyle, and psychological stressors that may influence gonadal hormone levels have not been adequately controlled for in studies conducted to date [see Adverse Reactions (6)].
Effects on the Immune System
Opioids have been shown to have a variety of effects on components of the immune system in in vitro and animal models. The clinical significance of these findings is unknown. Overall, the effects of opioids appear to be modestly immunosuppressive.
Concentration–Efficacy Relationships
The minimum effective analgesic concentration will vary widely among patients, especially among patients who have been previously treated with potent agonist opioids. The minimum effective analgesic concentration of oxycodone for any individual patient may increase over time due to an increase in pain, the development of a new pain syndrome and/or the development of analgesic tolerance [see Dosage and Administration (2.1, 2.3)].
Concentration–Adverse Reaction Relationships
There is a relationship between increasing oxycodone plasma concentration and increasing frequency of dose-related opioid adverse reactions such as nausea, vomiting, CNS effects, and respiratory depression. In opioid-tolerant patients, the situation may be altered by the development of tolerance to opioid-related adverse reactions [see Dosage and Administration (2.1, 2.3, 2.4)].
12.3 Pharmacokinetics
The activity of Oxycodone Hydrochloride Oral Solution is primarily due to the parent drug oxycodone.
Absorption
The oral bioavailability of oxycodone is 60% to 87%. This high oral bioavailability (compared to other oral opioids) is due to lower pre-systemic and/or first-pass metabolism of oxycodone.
Food Effect: Presence of food may slightly delay the rate (Cmax and Tmax) and enhance the extent of absorption (AUC) of oxycodone from Oxycodone Hydrochloride Oral Solution. Overall, food is not expected to have a clinically significant impact on the absorption of Oxycodone Hydrochloride Oral Solution.
Distribution
Following intravenous administration, the volume of distribution (Vss) for oxycodone was 2.6 L/kg. Plasma protein binding of oxycodone at 37°C and a pH of 7.4 was about 45%. Oxycodone has been found in breast milk [see Use in Specific Populations (8.2)].
Elimination
Metabolism: Oxycodone hydrochloride is extensively metabolized to noroxycodone, oxymorphone, noroxymorphone, which are subsequently glucuronidated. CYP3A4 mediated N-demethylation to noroxycodone is the primary metabolic pathway of oxycodone with a less contribution from CYP2D6 mediated O-demethylation to oxymorphone. Therefore, the formation of these and related metabolites can, in theory, be affected by other drugs. The major circulating metabolite is noroxycodone with an AUC ratio of 0.6 relative to that of oxycodone. Noroxycodone is reported to be a considerably weaker analgesic than oxycodone. Oxymorphone, although possessing analgesic activity, is present in the plasma only in low concentrations. The correlation between oxymorphone concentrations and opioid effects was much less than that seen with oxycodone plasma concentrations. The analgesic activity profile of other metabolites is not known.
Excretion: Oxycodone and its metabolites are excreted primarily via the kidney. The amounts measured in the urine have been reported as follows: free oxycodone up to 19%; conjugated oxycodone up to 50%; free oxymorphone 0%; conjugated oxymorphone ≤ 14%; both free and conjugated noroxycodone have been found in the urine but not quantified. The total plasma clearance was 0.8 L/min for adults. Apparent elimination half-life of oxycodone following the administration of Oxycodone Hydrochloride Oral Solution was approximately 3.5 hours.
Special Populations
Age: Geriatric Population: Information obtained from oxycodone tablets indicate that the plasma concentrations of oxycodone did not appear to be increased in patients over of the age of 65.
Hepatic Impairment: Because oxycodone is extensively metabolized in the liver, its clearance may decrease in hepatic-impaired patients. A dose adjustment is recommended in these patients [see Use in Special Populations (8.6)].
Renal Impairment: Because this drug is known to be substantially excreted by the kidney, and the risk of adverse reactions to this drug may be greater in patients with impaired renal function, a dose reduction is recommended for renal impaired patients [see Use in Special Populations (8.7)].
Drug Interactions Studies
CYP3A4 Inhibitors: CYP3A4 is the major enzyme involved in noroxycodone formation. A published study showed that the co-administration of voriconazole, a CYP3A4 inhibitor, increased oxycodone AUC and Cmax by 3.6 and 1.7 fold, respectively.
CYP3A4 Inducers: A published study showed that the co-administration of rifampin, a drug metabolizing enzyme inducer, decreased oxycodone AUC and Cmax values by 86% and 63%, respectively.
CYP2D6 Inhibitors: Oxycodone is metabolized in part to oxymorphone via the cytochrome p450 isoenzyme CYP2D6. While this pathway may be blocked by a variety of drugs (e.g., certain cardiovascular drugs and antidepressants), such blockade has not yet been shown to be of clinical significance with this agent.
13.1 Carcinogenesis, Mutagenesis, Impairment Of Fertility
Carcinogenesis
Long-term studies in animals to evaluate the carcinogenic potential of oxycodone have not been conducted.
Mutagenesis
Oxycodone hydrochloride was genotoxic in an in vitro mouse lymphoma assay in the presence of metabolic activation. There was no evidence of genotoxic potential in an in vitro bacterial reverse mutation assay (Salmonella typhimurium and Escherichia coli) or in an assay for chromosomal aberrations (in vivo mouse bone marrow micronucleus assay).
Impairment of Fertility
Studies in animals to evaluate the potential impact of oxycodone on fertility have not been conducted.
16 How Supplied/Storage And Handling
Oxycodone Hydrochloride Oral Solution, USP
The 5 mg/5 mL (1 mg/mL) solution is supplied as a clear, red solution for oral administration.
NDC 17856-0390-01 DELIVERS 5ML 72 CUPS
Dispense in a tight, light-resistant container as defined in the USP/NF.
Store at 20° to 25°C (68° to 77°F). [See USP Controlled Room Temperature.]
17 Patient Counseling Information
Advise the patient to read the FDA-approved patient labeling (Medication Guide).
Storage and Disposal
Because of the risks associated with accidental ingestion, misuse, and abuse, advise patients to store Oxycodone Hydrochloride Oral Solution securely, out of sight and reach of children, and in a location not accessible by others, including visitors to the home [seeWarnings and Precautions (5.1, 5.2), Drug Abuse and Dependence (9.2)]. Inform patients that leaving Oxycodone Hydrochloride Oral Solution unsecured can pose a deadly risk to others in the home.
Advise patients and caregivers that when medicines are no longer needed, they should be disposed of promptly. Expired, unwanted, or unused Oxycodone Hydrochloride Oral Solution should be disposed of by flushing the unused medication down the toilet if a drug take-back option is not readily available. Inform patients that they can visit www.fda.gov/drugdisposal for a complete list of medicines recommended for disposal by flushing, as well as additional information on disposal of unused medicines.
Medication Errors
Advise patients that oxycodone hydrochloride oral solution, is available in multiple concentrations. Inform patients about which concentration they have been prescribed. Instruct patients how to measure and take the correct dose of Oxycodone Hydrochloride Oral Solution, and to always use the enclosed cup when administering Oxycodone Hydrochloride Oral Solution to ensure the dose is measured and administered accurately [see Warnings and Precautions (5.1)].
If the prescribed concentration is changed, instruct patients on how to correctly measure the new dose to avoid errors which could result in accidental overdose and death.
Addiction, Abuse, and Misuse
Inform patients that the use of Oxycodone Hydrochloride Oral Solution, even when taken as recommended, can result in addiction, abuse, and misuse, which can lead to overdose and death [see Warnings and Precautions (5.2)]. Instruct patients not to share Oxycodone Hydrochloride Oral Solution with others and to take steps to protect Oxycodone Hydrochloride Oral Solution from theft or misuse.
Life-Threatening Respiratory Depression
Inform patients of the risk of life-threatening respiratory depression, including information that the risk is greatest when starting Oxycodone Hydrochloride Oral Solution or when the dosage is increased, and that it can occur even at recommended dosages.
Educate patients and caregivers on how to recognize respiratory depression and emphasize the importance of calling 911 or getting emergency medical help right away in the event of a of a known or suspected overdose [see Warnings and Precautions (5.4)].
Patient Access to Naloxone for the Emergency Treatment of Opioid Overdose
Discuss with the patient and caregiver the availability of naloxone for the emergency treatment of opioid overdose, both when initiating and renewing treatment with Oxycodone Hydrochloride Oral Solution. Inform patients and caregivers about the various ways to obtain naloxone as permitted by individual state naloxone dispensing and prescribing requirements or guidelines (e.g., by prescription, directly from a pharmacist, or as part of a community-based program) [see Dosage and Administration (2.2), Warnings and Precautions (5.4)].
Educate patients and caregivers on how to recognize the signs and symptoms of an overdose.
Explain to patients and caregivers that naloxone’s effects are temporary, and that they must call 911 or get emergency medical help right away in all cases of known or suspected opioid overdose, even if naloxone is administered [see Overdosage (10)].
If naloxone is prescribed, also advise patients and caregivers:
•
How to treat with naloxone in the event of an opioid overdose
•
To tell family and friends about their naloxone and to keep it in a place where family and friends can access it in an emergency
•
To read the Patient Information (or other educational material) that will come with their naloxone. Emphasize the importance of doing this before an opioid emergency happens, so the patient and caregiver will know what to do.
Accidental Ingestion
Inform patients that accidental ingestion, especially by, children, may result in respiratory depression or death [see Warnings and Precautions (5.4)].
Interactions with Benzodiazepines and Other CNS Depressants
Inform patients and caregivers that potentially fatal additive effects may occur if Oxycodone Hydrochloride Oral Solution is used with benzodiazepines or other CNS depressants, including alcohol, and not to use these concomitantly unless supervised by a health care provider [see Warnings and Precautions (5.7), Drug Interactions (7)].
Serotonin Syndrome
Inform patients that opioids could cause a rare but potentially life-threatening condition resulting from concomitant administration of serotonergic drugs. Warn patients of the symptoms of serotonin syndrome and to seek medical attention right away if symptoms develop. Instruct patients to inform their healthcare providers if they are taking, or plan to take serotonergic medications [see Drug Interactions (7)].
MAOI Interaction
Inform patients to avoid taking Oxycodone Hydrochloride Oral Solution while using any drugs that inhibit monoamine oxidase. Patients should not start MAOIs while taking Oxycodone Hydrochloride Oral Solution [see Drug Interactions (7)]
Adrenal Insufficiency
Inform patients that opioids could cause adrenal insufficiency, a potentially life-threatening condition. Adrenal insufficiency may present with non-specific symptoms and signs such as nausea, vomiting, anorexia, fatigue, weakness, dizziness, and low blood pressure. Advise patients to seek medical attention if they experience a constellation of these symptoms [see Warnings and Precautions (5.9)].
Important Administration Instructions
Instruct patients how to properly take Oxycodone Hydrochloride Oral Solution. [see Dosage and Administration (2.1), Warnings and Precautions (5.1)]
•
Advise patients to always use the enclosed calibrated dosing cup when administering Oxycodone Hydrochloride Oral Solution to ensure the dose is measured and administered accurately [see Warnings and Precautions (5.1)].
•
Advise patients never to use household teaspoons or tablespoons to measure Oxycodone Hydrochloride Oral Solution.
•
Advise patients not to adjust the dose of Oxycodone Hydrochloride Oral Solution without consulting with a physician or other healthcare provider.
Important Discontinuation Instructions
In order to avoid developing withdrawal symptoms, instruct patients not to discontinue Oxycodone Hydrochloride Oral Solution without first discussing a tapering plan with the prescriber [see Dosage and Administration (2.5)].
Hypotension
Inform patients that Oxycodone Hydrochloride Oral Solution may cause orthostatic hypotension and syncope. Instruct patients how to recognize symptoms of low blood pressure and how to reduce the risk of serious consequences should hypotension occur (e.g., sit or lie down, carefully rise from a sitting or lying position) [see Warnings and Precautions (5.10)].
Anaphylaxis
Inform patients that anaphylaxis has been reported with ingredients contained in Oxycodone Hydrochloride Oral Solution. Advise patients how to recognize such a reaction and when to seek medical attention [see Contraindications (4), Adverse Reactions (6)].
Pregnancy
Neonatal Opioid Withdrawal Syndrome: Inform female patients of reproductive potential that prolonged use of Oxycodone Hydrochloride Oral Solution during pregnancy can result in neonatal opioid withdrawal syndrome, which may be life-threatening if not recognized and treated [see Warnings and Precautions (5.5), Use in Specific Populations (8.1)].
Embryo-Fetal Toxicity: Inform female patients of reproductive potential that Oxycodone Hydrochloride Oral Solution can (or may) cause fetal harm and to inform the healthcare provider of a known or suspected pregnancy [see Use in Specific Populations (8.1)].
Lactation
Advise nursing mothers to monitor infants for increased sleepiness (more than usual), breathing difficulties, or limpness. Instruct nursing mothers to seek immediate medical care if they notice these signs [see Use in Specific Populations (8.2)].
Infertility
Inform patients that chronic use of opioids may cause reduced fertility. It is not known whether these effects on fertility are reversible [see Use in Specific Populations (8.3)].
Driving or Operating Heavy Machinery
Inform patients that Oxycodone Hydrochloride Oral Solution may impair the ability to perform potentially hazardous activities such as driving a car or operating heavy machinery. Advise patients not to perform such tasks until they know how they will react to the medication [see Warnings and Precautions (5.15)].
Constipation
Advise patients of the potential for severe constipation, including management instructions and when to seek medical attention [see Adverse Reactions (6), Clinical Pharmacology (12.2)].
Distributed By:
Atlantic Biologicals Corp.
Miami, FL 33179
Medication Guide
Oxycodone Hydrochloride (ox″ i koe′ done hye″ droe klor′ ide) Oral Solution USP CII Rx only | |
Oxycodone Hydrochloride Oral Solution is:
| |
Important information about Oxycodone Hydrochloride Oral Solution:
| |
Do not take Oxycodone Hydrochloride Oral Solution if you have:
| |
Before taking Oxycodone Hydrochloride Oral Solution, tell your healthcare provider if you have a history of: | |
|
|
| |
Tell your healthcare provider if you are:
| |
When taking Oxycodone Hydrochloride Oral Solution:
| |
While taking Oxycodone Hydrochloride Oral Solution DO NOT:
| |
The possible side effects of Oxycodone Hydrochloride Oral Solution:
Get emergency medical help or call 911 right away if you have: These are not all the possible side effects of Oxycodone Hydrochloride Oral Solution. Call your doctor for medical advice about side effects. You may report side effects to FDA at 1-800-FDA-1088. For more information, go to dailymed.nlm.nih.gov. | |
Distr. by: West-Ward Pharmaceuticals Corp. Eatontown, NJ 07724 For more information, please call 1-800-962-8364. | |
This Medication Guide has been approved by the U.S. Food and Drug Administration | |
10009007/05
Revised March 2021
Package/Label Display Panel
* Please review the disclaimer below.

