Product Images Lactulose

View Photos of Packaging, Labels & Appearance

Product Label Images

The following 2 images provide visual information about the product associated with Lactulose NDC 17856-0874 by Atlantic Biologicals Corp., such as packaging, labeling, and the appearance of the drug itself. This resource could be helpful for medical professionals, pharmacists, and patients seeking to verify medication information and ensure they have the correct product.

1 - 17856 0874 03 Rev. 1 Case Label

1 - 17856 0874 03 Rev. 1 Case Label

This text provides information about LACTULOSE SOLUTION, USP, with a dosage of 20g per 30mL. It is intended for oral use in the treatment of constipation. The instructions advise against using the solution if it undergoes extreme darkening or turbidity. The storage conditions are specified as avoiding freezing and keeping at a controlled room temperature between 20°C to 25°C (68°F to 77°F). The text also mentions keeping the medication out of reach of children. Additionally, the text includes a GTIN code for the product and contact details for reordering.*

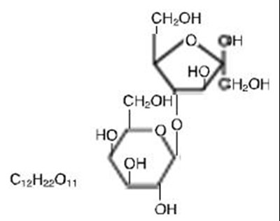
Chemical Structure - lactulose 1

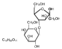
Chemical Structure - lactulose 1

* The product label images have been analyzed using a combination of traditional computing and machine learning techniques. It should be noted that the descriptions provided may not be entirely accurate as they are experimental in nature. Use the information in this page at your own discretion and risk.