FDA Label for Risperidone
View Indications, Usage & Precautions
- WARNINGS : INCREASED MORTALITY IN ELDERLY PATIENTS WITH DEMENTIA-RELATED PSYCHOSIS
- 1.1 SCHIZOPHRENIA
- 1.2 BIPOLAR MANIA
- 1.3 IRRITABILITY ASSOCIATED WITH AUTISTIC DISORDER
- 2.1 SCHIZOPHRENIA
- 2.2 BIPOLAR MANIA
- 2.3 IRRITABILITY ASSOCIATED WITH AUTISTIC DISORDER – PEDIATRICS (CHILDREN AND ADOLESCENTS)
- 2.4 DOSAGE IN SPECIAL POPULATIONS
- 2.5 CO-ADMINISTRATION OF RISPERIDONE TABLETS WITH CERTAIN OTHER MEDICATIONS
- OTHER
- 5.1 INCREASED MORTALITY IN ELDERLY PATIENTS WITH DEMENTIA-RELATED PSYCHOSIS
- 5.2 CEREBROVASCULAR ADVERSE EVENTS, INCLUDING STROKE, IN ELDERLY PATIENTS WITH DEMENTIA-RELATED PSYCHOSIS
- 5.3 NEUROLEPTIC MALIGNANT SYNDROME (NMS)
- 5.4 TARDIVE DYSKINESIA
- 5.5 HYPERGLYCEMIA AND DIABETES MELLITUS
- 5.6 HYPERPROLACTINEMIA
- 5.7 ORTHOSTATIC HYPOTENSION
- 5.8 LEUKOPENIA, NEUTROPENIA, AND AGRANULOCYTOSIS
- 5.9 POTENTIAL FOR COGNITIVE AND MOTOR IMPAIRMENT
- 5.10 SEIZURES
- 5.11 DYSPHAGIA
- 5.12 PRIAPISM
- 5.13 BODY TEMPERATURE REGULATION
- 5.14 ANTIEMETIC EFFECT
- 5.15 SUICIDE
- 5.16 USE IN PATIENTS WITH CONCOMITANT ILLNESS
- 5.17 MONITORING: LABORATORY TESTS
- 6.1 COMMONLY-OBSERVED ADVERSE REACTIONS IN DOUBLE-BLIND, PLACEBO-CONTROLLED CLINICAL TRIALS – SCHIZOPHRENIA
- 6.2 COMMONLY-OBSERVED ADVERSE REACTIONS IN DOUBLE-BLIND, PLACEBO-CONTROLLED CLINICAL TRIALS – BIPOLAR MANIA
- 6.3 COMMONLY-OBSERVED ADVERSE REACTIONS IN DOUBLE-BLIND, PLACEBO - CONTROLLED CLINICAL TRIALS – AUTISTIC DISORDER
- 6.4 OTHER ADVERSE REACTIONS OBSERVED DURING THE PREMARKETING EVALUATION OF RISPERIDONE.
- 6.5 DISCONTINUATIONS DUE TO ADVERSE REACTIONS
- 6.6 DOSE DEPENDENCY OF ADVERSE REACTIONS IN CLINICAL TRIALS
- 6.7 CHANGES IN BODY WEIGHT
- 6.8 CHANGES IN ECG
- 6.9 POSTMARKETING EXPERIENCE
- 7.1 CENTRALLY-ACTING DRUGS AND ALCOHOL
- 7.2 DRUGS WITH HYPOTENSIVE EFFECTS
- 7.3 LEVODOPA AND DOPAMINE AGONISTS
- 7.4 AMITRIPTYLINE
- 7.5 CIMETIDINE AND RANITIDINE
- 7.6 CLOZAPINE
- 7.7 LITHIUM
- 7.8 VALPROATE
- 7.9 DIGOXIN
- 7.10 DRUGS THAT INHIBIT CYP 2D6 AND OTHER CYP ISOZYMES
- 7.11 CARBAMAZEPINE AND OTHER ENZYME INDUCERS
- 7.12 DRUGS METABOLIZED BY CYP 2D6
- 8.1 PREGNANCY
- 8.2 LABOR AND DELIVERY
- 8.3 NURSING MOTHERS
- 8.4 PEDIATRIC USE
- 8.5 GERIATRIC USE
- 9.1 CONTROLLED SUBSTANCE
- 9.2 ABUSE
- 9.3 DEPENDENCE
- 10.1 HUMAN EXPERIENCE
- 10.2 MANAGEMENT OF OVERDOSAGE
- 11 DESCRIPTION
- 12.1 MECHANISM OF ACTION
- 12.2 PHARMACODYNAMICS
- 12.3 PHARMACOKINETICS
- 13.1 CARCINOGENESIS, MUTAGENESIS, IMPAIRMENT OF FERTILITY
- 14.1 SCHIZOPHRENIA
- 14.2 BIPOLAR MANIA - MONOTHERAPY
- 14.3 BIPOLAR MANIA – COMBINATION THERAPY
- 14.4 IRRITABILITY ASSOCIATED WITH AUTISTIC DISORDER
- 16 HOW SUPPLIED/STORAGE AND HANDLING
- 16.1 STORAGE AND HANDLING
- 17 PATIENT COUNSELING INFORMATION
- 17.1 ORTHOSTATIC HYPOTENSION
- 17.2 INTERFERENCE WITH COGNITIVE AND MOTOR PERFORMANCE
- 17.3 PREGNANCY
- 17.4 NURSING
- 17.5 CONCOMITANT MEDICATION
- 17.6 ALCOHOL
- PRINCIPAL DISPLAY PANEL
Risperidone Product Label
The following document was submitted to the FDA by the labeler of this product Rebel Distributors Corp. The document includes published materials associated whith this product with the essential scientific information about this product as well as other prescribing information. Product labels may durg indications and usage, generic names, contraindications, active ingredients, strength dosage, routes of administration, appearance, warnings, inactive ingredients, etc.
Warnings : Increased Mortality In Elderly Patients With Dementia-Related Psychosis
Elderly patients with dementia-related psychosis treated with antipsychotic drugs are at an increased risk of death. Analyses of 17 placebo-controlled trials (modal duration of 10 weeks), largely in patients taking atypical antipsychotic drugs, revealed a risk of death in drug-treated patients of between 1.6 to 1.7 times the risk of death in placebo-treated subjects patients. Over the course of a typical 10-week controlled trial, the rate of death in drug-treated patients was about 4.5%, compared to a rate of about 2.6% in the placebo group. Although the causes of death were varied, most of the deaths appeared to be either cardiovascular (e.g., heart failure, sudden death) or infectious (e.g., pneumonia) in nature. Observational studies suggest that, similar to atypical antipsychotic drugs, treatment with conventional antipsychotic drugs may increase mortality. The extent to which the findings of increased mortality in observational studies may be attributed to the antipsychotic drug as opposed to some characteristic(s) of the patients is not clear. Risperidone is not approved for the treatment of patients with dementia-related psychosis [See Warnings and Precautions (5.1)]
1.1 Schizophrenia
Adults
Risperidone tablets are indicated for the acute and maintenance treatment of schizophrenia [see Clinical Studies (14.1)].
Adolescents
Due to Janssen Pharmaceuticals Corporation’s marketing exclusivity rights, this drug product is not labeled for use in pediatric patients with schizophrenia .Pediatric use information for the treatment of pediatric patients with schizophrenia, 13 to 17 years of age, is approved for Janssen Pharmaceuticals Corporation’s risperidone drug products.
1.2 Bipolar Mania
Monotherapy - Adults and Pediatrics
Risperidone is indicated for the short-term treatment of acute manic or mixed episodes associated with Bipolar I Disorder in adults [see Clinical Studies (14.2)].
Due to Janssen Pharmaceuticals Corporation’s marketing exclusivity rights, this drug product is not labeled for use in pediatric patients with bipolar mania. Pediatric use information for the treatment of pediatric patients with bipolar mania, 10 to 17 years of age, is approved for Janssen Pharmaceuticals Corporation’s risperidone drug products.
Combination Therapy – Adults
The combination of risperidone with lithium or valproate is indicated for the short-term treatment of acute manic or mixed episodes associated with Bipolar I Disorder [see Clinical Studies (14.3)].
1.3 Irritability Associated With Autistic Disorder
Pediatrics
Due to Janssen Pharmaceuticals Corporation’s marketing exclusivity rights, this drug product is not labeled for use in pediatric patients with irritability associated with autistic disorder. Information regarding the treatment of pediatric patients with irritability associated with autistic disorder, 5 to 16 years of age, is approved for Janssen Pharmaceuticals Corporation’s risperidone drug products.
2.1 Schizophrenia
Adults
Usual Initial Dose
Risperidone tablets can be administered once or twice daily. Initial dosing is generally 2 mg/day. Dose increases should then occur at intervals not less than 24 hours, in increments of 1-2 mg/day, as tolerated, to a recommended dose of 4-8 mg/day. In some patients, slower titration may be appropriate. Efficacy has been demonstrated in a range of 4-16 mg/day [see Clinical Studies (14.1)]. However, doses above 6 mg/day for twice daily dosing were not demonstrated to be more efficacious than lower doses, were associated with more extrapyramidal symptoms and other adverse effects, and are generally not recommended. In a single study supporting once-daily dosing, the efficacy results were generally stronger for 8 mg than for 4 mg. The safety of doses above 16 mg/day has not been evaluated in clinical trials.
Maintenance Therapy
While it is unknown how long a patient with schizophrenia should remain on risperidone tablets, the effectiveness of risperidone tablets 2 mg/day to 8 mg/day at delaying relapse was demonstrated in a controlled trial in patients who had been clinically stable for at least 4 weeks and were then followed for a period of 1 to 2 years [see Clinical Studies (14.1)]. Patients should be periodically reassessed to determine the need for maintenance treatment with an appropriate dose.
Adolescents
Due to Janssen Pharmaceuticals Corporation’s marketing exclusivity rights, this drug product is not labeled for use in pediatric patients with schizophrenia. Dosage and administration information for pediatric patients with schizophrenia, 13 to 17 years of age, is approved for Janssen Pharmaceuticals Corporation’s risperidone drug product.
Reinitiation of Treatment in Patients Previously Discontinued
Although there are no data to specifically address reinitiation of treatment, it is recommended that after an interval off risperidone tablets, the initial titration schedule should be followed.
Switching From Other Antipsychotic
There are no systematically collected data to specifically address switching schizophrenic patients from other antipsychotics to risperidone tablets, or treating patients with concomitant antipsychotics. While immediate discontinuation of the previous antipsychotic treatment may be acceptable for some schizophrenic patients, more gradual discontinuation may be most appropriate for others. The period of overlapping antipsychotic administration should be minimized. When switching schizophrenic patients from depot antipsychotics, initiate risperidone tablets therapy in place of the next scheduled injection. The need for continuing existing EPS medication should be re-evaluated periodically.
2.2 Bipolar Mania
Usual Dose
Adults
Risperidone tablets should be administered on a once-daily schedule, starting with 2 mg to 3 mg per day. Dosage adjustments, if indicated, should occur at intervals of not less than 24 hours and in dosage increments/decrements of 1 mg per day, as studied in the short-term, placebo-controlled trials. In these trials, short-term (3 week) anti-manic efficacy was demonstrated in a flexible dosage range of 1-6 mg per day [see Clinical Studies (14.2, 14.3)]. Risperidone tablet doses higher than 6 mg per day were not studied.
Pediatrics
Due to Janssen Pharmaceuticals Corporation’s marketing exclusivity rights, this drug product is not labeled for use in pediatric patients with bipolar mania. Dosage and administration information for the treatment of pediatric patients with bipolar disorder is approved for Janssen Pharmaceuticals Corporation’s risperidone drug products.
Maintenance Therapy
There is no body of evidence available from controlled trials to guide a clinician in the longer-term management of a patient who improves during treatment of an acute manic episode with risperidone tablets. While it is generally agreed that pharmacological treatment beyond an acute response in mania is desirable, both for maintenance of the initial response and for prevention of new manic episodes, there are no systematically obtained data to support the use of risperidone tablets in such longer-term treatment (i.e., beyond 3 weeks). The physician who elects to use risperidone tablets for extended periods should periodically re-evaluate the long-term risks and benefits of the drug for the individual patient.
2.3 Irritability Associated With Autistic Disorder – Pediatrics (Children And Adolescents)
Due to Janssen Pharmaceuticals Corporation’s marketing exclusivity rights, this drug product is not labeled for use in pediatric patients with irritability associated with autistic disorder. Dosage and administration information for the treatment of pediatric patients with irritability associated with autistic disorder, 5 to 16 years of age, is approved for Janssen Pharmaceuticals Corporation’s risperidone drug products.
2.4 Dosage In Special Populations
The recommended initial dose is 0.5 mg twice daily in patients who are elderly or debilitated, patients with severe renal or hepatic impairment, and patients either predisposed to hypotension or for whom hypotension would pose a risk. Dosage increases in these patients should be in increments of no more than 0.5 mg twice daily. Increases to dosages above 1.5 mg twice daily should generally occur at intervals of at least 1 week. In some patients, slower titration may be medically appropriate.
Elderly or debilitated patients, and patients with renal impairment, may have less ability to eliminate risperidone than normal adults. Patients with impaired hepatic function may have increases in the free fraction of risperidone, possibly resulting in an enhanced effect [see Clinical Pharmacology (12.3)]. Patients with a predisposition to hypotensive reactions or for whom such reactions would pose a particular risk likewise need to be titrated cautiously and carefully monitored [see Warnings and Precautions (5.2, 5.7, 5.16)]. If a once-daily dosing regimen in the elderly or debilitated patient is being considered, it is recommended that the patient be titrated on a twice-daily regimen for 2-3 days at the target dose. Subsequent switches to a once-daily dosing regimen can be done thereafter.
2.5 Co-Administration Of Risperidone Tablets With Certain Other Medications
Co-administration of carbamazepine and other enzyme inducers (e.g., phenytoin, rifampin, phenobarbital) with risperidone tablets would be expected to cause decreases in the plasma concentrations of the sum of risperidone and 9-hydroxyrisperidone combined, which could lead to decreased efficacy of risperidone tablets treatment. The dose of risperidone tablets needs to be titrated accordingly for patients receiving these enzyme inducers, especially during initiation or discontinuation of therapy with these inducers [see Drug Interactions (7.11)].
Fluoxetine and paroxetine have been shown to increase the plasma concentration of risperidone 2.5-2.8 fold and 3-9 fold, respectively. Fluoxetine did not affect the plasma concentration of 9-hydroxyrisperidone. Paroxetine lowered the concentration of 9-hydroxyrisperidone by about 10%. The dose of risperidone tablets needs to be titrated accordingly when fluoxetine or paroxetine is co-administered [see Drug Interactions (7.10)].
Other
Risperidone tablets are available in following strength and colors: 0.25 mg (yellow), 0.5 mg (red), 1 mg (white to off white), 2 mg (Light orange), 3 mg (yellow), and 4 mg (yellow).
Hypersensitivity reactions, including anaphylactic reactions and angioedema, have been observed in patients treated with risperidone. Therefore, risperidone is contraindicated in patients with a known hypersensitivity to the product.
The following are discussed in more detail in other sections of the labeling:
- Increased mortality in elderly patients with dementia-related psychosis [see Boxed Warning and Warnings and Precautions (5.1)]
- Cerebrovascular adverse events, including stroke, in elderly patients with dementia-related psychosis [see Warnings and Precautions (5.2)]
- Neuroleptic malignant syndrome [see Warnings and Precautions (5.3)]
- Tardive dyskinesia [see Warnings and Precautions (5.4)]
- Hyperglycemia and diabetes mellitus [see Warnings and Precautions (5.5)]
- Hyperprolactinemia [see Warnings and Precautions (5.6)]
- Orthostatic hypotension [see Warnings and Precautions (5.7)]
- Leukopenia, neutropenia, and agranulocytosis [see Warnings and Precautions (5.8)]
- Potential for cognitive and motor impairment [see Warnings and Precautions (5.9)]
- Seizures [see Warnings and Precautions (5.10)]
- Dysphagia [see Warnings and Precautions (5.11)]
- Priapism [see Warnings and Precautions (5.12)]
- Disruption of body temperature regulation [see Warnings and Precautions (5.13)]
- Antiemetic effect [see Warnings and Precautions (5.14)]
- Suicide [see Warnings and Precautions (5.15)]
- Increased sensitivity in patients with Parkinson’s disease or those with dementia with Lewy bodies [see Warnings and Precautions (5.16)]
- Diseases or conditions that could affect metabolism or hemodynamic responses [see Warnings and Precautions (5.16)].
The most common adverse reactions in clinical trials (≥ 10%) were somnolence, appetite increased, fatigue, rhinitis, upper respiratory tract infection, vomiting, coughing, urinary incontinence, saliva increased, constipation, fever, Parkinsonism, dystonia, abdominal pain, anxiety, nausea, dizziness, dry mouth, tremor, rash, akathisia, and dyspepsia.
The most common adverse reactions that were associated with discontinuation from clinical trials (causing discontinuation in >1% of adults and/or >2% of pediatrics) were somnolence, nausea, abdominal pain, dizziness, vomiting, agitation, and akathisia [see Adverse Reactions (6.5)].
The data described in this section are derived from a clinical trial database consisting of 9712 adult and pediatric patients exposed to one or more doses of risperidone for the treatment of schizophrenia, bipolar mania, autistic disorder, and other psychiatric disorders in pediatrics and elderly patients with dementia. Of these 9712 patients, 2626 were patients who received risperidone while participating in double-blind, placebo-controlled trials. The conditions and duration of treatment with risperidone varied greatly and included (in overlapping categories) double-blind, fixed- and flexible-dose, placebo- or active-controlled studies and open-label phases of studies, inpatients and outpatients, and short-term (up to 12 weeks) and longer-term (up to 3 years) exposures. Safety was assessed by collecting adverse events and performing physical examinations, vital signs, body weights, laboratory analyses, and ECGs.
Adverse events during exposure to study treatment were obtained by general inquiry and recorded by clinical investigators using their own terminology. Consequently, to provide a meaningful estimate of the proportion of individuals experiencing adverse events, events were grouped in standardized categories using WHOART terminology.
Throughout this section, adverse reactions are reported. Adverse reactions are adverse events that were considered to be reasonably associated with the use of risperidone (adverse drug reactions) based on the comprehensive assessment of the available adverse event information. A causal association for risperidone often cannot be reliably established in individual cases. Further, because clinical trials are conducted under widely varying conditions, adverse reaction rates observed in the clinical trials of a drug cannot be directly compared to rates in the clinical trials of another drug and may not reflect the rates observed in clinical practice.
The majority of all adverse reactions were mild to moderate in severity.
5.1 Increased Mortality In Elderly Patients With Dementia-Related Psychosis
Elderly patients with dementia-related psychosis treated with antipsychotic drugs are at an increased risk of death. Risperidone is not approved for the treatment of dementia-related psychosis [see Boxed Warning].
5.2 Cerebrovascular Adverse Events, Including Stroke, In Elderly Patients With Dementia-Related Psychosis
Cerebrovascular adverse events (e.g., stroke, transient ischemic attack), including fatalities, were reported in patients (mean age 85 years; range 73-97) in trials of risperidone in elderly patients with dementia-related psychosis. In placebo-controlled trials, there was a significantly higher incidence of cerebrovascular adverse events in patients treated with risperidone compared to patients treated with placebo. Risperidone is not approved for the treatment of patients with dementia-related psychosis. [See also Boxed Warnings and Warnings and Precautions (5.1)]
5.3 Neuroleptic Malignant Syndrome (Nms)
A potentially fatal symptom complex sometimes referred to as Neuroleptic Malignant Syndrome (NMS) has been reported in association with antipsychotic drugs. Clinical manifestations of NMS are hyperpyrexia, muscle rigidity, altered mental status, and evidence of autonomic instability (irregular pulse or blood pressure, tachycardia, diaphoresis, and cardiac dysrhythmia). Additional signs may include elevated creatinine phosphokinase, myoglobinuria (rhabdomyolysis), and acute renal failure.
The diagnostic evaluation of patients with this syndrome is complicated. In arriving at a diagnosis, it is important to identify cases in which the clinical presentation includes both serious medical illness (e.g., pneumonia, systemic infection, etc.) and untreated or inadequately treated extrapyramidal signs and symptoms (EPS). Other important considerations in the differential diagnosis include central anticholinergic toxicity, heat stroke, drug fever, and primary central nervous system pathology.
The management of NMS should include: (1) immediate discontinuation of antipsychotic drugs and other drugs not essential to concurrent therapy; (2) intensive symptomatic treatment and medical monitoring; and (3) treatment of any concomitant serious medical problems for which specific treatments are available. There is no general agreement about specific pharmacological treatment regimens for uncomplicated NMS.
If a patient requires antipsychotic drug treatment after recovery from NMS, the potential reintroduction of drug therapy should be carefully considered. The patient should be carefully monitored, since recurrences of NMS have been reported.
5.4 Tardive Dyskinesia
A syndrome of potentially irreversible, involuntary, dyskinetic movements may develop in patients treated with antipsychotic drugs. Although the prevalence of the syndrome appears to be highest among the elderly, especially elderly women, it is impossible to rely upon prevalence estimates to predict, at the inception of antipsychotic treatment, which patients are likely to develop the syndrome. Whether antipsychotic drug products differ in their potential to cause tardive dyskinesia is unknown.
The risk of developing tardive dyskinesia and the likelihood that it will become irreversible are believed to increase as the duration of treatment and the total cumulative dose of antipsychotic drugs administered to the patient increase. However, the syndrome can develop, although much less commonly, after relatively brief treatment periods at low doses.
There is no known treatment for established cases of tardive dyskinesia, although the syndrome may remit, partially or completely, if antipsychotic treatment is withdrawn. Antipsychotic treatment, itself, however, may suppress (or partially suppress) the signs and symptoms of the syndrome and thereby may possibly mask the underlying process. The effect that symptomatic suppression has upon the long-term course of the syndrome is unknown.
Given these considerations, risperidone should be prescribed in a manner that is most likely to minimize the occurrence of tardive dyskinesia. Chronic antipsychotic treatment should generally be reserved for patients who suffer from a chronic illness that: (1) is known to respond to antipsychotic drugs, and (2) for whom alternative, equally effective, but potentially less harmful treatments are not available or appropriate. In patients who do require chronic treatment, the smallest dose and the shortest duration of treatment producing a satisfactory clinical response should be sought. The need for continued treatment should be reassessed periodically.
If signs and symptoms of tardive dyskinesia appear in a patient treated with risperidone, drug discontinuation should be considered. However, some patients may require treatment with risperidone despite the presence of the syndrome.
5.5 Hyperglycemia And Diabetes Mellitus
Hyperglycemia, in some cases extreme and associated with ketoacidosis or hyperosmolar coma or death, has been reported in patients treated with atypical antipsychotics including risperidone. Assessment of the relationship between atypical antipsychotic use and glucose abnormalities is complicated by the possibility of an increased background risk of diabetes mellitus in patients with schizophrenia and the increasing incidence of diabetes mellitus in the general population. Given these confounders, the relationship between atypical antipsychotic use and hyperglycemia-related adverse events is not completely understood. However, epidemiological studies suggest an increased risk of treatment-emergent hyperglycemia-related adverse events in patients treated with the atypical antipsychotics. Precise risk estimates for hyperglycemia-related adverse events in patients treated with atypical antipsychotics are not available.
Patients with an established diagnosis of diabetes mellitus who are started on atypical antipsychotics should be monitored regularly for worsening of glucose control. Patients with risk factors for diabetes mellitus (e.g., obesity, family history of diabetes) who are starting treatment with atypical antipsychotics should undergo fasting blood glucose testing at the beginning of treatment and periodically during treatment. Any patient treated with atypical antipsychotics should be monitored for symptoms of hyperglycemia including polydipsia, polyuria, polyphagia, and weakness. Patients who develop symptoms of hyperglycemia during treatment with atypical antipsychotics should undergo fasting blood glucose testing. In some cases, hyperglycemia has resolved when the atypical antipsychotic was discontinued; however, some patients required continuation of anti-diabetic treatment despite discontinuation of the suspect drug.
5.6 Hyperprolactinemia
As with other drugs that antagonize dopamine D2 receptors, risperidone elevates prolactin levels and the elevation persists during chronic administration. Risperidone is associated with higher levels of prolactin elevation than other antipsychotic agents.
Hyperprolactinemia may suppress hypothalamic GnRH, resulting in reduced pituitary gonadotropin secretion. This, in turn, may inhibit reproductive function by impairing gonadal steroidogenesis in both female and male patients. Galactorrhea, amenorrhea, gynecomastia, and impotence have been reported in patients receiving prolactin-elevating compounds. Long-standing hyperprolactinemia when associated with hypogonadism may lead to decreased bone density in both female and male subjects.
Tissue culture experiments indicate that approximately one-third of human breast cancers are prolactin dependent in vitro, a factor of potential importance if the prescription of these drugs is contemplated in a patient with previously detected breast cancer. An increase in pituitary gland, mammary gland, and pancreatic islet cell neoplasia (mammary adenocarcinomas, pituitary and pancreatic adenomas) was observed in the risperidone carcinogenicity studies conducted in mice and rats [see Non-Clinical Toxicology (13.1)]. Neither clinical studies nor epidemiologic studies conducted to date have shown an association between chronic administration of this class of drugs and tumorigenesis in humans; the available evidence is considered too limited to be conclusive at this time.
5.7 Orthostatic Hypotension
Risperidone may induce orthostatic hypotension associated with dizziness, tachycardia, and in some patients, syncope, especially during the initial dose-titration period, probably reflecting its alpha-adrenergic antagonistic properties. Syncope was reported in 0.2% (6/2607) of risperidone-treated patients in Phase 2 and 3 studies in adults with schizophrenia. The risk of orthostatic hypotension and syncope may be minimized by limiting the initial dose to 2 mg total (either once daily or 1 mg twice daily) in normal adults and 0.5 mg twice daily in the elderly and patients with renal or hepatic impairment [see Dosage and Administration (2.1, 2.4)]. Monitoring of orthostatic vital signs should be considered in patients for whom this is of concern. A dose reduction should be considered if hypotension occurs. Risperidone should be used with particular caution in patients with known cardiovascular disease (history of myocardial infarction or ischemia, heart failure, or conduction abnormalities), cerebrovascular disease, and conditions which would predispose patients to hypotension, e.g., dehydration and hypovolemia. Clinically significant hypotension has been observed with concomitant use of risperidone and antihypertensive medication.
5.8 Leukopenia, Neutropenia, And Agranulocytosis
Class Effect: In clinical trial and/or postmarketing experience, events of leukopenia/neutropenia have been reported temporally related to antipsychotic agents, including risperidone. Agranulocytosis has also been reported.
Possible risk factors for leukopenia/neutropenia include pre-existing low white blood cell count (WBC) and history of drug-induced leukopenia/neutropenia. Patients with a history of a clinically significant low WBC or a drug-induced leukopenia/neutropenia should have their complete blood count (CBC) monitored frequently during the first few months of therapy and discontinuation of risperidone should be considered at the first sign of a clinically significant decline in WBC in the absence of other causative factors.
Patients with clinically significant neutropenia should be carefully monitored for fever or other symptoms or signs of infection and treated promptly if such symptoms or signs occur. Patients with severe neutropenia (absolute neutrophil count <1000/mm3) should discontinue risperidone and have their WBC followed until recovery.
5.9 Potential For Cognitive And Motor Impairment
Somnolence was a commonly reported adverse event associated with risperidone treatment, especially when ascertained by direct questioning of patients. This adverse event is dose-related, and in a study utilizing a checklist to detect adverse events, 41% of the high-dose patients (risperidone 16 mg/day) reported somnolence compared to 16% of placebo patients. Direct questioning is more sensitive for detecting adverse events than spontaneous reporting, by which 8% of risperidone 16 mg/day patients and 1% of placebo patients reported somnolence as an adverse event. Since risperidone has the potential to impair judgment, thinking, or motor skills, patients should be cautioned about operating hazardous machinery, including automobiles, until they are reasonably certain that risperidone therapy does not affect them adversely.
5.10 Seizures
During premarketing testing in adult patients with schizophrenia, seizures occurred in 0.3% (9/2607) of risperidone-treated patients, two in association with hyponatremia. Risperidone should be used cautiously in patients with a history of seizures.
5.11 Dysphagia
Esophageal dysmotility and aspiration have been associated with antipsychotic drug use. Aspiration pneumonia is a common cause of morbidity and mortality in patients with advanced Alzheimer’s dementia. Risperidone and other antipsychotic drugs should be used cautiously in patients at risk for aspiration pneumonia. [See also Boxed Warning and Warnings and Precautions (5.1)]
5.12 Priapism
Rare cases of priapism have been reported. While the relationship of the events to risperidone use has not been established, other drugs with alpha-adrenergic blocking effects have been reported to induce priapism, and it is possible that risperidone may share this capacity. Severe priapism may require surgical intervention.
5.13 Body Temperature Regulation
Disruption of body temperature regulation has been attributed to antipsychotic agents. Both hyperthermia and hypothermia have been reported in association with oral risperidone use. Caution is advised when prescribing for patients who will be exposed to temperature extremes.
5.14 Antiemetic Effect
Risperidone has an antiemetic effect in animals; this effect may also occur in humans, and may mask signs and symptoms of overdosage with certain drugs or of conditions such as intestinal obstruction, Reye’s syndrome, and brain tumor.
5.15 Suicide
The possibility of a suicide attempt is inherent in patients with schizophrenia and bipolar mania, including children and adolescent patients, and close supervision of high-risk patients should accompany drug therapy. Prescriptions for risperidone should be written for the smallest quantity of tablets, consistent with good patient management, in order to reduce the risk of overdose.
5.16 Use In Patients With Concomitant Illness
Clinical experience with risperidone in patients with certain concomitant systemic illnesses is limited. Patients with Parkinson’s Disease or Dementia with Lewy Bodies, who receive antipsychotics, including risperidone, are reported to have an increased sensitivity to antipsychotic medications. Manifestations of this increased sensitivity have been reported to include confusion, obtundation, postural instability with frequent falls, extrapyramidal symptoms, and clinical features consistent with the neuroleptic malignant syndrome.
Caution is advisable in using risperidone in patients with diseases or conditions that could affect metabolism or hemodynamic responses. Risperidone has not been evaluated or used to any appreciable extent in patients with a recent history of myocardial infarction or unstable heart disease. Patients with these diagnoses were excluded from clinical studies during the product's premarket testing.
Increased plasma concentrations of risperidone and 9-hydroxyrisperidone occur in patients with severe renal impairment (creatinine clearance <30 mL/min/1.73 m2), and an increase in the free fraction of risperidone is seen in patients with severe hepatic impairment. A lower starting dose should be used in such patients [see Dosage and Administration (2.4)].
5.17 Monitoring: Laboratory Tests
No specific laboratory tests are recommended.
6.1 Commonly-Observed Adverse Reactions In Double-Blind, Placebo-Controlled Clinical Trials – Schizophrenia
Adult Patients with Schizophrenia
Table 1 lists the adverse reactions reported in 1% or more of risperidone-treated adult patients with schizophrenia in three 4- to 8-week, double-blind, placebo-controlled trials.
Table 1 Adverse Reactions in ≥ 1% of Risperidone-Treated Adult Patients with Schizophrenia in Double-Blind, Placebo-Controlled Trials.
Percentage of Patients Reporting Event | |||
Risperidone | |||
Body System | 2-8 mg per day | >8-16 mg per day | Placebo |
| Adverse Reaction | (N=366) | (N=198) | (N=225) |
Body as whole - general disorders | |||
| Back pain | 3 | 2 | <1 |
| Fatigue | 3 | 1 | 0 |
| Chest pain | 3 | 1 | 2 |
| Fever | 2 | 1 | 1 |
| Asthenia | 1 | 1 | <1 |
| Syncope | <1 | 1 | <1 |
| Edema | <1 | 1 | 0 |
Cardiovascular disorders, general | |||
| Hypotension postural | 2 | <1 | 0 |
| Hypotension | <1 | 1 | 0 |
Central and peripheral nervous system disorders | |||
| Parkinsonism Parkinsonism includes extrapyramidal disorder, hypokinesia, and bradycardia. Dystonia includes dystonia, hypertonia, oculogyric crisis, muscle contractions involuntary, tetany, laryngismus, tongue paralysis, and torticollis. Akathisia includes hyperkinesia and akathisia. | 12 | 17 | 6 |
| Dizziness | 10 | 4 | 2 |
| Dystonia | 5 | 5 | 2 |
| Akathisia | 5 | 5 | 2 |
| Dyskinesia | 1 | 1 | <1 |
Gastrointestinal system disorders | |||
| Dyspepsia | 10 | 7 | 6 |
| Nausea | 9 | 4 | 4 |
| Constipation | 8 | 9 | 7 |
| Abdominal pain | 4 | 3 | 0 |
| Mouth dry | 4 | <1 | <1 |
| Saliva increased | 3 | 1 | <1 |
| Diarrhea | 2 | <1 | 1 |
Hearing and vestibular disorders | |||
| Earache | 1 | 1 | 0 |
Heart rate and rhythm disorders | |||
| Tachycardia | 2 | 5 | 0 |
| Arrhythmia | 0 | 1 | 0 |
Metabolic and nutritional disorders | |||
| Weight increase | 1 | <1 | 0 |
| Creatine phosphokinase increased | <1 | 2 | <1 |
Musculoskeletal system disorders | |||
| Arthralgia | 2 | 3 | <1 |
| Myalgia | 1 | 0 | 0 |
Platelet, bleeding and clotting disorders | |||
| Epistaxis | <1 | 2 | 0 |
Psychiatric disorders | |||
| Anxiety | 16 | 12 | 11 |
| Somnolence | 14 | 5 | 4 |
| Anorexia | 2 | 0 | <1 |
Red blood cell disorders | |||
| Anemia | <1 | 1 | 0 |
Reproductive disorders, male | |||
| Ejaculation failure | <1 | 1 | 0 |
Respiratory system disorders | |||
| Rhinitis | 7 | 11 | 6 |
| Coughing | 3 | 3 | 3 |
| Upper respiratory tract infection | 2 | 3 | <1 |
| Dyspnea | 2 | 2 | 0 |
Skin and appendages disorders | |||
| Rash | 2 | 4 | 2 |
| Seborrhea | <1 | 2 | 0 |
Urinary system disorders | |||
| Urinary tract infection | <1 | 3 | 0 |
Vision disorders | |||
| Vision abnormal | 3 | 1 | <1 |
Pediatric Patients with Schizophrenia
Table 2 lists the adverse reactions reported in 5% or more of risperidone-treated pediatric patients with schizophrenia in a 6-week double-blind, placebo-controlled trial.
Table 2. Adverse Reactions in ≥ 5% of Risperidone-Treated Pediatric Patients with Schizophrenia in a Double-Blind Trial
| Percentage of Patients Reporting Event | ||
| Risperidone | ||
Body System | 1-3 mg per day | 4-6 mg per day | Placebo |
| Adverse Reaction | (N=55) | (N=51) | (N=54) |
Central and peripheral nervous | |||
system disorders | |||
| Parkinsonism Parkinsonism includes extrapyramidal disorder, hypokinesia, and bradykinesia. Dystonia includes dystonia, hypertonia, oculogyric crisis, muscle contractions involuntary, tetany, laryngismus, tongue paralysis, and torticollis. Akathisia includes hyperkinesia and akathisia. | 13 | 16 | 6 |
| Tremor | 11 | 10 | 6 |
| Dystonia | 9 | 18 | 7 |
| Dizziness | 7 | 14 | 2 |
| Akathisia | 7 | 10 | 6 |
Gastrointestinal system disorders | |||
| Saliva increased | 0 | 10 | 2 |
Psychiatric disorders | |||
| Somnolence | 24 | 12 | 4 |
| Anxiety | 7 | 6 | 0 |
6.2 Commonly-Observed Adverse Reactions In Double-Blind, Placebo-Controlled Clinical Trials – Bipolar Mania
Adult Patients with Bipolar Mania
Table 3 lists the adverse reactions reported in 1% or more of risperidone-treated adult patients with bipolar mania in four 3-week, double-blind, placebo-controlled monotherapy trials.
Table 3. Adverse Reactions in ≥1% Risperidone-Treated Adult Patients with Bipolar Mania in Double-Blind, Placebo-Controlled Monotherapy Trials.
| Percentage of Patients Reporting Event | |
| Risperidone | Placebo |
Body System | 1-6 mg per day | (N=424) |
| Adverse Reaction | (N=448) | |
Body as whole - general disorders | ||
| Fatigue | 2 | <1 |
| Fever | 1 | <1 |
| Asthenia | 1 | <1 |
| Edema | 1 | <1 |
Central and peripheral nervous system disorders | ||
| Parkinsonism Parkinsonism includes extrapyramidal disorder, hypokinesia, and bradycardia. Dystonia includes dystonia, hypertonia, oculogyric crisis, muscle contractions involuntary, tetany, laryngismus, tongue paralysis, and torticollis. Akathisia includes hyperkinesia and akathisia. | 20 | 6 |
| Dystonia | 11 | 3 |
| Akathisia | 9 | 3 |
| Tremor | 6 | 4 |
| Dizziness | 5 | 5 |
Gastrointestinal system disorders | ||
| Nausea | 5 | 2 |
| Dyspepsia | 4 | 2 |
| Saliva increased | 3 | <1 |
| Diarrhea | 3 | 2 |
| Mouth dry | 1 | 1 |
Heart rate and rhythm disorders | ||
| Tachycardia | 1 | <1 |
Liver and biliary system disorders | ||
| SGOT increased | 1 | <1 |
Musculoskeletal disorders | ||
| Myalgia | 2 | 2 |
Psychiatric disorders | ||
| Somnolence | 12 | 4 |
| Anxiety | 2 | 2 |
Reproductive disorders, female | ||
| Lactation nonpuerperal | 1 | 0 |
Respiratory disorders | ||
| Rhinitis | 2 | 2 |
Skin and appendages disorders | ||
| Acne | 1 | 0 |
Vision disorders | ||
| Vision abnormal | 2 | <1 |
Table 4 lists the adverse reactions reported in 2% or more of risperidone treated adult patients with bipolar mania in two 3-week, double-blind, placebo-controlled adjuvant therapy trials.
Table 4. Adverse Reactions in ≥2% of Risperidone-Treated Adult Patients with Bipolar Mania in Double-Blind, Placebo-Controlled Adjuvant Therapy Trials.
| Percentage of Patients Reporting Event | |
| Risperidone + | Placebo + |
Body System | Mood Stabilizer | Mood Stabilizer |
| Adverse Reaction | (N=127) | (N=126) |
Body as whole – general disorders | ||
| Chest pain | 2 | 2 |
| Fatigue | 2 | 2 |
Central and peripheral nervous system Disorders | ||
| Parkinsonism Parkinsonism includes extrapyramidal disorder, hypokinesia and bradykinesia. Dystonia includes dystonia, hypertonia, oculogyric crisis, muscle contractions involuntary, tetany, laryngismus, tongue paralysis, and torticollis. Akathisia includes hyperkinesia and akathisia. | 9 | 4 |
| Dizziness | 8 | 2 |
| Dystonia | 6 | 3 |
| Akathisia | 6 | 0 |
| Tremor | 5 | 2 |
Gastrointestinal system disorders | ||
| Nausea | 6 | 5 |
| Diarrhea | 6 | 4 |
| Saliva increased | 4 | 0 |
| Abdominal pain | 2 | 0 |
Heart rate and rhythm disorders | ||
| Palpitation | 2 | 0 |
Metabolic and nutritional disorders | ||
| Weight increase | 2 | 2 |
Psychiatric disorders | ||
| Somnolence | 12 | 5 |
| Anxiety | 4 | 2 |
Respiratory disorders | ||
| Pharyngitis | 5 | 2 |
| Coughing | 3 | 1 |
Skin and appendages disorders | ||
| Rash | 2 | 2 |
Urinary system disorders | ||
| Urinary incontinence | 2 | 1 |
| Urinary tract infection | 2 | 1 |
Pediatric Patients with Bipolar Mania
Table 5 lists the adverse reactions reported in 5% or more of risperidone-treated pediatric patients with bipolar mania in a 3-week double-blind, placebo-controlled trial.
Table 5. Adverse Reactions in ≥ 5% of Risperidone-Treated Pediatric Patients with Bipolar Mania in Double-Blind, Placebo-Controlled Trials
Percentage of Patients Reporting Event |
| ||
Risperidone |
|
| |
Body System | 0.5-2.5 mg per day | 3-6 mg per day | Placebo |
| Adverse Reaction | (N=50) | (N=61) | (N=58) |
Body as whole – general disorders | |||
| Fatigue | 18 | 30 | 3 |
Central and peripheral nervous system disorders | |||
| Dizziness | 16 | 13 | 5 |
| Dystonia Dystonia includes dystonia, hypertonia, oculogyric crisis, muscle contractions involuntary, tetany, laryngismus, tongue paralysis, and torticollis. Parkinsonism includes extrapyramidal disorder, hypokinesia, and bradykinesia. Akathisia includes hyperkinesia and akathisia. | 8 | 13 | 2 |
| Parkinsonism | 2 | 7 | 2 |
| Akathisia | 0 | 7 | 2 |
Gastrointestinal system disorders | |||
| Abdominal pain | 18 | 15 | 5 |
| Dyspepsia | 16 | 5 | 3 |
| Nausea | 16 | 13 | 7 |
| Vomiting | 12 | 10 | 7 |
| Diarrhea | 8 | 7 | 2 |
Heart rate and rhythm disorders | |||
| Tachycardia | 0 | 5 | 2 |
Psychiatric disorders | |||
| Somnolence | 42 | 56 | 19 |
| Appetite increased | 4 | 7 | 2 |
| Anxiety | 0 | 8 | 3 |
Reproductive disorders, female | |||
| Lactation nonpuerperal | 2 | 5 | 0 |
Respiratory system disorders | |||
| Rhinitis | 14 | 13 | 10 |
| Dyspnea | 2 | 5 | 0 |
Skin and appendages disorders | |||
| Rash | 0 | 7 | 2 |
Urinary system disorders | |||
| Urinary incontinence | 0 | 5 | 0 |
Vision disorders | |||
| Vision abnormal | 4 | 7 | 0 |
6.3 Commonly-Observed Adverse Reactions In Double-Blind, Placebo - Controlled Clinical Trials – Autistic Disorder
Table 6 lists the adverse reactions reported in 5% or more of risperidone-treated pediatric patients treated for irritability associated with autistic disorder in two 8-week, double-blind, placebo-controlled trials.
Table 6. Adverse Reactions in ≥5% of Risperidone-Treated Pediatric Patients Treated for Irritability Associated with Autistic Disorder in Double-Blind, Placebo-Controlled Trials
| Percentage of Patients Reporting Event | |
Body System | Risperidone | Placebo |
| Adverse Reaction | 0.5-4.0 mg per day | (N=80) |
| (N=76) |
|
Body as whole - general disorders | ||
| Fatigue | 42 | 13 |
| Fever | 20 | 19 |
Central and peripheral nervous system disorders | ||
| Dystonia Dystonia includes dystonia, hypertonia, oculogyric crisis, muscle contractions involuntary, tetany, laryngismus, tongue paralysis, and torticollis. Parkinsonism includes extrapyramidal disorder, hypokinesia, and bradycardia. | 12 | 6 |
| Tremor | 12 | 1 |
| Dizziness | 9 | 3 |
| Parkinsonism | 8 | 0 |
| Automatism | 7 | 1 |
| Dyskinesia | 7 | 0 |
Gastrointestinal system disorders | ||
| Vomiting | 25 | 21 |
| Saliva increased | 22 | 6 |
| Constipatio | 21 | 8 |
| Mouth dry | 13 | 6 |
| Nausea | 8 | 8 |
Heart rate and rhythm disorders | ||
| Tachycardia | 7 | 0 |
Metabolic and nutritional disorders | ||
| Weight increase | 5 | 0 |
Psychiatric disorder | ||
| Somnolence | 67 | 23 |
| Appetite increased | 49 | 19 |
| Anxiety | 16 | 15 |
| Anorexia | 8 | 8 |
| Confusion | 5 | 0 |
Respiratory system disorders | ||
| Rhinitis | 36 | 23 |
| Upper respiratory tract infection | 34 | 15 |
| Coughing | 24 | 18 |
Skin and appendages disorders | ||
| Rash | 11 | 8 |
Urinary system disorders | ||
| Urinary incontinence | 22 | 20 |
6.4 Other Adverse Reactions Observed During The Premarketing Evaluation Of Risperidone.
The following adverse reactions occurred in < 1% of the adult patients and in < 5% of the pediatric patients treated with risperidone in the above double-blind, placebo-controlled clinical trial data sets. In addition, the following also includes adverse reactions reported in risperidone-treated patients who participated in other studies, including double-blind, active-controlled and open-label studies in schizophrenia and bipolar mania studies in pediatric patients with psychiatric disorders other than schizophrenia, bipolar mania, or autistic disorder, and studies in elderly patients with dementia.
Body as a Whole, General Disorders: edema peripheral, pain, influenza-like symptoms, leg pain, malaise, allergy, crying abnormal, allergic reaction, rigors, allergy aggravated, anaphylactoid reaction, hypothermia.
Central Nervous System Disorders: gait abnormal, speech disorder, coma, ataxia, dysphonia, stupor, cramps legs, vertigo, hypoesthesia, tardive dyskinesia, neuroleptic malignant syndrome
Endocrine Disorders: hyperprolactinemia, gynecomastia
Gastrointestinal System Disorders: dysphagia, flatulence
Heart Rate and Rhythm Disorders: AV block, bundle branch block
Liver and Biliary Disorders: SGPT increased, hepatic enzymes increased
Metabolic and Nutritional Disorders: thirst, hyperglycemia, xerophthalmia, generalized edema, diabetes mellitus aggravated, diabetic coma
Musculoskeletal Disorders: muscle weakness, rhabdomyolysis
Platelet, Bleeding, and Clotting Disorders: purpura
Psychiatric Disorders: insomnia, agitation, emotional lability, apathy, nervousness, concentration impaired, impotence, decreased libido
Reproductive Disorders, Female: amenorrhea, menstrual disorder, leukorrhea
Reproductive Disorders, Male: ejaculation disorder, abnormal sexual function, priapism
Resistance Mechanism Disorders: otitis media, viral infection
Respiratory Disorders: respiratory disorder
Skin and Appendages Disorders: skin ulceration, skin discoloration, rash erythematous, skin exfoliation, rash maculopapular, erythema multiforme
Urinary Disorders: micturition frequency
Vascular Disorders: cerebrovascular disorder
Vision Disorders: conjunctivitis
White Cell Disorders: leukopenia, granulocytopenia
6.5 Discontinuations Due To Adverse Reactions
Schizophrenia - Adults
Approximately 7% (39/564) of risperidone-treated patients in double-blind, placebo-controlled trials discontinued treatment due to an adverse event, compared with 4% (10/225) who were receiving placebo. The adverse reactions associated with discontinuation in 2 or more risperidone-treated patients were:
Table 7. Adverse Reactions Associated With Discontinuation in 2 or More Risperidone-Treated Adult Patients in Schizophrenia Trials
| Risperidone |
| |
| 2-8 mg/day | >8-16 mg/day | Placebo |
Adverse Reaction | (N=366) | (N=198) | (N=225) |
| Dizziness | 1.4% | 1.0% | 0% |
| Nausea | 1.4% | 0% | 0% |
| Agitation | 1.1% | 1.0% | 0% |
| Parkinsonism | 0.8% | 0% | 0% |
| Somnolence | 0.8% | 0.5% | 0% |
| Dystonia | 0.5% | 0% | 0% |
| Abdominal pain | 0.5% | 0% | 0% |
| Hypotension postural | 0.3% | 0.5% | 0% |
| Tachycardia | 0.3% | 0.5% | 0% |
| Akathisia | 0% | 1.0% | 0% |
Discontinuation for extrapyramidal symptoms (including Parkinsonism, akathisia, dystonia, and tardive dyskinesia) was 1% in placebo-treated patients, and 3.4 % in active control-treated patients in a double-blind, placebo- and active-controlled trial.
Schizophrenia - Pediatrics
Approximately 7% (7/106), of risperidone-treated patients discontinued treatment due to an adverse event in a double-blind, placebo-controlled trial, compared with 4% (2/54) placebo-treated patients. The adverse reactions associated with discontinuation for at least one risperidone-treated patient were somnolence (2%), dizziness (2%), anorexia (1%), anxiety (1%), ataxia (1%), hypotension (1%), and palpitation (1%).
Bipolar Mania - Adults
In double-blind, placebo-controlled trials with risperidone as monotherapy, approximately 6% (25/448) of risperidone-treated patients discontinued treatment due to an adverse event, compared with approximately 5% (19/424) of placebo-treated patients. The adverse reactions associated with discontinuation in risperidone-treated patients were:
Table 8. Adverse Reactions Associated with Discontinuation in 2 or more Risperidone-Treated Adult Patients in Bipolar Mania Clinical Trials
Risperidone |
| |
1-6 mg/day | Placebo | |
Adverse Reaction | (N=448) | (N=424) |
| Parkinsonism | 0.4% | 0% |
| Somnolence | 0.2% | 0% |
| Dizziness | 0.2% | 0% |
| Dystonia | 0.2% | 0% |
| SGOT increased | 0.2% | 0.2% |
| SGPT increased | 0.2% | 0.2% |
Bipolar mania – Pediatrics
In a double-blind, placebo-controlled trial 12% (13/111) of risperidone-treated patients discontinued due to an adverse event, compared with 7% (4/58) of placebo-treated patients. The adverse reactions associated with discontinuation in more than one risperidone-treated pediatric patient were somnolence (5%), nausea (3%), abdominal pain (2%), and vomiting (2%).
Autistic Disorder - Pediatrics
Due to Janssen Pharmaceuticals Corporation’s marketing exclusivity rights, this drug product is not labeled for use in pediatric patients with irritability associated with autistic disorder. Information on discontinuations due to adverse reactions for pediatric patients with irritability associated with autistic disorder, 5 to 16 years of age, is approved for Janssen Pharmaceuticals Corporation’s risperidone drug product.
6.6 Dose Dependency Of Adverse Reactions In Clinical Trials
Extrapyramidal Symptoms
Data from two fixed-dose trials in adults with schizophrenia provided evidence of dose-relatedness for extrapyramidal symptoms associated with risperidone treatment.
Two methods were used to measure extrapyramidal symptoms (EPS) in an 8-week trial comparing 4 fixed doses of risperidone (2, 6, 10, and 16 mg/day), including (1) a Parkinsonism score (mean change from baseline) from the Extrapyramidal Symptom Rating Scale, and (2) incidence of spontaneous complaints of EPS:
Dose Groups | Placebo | Risperidone | Risperidone | Risperidone | Risperidone |
|
| 2 mg | 6 mg | 10 mg | 16 mg |
| Parkinsonism | 1.2 | 0.9 | 1.8 | 2.4 | 2.6 |
| EPS | 11% | 15% | 16% | 20% | 31% |
| Incidence |
Similar methods were used to measure extrapyramidal symptoms (EPS) in an 8-week trial comparing 5 fixed doses of risperidone (1, 4, 8, 12, and 16 mg/day):
Dose Groups | Risperidone | Risperidone | Risperidone | Risperidone | Risperidone |
| 1 mg | 4 mg | 8 mg | 12 mg | 16 mg |
| Parkinsonism | 0.6 | 1.7 | 2.4 | 2.9 | 4.1 |
| EPS | 7% | 11% | 17% | 18% | 20% |
| Incidence |
Other Adverse Reactions
Adverse event data elicited by a checklist for side effects from a large study comparing 5 fixed doses of risperidone (1, 4, 8, 12, and 16 mg/day) were explored for dose-relatedness of adverse events. A Cochran-Armitage Test for trend in these data revealed a positive trend (p<0.05) for the following adverse reactions: somnolence, vision abnormal, dizziness, palpitations, weight increase, erectile dysfunction, ejaculation disorder, sexual function abnormal, fatigue, and skin discoloration.
6.7 Changes In Body Weight
The proportions of risperidone and placebo-treated adult patients with schizophrenia meeting a weight gain criterion of ≥ 7% of body weight were compared in a pool of 6- to 8-week, placebo-controlled trials, revealing a statistically significantly greater incidence of weight gain for risperidone (18%) compared to placebo (9%). In a pool of placebo-controlled 3-week studies in adult patients with acute mania, the incidence of weight increase of ≥ 7% at endpoint was comparable in the risperidone (2.5%) and placebo (2.4%) groups, and was slightly higher in the active-control group (3.5%).
Changes in body weight were also evaluated in pediatric patients [see Use in Specific Populations (8.4)]
6.8 Changes In Ecg
Between-group comparisons for pooled placebo-controlled trials in adults revealed no statistically significant differences between risperidone and placebo in mean changes from baseline in ECG parameters, including QT, QTc, and PR intervals, and heart rate. When all risperidone doses were pooled from randomized controlled trials in several indications, there was a mean increase in heart rate of 1 beat per minute compared to no change for placebo patients. In short-term schizophrenia trials, higher doses of risperidone (8-16 mg/day) were associated with a higher mean increase in heart rate compared to placebo (4-6 beats per minute). In pooled placebo-controlled acute mania trials in adults, there were small decreases is mean heart rate, similar among all treatment groups.
Due to Janssen Pharmaceuticals Corporation’s marketing exclusivity rights, this drug product is not labeled for use in pediatric patients with schizophrenia, bipolar mania or autistic disorder. Information regarding changes in ECG during the treatment of pediatric patients with schizophrenia, 13 to 17 years of age, the treatment of pediatric patients with bipolar mania, 10 to 17 years of age, and the treatment of pediatric patients with irritability associated with autistic disorder, 5 to 16 years of age, is approved for Janssen Pharmaceuticals Corporation’s risperidone drug products.
6.9 Postmarketing Experience
The following adverse reactions have been identified during postapproval use of risperidone; because these reactions are reported voluntarily from a population of uncertain size, it is not possible to reliably estimate their frequency: anaphylactic reaction, angioedema, atrial fibrillation, diabetic ketoacidosis in patients with impaired glucose metabolism, intestinal obstruction, jaundice, mania, QT prolongation, and sleep apnea.
Other adverse events reported since market introduction, which were temporally related to risperidone but not necessarily causally related, include the following: pancreatitis, pituitary adenoma, pulmonary embolism, precocious puberty, cardiopulmonary arrest, and sudden death.
7.1 Centrally-Acting Drugs And Alcohol
Given the primary CNS effects of risperidone, caution should be used when risperidone is taken in combination with other centrally-acting drugs and alcohol.
7.2 Drugs With Hypotensive Effects
Because of its potential for inducing hypotension, risperidone may enhance the hypotensive effects of other therapeutic agents with this potential.
7.3 Levodopa And Dopamine Agonists
Risperidone may antagonize the effects of levodopa and dopamine agonists.
7.4 Amitriptyline
Amitriptyline did not affect the pharmacokinetics of risperidone or risperidone and 9-hydroxyrisperidone combined.
7.5 Cimetidine And Ranitidine
Cimetidine and ranitidine increased the bioavailability of risperidone by 64% and 26%, respectively. However, cimetidine did not affect the AUC of risperidone and 9-hydroxyrisperidone combined, whereas ranitidine increased the AUC of risperidone and 9-hydroxyrisperidone combined by 20%.
7.6 Clozapine
Chronic administration of clozapine with risperidone may decrease the clearance of risperidone.
7.7 Lithium
Repeated oral doses of risperidone (3 mg twice daily) did not affect the exposure (AUC) or peak plasma concentrations (Cmax) of lithium (n=13).
7.8 Valproate
Repeated oral doses of risperidone (4 mg once daily) did not affect the pre-dose or average plasma concentrations and exposure (AUC) of valproate (1000 mg/day in three divided doses) compared to placebo (n=21). However, there was a 20% increase in valproate peak plasma concentration (Cmax) after concomitant administration of risperidone.
7.9 Digoxin
Risperidone (0.25 mg twice daily) did not show a clinically relevant effect on the pharmacokinetics of digoxin.
7.10 Drugs That Inhibit Cyp 2D6 And Other Cyp Isozymes
Risperidone is metabolized to 9-hydroxyrisperidone by CYP 2D6, an enzyme that is polymorphic in the population and that can be inhibited by a variety of psychotropic and other drugs [see Clinical Pharmacology (12.3)]. Drug interactions that reduce the metabolism of risperidone to 9-hydroxyrisperidone would increase the plasma concentrations of risperidone and lower the concentrations of 9-hydroxyrisperidone. Analysis of clinical studies involving a modest number of poor metabolizers (n
70) does not suggest that poor and extensive metabolizers have different rates of adverse effects. No comparison of effectiveness in the two groups has been made.In vitro studies showed that drugs metabolized by other CYP isozymes, including 1A1, 1A2, 2C9, 2C19, and 3A4, are only weak inhibitors of risperidone metabolism.
Fluoxetine and Paroxetine
Fluoxetine (20 mg once daily) and paroxetine (20 mg once daily) have been shown to increase the plasma concentration of risperidone 2.5-2.8 fold and 3-9 fold, respectively. Fluoxetine did not affect the plasma concentration of 9-hydroxyrisperidone. Paroxetine lowered the concentration of 9-hydroxyrisperidone by about 10%. When either concomitant fluoxetine or paroxetine is initiated or discontinued, the physician should re-evaluate the dosing of risperidone. The effects of discontinuation of concomitant fluoxetine or paroxetine therapy on the pharmacokinetics of risperidone and 9-hydroxyrisperidone have not been studied.
Erythromycin
There were no significant interactions between risperidone and erythromycin.
7.11 Carbamazepine And Other Enzyme Inducers
Carbamazepine co-administration decreased the steady-state plasma concentrations of risperidone and 9-hydroxyrisperidone by about 50%. Plasma concentrations of carbamazepine did not appear to be affected. The dose of risperidone may need to be titrated accordingly for patients receiving carbamazepine, particularly during initiation or discontinuation of carbamazepine therapy. Co-administration of other known enzyme inducers (e.g., phenytoin, rifampin, and phenobarbital) with risperidone may cause similar decreases in the combined plasma concentrations of risperidone and 9-hydroxyrisperidone, which could lead to decreased efficacy of risperidone treatment.
7.12 Drugs Metabolized By Cyp 2D6
In vitro studies indicate that risperidone is a relatively weak inhibitor of CYP 2D6. Therefore, risperidone is not expected to substantially inhibit the clearance of drugs that are metabolized by this enzymatic pathway. In drug interaction studies, risperidone did not significantly affect the pharmacokinetics of donepezil and galantamine, which are metabolized by CYP 2D6.
8.1 Pregnancy
Pregnancy Category C.
The teratogenic potential of risperidone was studied in three Segment II studies in Sprague-Dawley and Wistar rats (0.63-10 mg/kg or 0.4 to 6 times the maximum recommended human dose [MRHD] on a mg/m2 basis) and in one Segment II study in New Zealand rabbits (0.31-5 mg/kg or 0.4 to 6 times the MRHD on a mg/m2 basis). The incidence of malformations was not increased compared to control in offspring of rats or rabbits given 0.4 to 6 times the MRHD on a mg/m2 basis. In three reproductive studies in rats (two Segment III and a multigenerational study), there was an increase in pup deaths during the first 4 days of lactation at doses of 0.16-5 mg/kg or 0.1 to 3 times the MRHD on a mg/m2 basis. It is not known whether these deaths were due to a direct effect on the fetuses or pups or to effects on the dams.
There was no no-effect dose for increased rat pup mortality. In one Segment III study, there was an increase in stillborn rat pups at a dose of 2.5 mg/kg or 1.5 times the MRHD on a mg/m2 basis. In a cross-fostering study in Wistar rats, toxic effects on the fetus or pups, as evidenced by a decrease in the number of live pups and an increase in the number of dead pups at birth (Day 0), and a decrease in birth weight in pups of drug-treated dams were observed. In addition, there was an increase in deaths by Day 1 among pups of drug-treated dams, regardless of whether or not the pups were cross-fostered. Risperidone also appeared to impair maternal behavior in that pup body weight gain and survival (from Day 1 to 4 of lactation) were reduced in pups born to control but reared by drug-treated dams. These effects were all noted at the one dose of risperidone tested, i.e., 5 mg/kg or 3 times the MRHD on a mg/m2 basis.
Placental transfer of risperidone occurs in rat pups. There are no adequate and well-controlled studies in pregnant women. However, there was one report of a case of agenesis of the corpus callosum in an infant exposed to risperidone in utero. The causal relationship to risperidone therapy is unknown. Reversible extrapyramidal symptoms in the neonate were observed following postmarketing use of risperidone during the last trimester of pregnancy.
Risperidone should be used during pregnancy only if the potential benefit justifies the potential risk to the fetus.
8.2 Labor And Delivery
The effect of risperidone on labor and delivery in humans is unknown.
8.3 Nursing Mothers
In animal studies, risperidone and 9-hydroxyrisperidone are excreted in milk. Risperidone and 9-hydroxyrisperidone are also excreted in human breast milk. Therefore, women receiving risperidone should not breast-feed.
8.4 Pediatric Use
Safety and effectiveness of risperidone in children less than 13 years of age with schizophrenia have not been established.
Safety and effectiveness of risperidone in children less than 10 years of age with bipolar disorder have not been established.
The safety and effectiveness of risperidone in pediatric patients less than 5 years of age with autistic disorder have not been established.
Due to Janssen Pharmaceuticals Corporation’s marketing exclusivity rights, this drug product is not labeled for use in pediatric patients with schizophrenia, bipolar mania or irritability associated with autistic disorder. Information on clinical trials and risperidone use for pediatric patients with schizophrenia, 13 to 17 years of age, bipolar mania, 10 to 17 years of age, and irritability associated with autistic disorder, 5 to 16 years of age, is approved for Janssen Pharmaceuticals Corporation’s risperidone drug products.
Tardive Dyskinesia
In clinical trials in 1885 children and adolescents treated with risperidone, 2 (0.1%) patients were reported to have tardive dyskinesia, which resolved on discontinuation of risperidone treatment [see also Warnings and Precautions (5.4)].
Weight Gain
In a long-term, open-label extension study in adolescent patients with schizophrenia, weight increase was reported as a treatment-emergent adverse event in 14% of patients. In 103 adolescent patients with schizophrenia, a mean increase of 9.0 kg was observed after 8 months of risperidone treatment. The majority of that increase was observed within the first 6 months. The average percentiles at baseline and 8 months, respectively, were 56 and 72 for weight, 55 and 58 for height, and 51 and 71 for body mass index.
In long-term, open-label trials (studies in patients with autistic disorder or other psychiatric disorders), a mean increase of 7.5 kg after 12 months of risperidone treatment was observed, which was higher than the expected normal weight gain (approximately 3 to 3.5 kg per year adjusted for age, based on Centers for Disease Control and Prevention normative data). The majority of that increase occurred within the first 6 months of exposure to risperidone. The average percentiles at baseline and 12 months, respectively, were 49 and 60 for weight, 48 and 53 for height, and 50 and 62 for body mass index.
In one 3-week, placebo-controlled trial in children and adolescent patients with acute manic or mixed episodes of bipolar I disorder, increases in body weight were higher in the risperidone groups than the placebo group, but not dose related (1.90 kg in the risperidone 0.5-2.5 mg group, 1.44 kg in the risperidone 3-6 mg group, and 0.65 kg in the placebo group). A similar trend was observed in the mean change from baseline in body mass index.
When treating pediatric patients with risperidone for any indication, weight gain should be assessed against that expected with normal growth. [See also Adverse Reactions (6.7)]
Somnolence
Somnolence was frequently observed in placebo-controlled clinical trials of pediatric patients with autistic disorder. Most cases were mild or moderate in severity. These events were most often of early onset with peak incidence occurring during the first two weeks of treatment, and transient with a median duration of 16 days. Somnolence was the most commonly observed adverse event in the clinical trial of bipolar disorder in children and adolescents, as well as in the schizophrenia trials in adolescents. As was seen in the autistic disorder trials, these events were most often of early onset and transient in duration. [See also Adverse Reactions (6.1, 6.2, 6.3)] Patients experiencing persistent somnolence may benefit from a change in dosing regimen [see Dosage and Administration (2.1, 2.2, 2.3)].
Hyperprolactinemia, Growth, and Sexual Maturation
Risperidone has been shown to elevate prolactin levels in children and adolescents as well as in adults [see Warnings and Precautions (5.6)]. In double-blind, placebo-controlled studies of up to 8 weeks duration in children and adolescents (aged 5 to 17 years) with autistic disorder or psychiatric disorders other than autistic disorder, schizophrenia, or bipolar mania, 49% of patients who received risperidone had elevated prolactin levels compared to 2% of patients who received placebo. Similarly, in placebo-controlled trials in children and adolescents (aged 10 to 17 years) with bipolar disorder, or adolescents (aged 13 to 17 years) with schizophrenia, 82–87% of patients who received risperidone had elevated levels of prolactin compared to 3-7% of patients on placebo. Increases were dose-dependent and generally greater in females than in males across indications.
In clinical trials in 1885 children and adolescents, galactorrhea was reported in 0.8% of risperidone -treated patients and gynecomastia was reported in 2.3% of risperidone -treated patients.
The long-term effects of risperidone on growth and sexual maturation have not been fully evaluated.
8.5 Geriatric Use
Clinical studies of risperidone in the treatment of schizophrenia did not include sufficient numbers of patients aged 65 and over to determine whether or not they respond differently than younger patients. Other reported clinical experience has not identified differences in responses between elderly and younger patients. In general, a lower starting dose is recommended for an elderly patient, reflecting a decreased pharmacokinetic clearance in the elderly, as well as a greater frequency of decreased hepatic, renal, or cardiac function, and of concomitant disease or other drug therapy [see Clinical Pharmacology (12.3) and Dosage and Administration (2.4, 2.5)]. While elderly patients exhibit a greater tendency to orthostatic hypotension, its risk in the elderly may be minimized by limiting the initial dose to 0.5 mg twice daily followed by careful titration [see Warnings and Precautions (5.7)]. Monitoring of orthostatic vital signs should be considered in patients for whom this is of concern.
This drug is substantially excreted by the kidneys, and the risk of toxic reactions to this drug may be greater in patients with impaired renal function. Because elderly patients are more likely to have decreased renal function, care should be taken in dose selection, and it may be useful to monitor renal function [see Dosage and Administration (2.4)].
Concomitant use with Furosemide in Elderly Patients with Dementia-Related Psychosis
In two of four placebo-controlled trials in elderly patients with dementia-related psychosis, a higher incidence of mortality was observed in patients treated with furosemide plus risperidone when compared to patients treated with risperidone alone or with placebo plus furosemide. No pathological mechanism has been identified to explain this finding, and no consistent pattern for cause of death was observed. An increase of mortality in elderly patients with dementia-related psychosis was seen with the use of risperidone regardless of concomitant use with furosemide. Risperidone is not approved for the treatment of patients with dementia-related psychosis. [See Boxed Warning and Warnings and Precautions (5.1)]
9.1 Controlled Substance
Risperidone is not a controlled substance.
9.2 Abuse
Risperidone has not been systematically studied in animals or humans for its potential for abuse. While the clinical trials did not reveal any tendency for any drug-seeking behavior, these observations were not systematic and it is not possible to predict on the basis of this limited experience the extent to which a CNS-active drug will be misused, diverted, and/or abused once marketed. Consequently, patients should be evaluated carefully for a history of drug abuse, and such patients should be observed closely for signs of risperidone misuse or abuse (e.g., development of tolerance, increases in dose, drug-seeking behavior).
9.3 Dependence
Risperidone has not been systematically studied in animals or humans for its potential for tolerance or physical dependence.
10.1 Human Experience
Premarketing experience included eight reports of acute risperidone overdosage with estimated doses ranging from 20 to 300 mg and no fatalities. In general, reported signs and symptoms were those resulting from an exaggeration of the drug's known pharmacological effects, i.e., drowsiness and sedation, tachycardia and hypotension, and extrapyramidal symptoms. One case, involving an estimated overdose of 240 mg, was associated with hyponatremia, hypokalemia, prolonged QT, and widened QRS. Another case, involving an estimated overdose of 36 mg, was associated with a seizure.
Postmarketing experience includes reports of acute risperidone overdosage, with estimated doses of up to 360 mg. In general, the most frequently reported signs and symptoms are those resulting from an exaggeration of the drug's known pharmacological effects, i.e., drowsiness, sedation, tachycardia, hypotension, and extrapyramidal symptoms. Other adverse reactions reported since market introduction related to risperidone overdose include prolonged QT interval and convulsions. Torsade de pointes has been reported in association with combined overdose of risperidone and paroxetine.
10.2 Management Of Overdosage
In case of acute overdosage, establish and maintain an airway and ensure adequate oxygenation and ventilation. Gastric lavage (after intubation, if patient is unconscious) and administration of activated charcoal together with a laxative should be considered.
The possibility of obtundation, seizures, or dystonic reaction of the head and neck following overdose may create a risk of aspiration with induced emesis. Cardiovascular monitoring should commence immediately and should include continuous electrocardiographic monitoring to detect possible arrhythmias. If antiarrhythmic therapy is administered, disopyramide, procainamide, and quinidine carry a theoretical hazard of QT-prolonging effects that might be additive to those of risperidone. Similarly, it is reasonable to expect that the alpha-blocking properties of bretylium might be additive to those of risperidone, resulting in problematic hypotension.
There is no specific antidote to risperidone. Therefore, appropriate supportive measures should be instituted. The possibility of multiple drug involvement should be considered. Hypotension and circulatory collapse should be treated with appropriate measures, such as intravenous fluids and/or sympathomimetic agents (epinephrine and dopamine should not be used, since beta stimulation may worsen hypotension in the setting of risperidone-induced alpha blockade). In cases of severe extrapyramidal symptoms, anticholinergic medication should be administered. Close medical supervision and monitoring should continue until the patient recovers.
11 Description
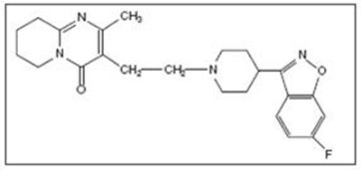
Risperidone tablets, USP, contain risperidone, USP, a psychotropic agent belonging to the chemical class of benzisoxazole derivatives. The chemical designation is 3-[2-[4-(6-fluoro-1,2-benzisoxazol-3-yl)-1-piperidinyl]ethyl]-6,7,8,9-tetrahydro-2-methyl-4H-pyrido [1,2-a]pyrimidin-4-one. Its molecular formula is C23H27FN4O2 and its molecular weight is 410.49. The structural formula is
Risperidone, USP is a white to slightly beige powder. It is practically insoluble in water, freely soluble in methylene chloride, and soluble in methanol and 0.1 N HCl.
Risperidone tablets, USP are available in 0.25 mg (yellow), 0.5 mg (red), 1 mg (white to off white), 2 mg (Light orange), 3 mg (yellow), and 4 mg (yellow) strengths. Risperidone tablets, USP contain the following inactive ingredients: anhydrous lactose, colloidal silicon dioxide, hypromellose, magnesium stearate, microcrystalline cellulose, polyethylene glycol 400, pregelatinised starch, sodium starch glycolate, talc, titanium dioxide and additional colorants listed below:
0.25, 3 and 4 mg tablets: Ferric oxide yellow
0.5 mg tablets: Ferric oxide red
2 mg tablets: FD&C yellow # 6 Orange yellow S (E 110)
4 mg tablets: FD&C Blue # 2 Lake of indigo carmine
12.1 Mechanism Of Action
The mechanism of action of risperidone, as with other drugs used to treat schizophrenia, is unknown. However, it has been proposed that the drug's therapeutic activity in schizophrenia is mediated through a combination of dopamine Type 2 (D2) and serotonin Type 2 (5HT2) receptor antagonism.
Risperidone is a selective monoaminergic antagonist with high affinity (Ki of 0.12 to 7.3 nM) for the serotonin Type 2 (5HT2), dopamine Type 2 (D2), α1 and α2 adrenergic, and H1 histaminergic receptors. Risperidone acts as an antagonist at other receptors, but with lower potency. Risperidone has low to moderate affinity (Ki of 47 to 253 nM) for the serotonin 5HT1C, 5HT1D, and 5HT1A receptors, weak affinity (Ki of 620 to 800 nM) for the dopamine D1 and haloperidol-sensitive sigma site, and no affinity (when tested at concentrations >10-5 M) for cholinergic muscarinic or β1 and β2 adrenergic receptors.
12.2 Pharmacodynamics
The clinical effect from risperidone results from the combined concentrations of risperidone and its major metabolite, 9-hydroxyrisperidone [see Clinical Pharmacology (12.3)]. Antagonism at receptors other than D2 and 5HT2[see Clinical Pharmacology (12.1)] may explain some of the other effects of risperidone.
12.3 Pharmacokinetics
Absorption
Risperidone is well absorbed. The absolute oral bioavailability of risperidone is 70% (CV=25%). The relative oral bioavailability of risperidone from a tablet is 94% (CV=10%) when compared to a solution.
Pharmacokinetic studies showed that Risperidone Orally Disintegrating Tablets and Risperidone Oral Solution are bioequivalent to Risperidone Tablets.
Plasma concentrations of risperidone, its major metabolite, 9-hydroxyrisperidone, and risperidone plus 9-hydroxyrisperidone are dose proportional over the dosing range of 1 to 16 mg daily (0.5 to 8 mg twice daily). Following oral administration of solution or tablet, mean peak plasma concentrations of risperidone occurred at about 1 hour. Peak concentrations of 9-hydroxyrisperidone occurred at about 3 hours in extensive metabolizers, and 17 hours in poor metabolizers. Steady-state concentrations of risperidone are reached in 1 day in extensive metabolizers and would be expected to reach steady-state in about 5 days in poor metabolizers. Steady-state concentrations of 9-hydroxyrisperidone are reached in 5-6 days (measured inextensive metabolizers).
Food Effect
Food does not affect either the rate or extent of absorption of risperidone. Thus, risperidone can be given with or without meals.
Distribution
Risperidone is rapidly distributed. The volume of distribution is 1-2 L/kg. In plasma, risperidone is bound to albumin and α1-acid glycoprotein. The plasma protein binding of risperidone is 90%, and that of its major metabolite, 9-hydroxyrisperidone, is 77%. Neither risperidone nor 9-hydroxyrisperidone displaces each other from plasma binding sites. High therapeutic concentrations of sulfamethazine (100 mcg/mL), warfarin (10 mcg/mL), and carbamazepine (10mcg/mL) caused only a slight increase in the free fraction of risperidone at 10 ng/mL and 9-hydroxyrisperidone at 50 ng/mL, changes of unknown clinical significance.
Metabolism and Drug Interactions
Risperidone is extensively metabolized in the liver. The main metabolic pathway is through hydroxylation of risperidone to 9-hydroxyrisperidone by the enzyme, CYP 2D6. A minor metabolic pathway is through N-dealkylation. The main metabolite, 9-hydroxyrisperidone, has similar pharmacological activity as risperidone. Consequently, the clinical effect of the drug results from the combined concentrations of risperidone plus 9-hydroxyrisperidone.
CYP 2D6, also called debrisoquin hydroxylase, is the enzyme responsible for metabolism of many neuroleptics, antidepressants, antiarrhythmics, and other drugs. CYP 2D6 is subject to genetic polymorphism (about 6%-8% of Caucasians, and a very low percentage of Asians, have little or no activity and are "poor metabolizers") and to inhibition by a variety of substrates and some non-substrates, notably quinidine. Extensive CYP 2D6 metabolizers convert risperidone rapidly into 9-hydroxyrisperidone, whereas poor CYP 2D6 metabolizers convert it much more slowly. Although extensive metabolizers have lower risperidone and higher 9-hydroxyrisperidone concentrations than poor metabolizers, the pharmacokinetics of risperidone and 9-hydroxyrisperidone combined, after single and multiple doses, are similar in extensive and poor metabolizers.
Risperidone could be subject to two kinds of drug-drug interactions. First, inhibitors of CYP 2D6 interfere with conversion of risperidone to 9-hydroxyrisperidone [see Drug Interactions (7.12)]. This occurs with quinidine, giving essentially all recipients a risperidone pharmacokinetic profile typical of poor metabolizers. The therapeutic benefits and adverse effects of risperidone in patients receiving quinidine have not been evaluated, but observations in a modest number (n
70) of poor metabolizers given risperidone do not suggest important differences between poor and extensive metabolizers. Second, co-administration of known enzyme inducers (e.g., carbamazepine, phenytoin, rifampin, and phenobarbital) with risperidone may cause a decrease in the combined plasma concentrations of risperidone and 9-hydroxyrisperidone [see Drug Interactions (7.11)]. It would also be possible for risperidone to interfere with metabolism of other drugs metabolized by CYP 2D6. Relatively weak binding of risperidone to the enzyme suggests this is unlikely [see Drug Interactions (7.12)].Excretion
Risperidone and its metabolites are eliminated via the urine and, to a much lesser extent, via the feces. As illustrated by a mass balance study of a single 1 mg oral dose of 14C-risperidone administered as solution to three healthy male volunteers, total recovery of radioactivity at 1 week was 84%, including 70% in the urine and 14% in the feces.
The apparent half-life of risperidone was 3 hours (CV=30%) in extensive metabolizers and 20 hours (CV=40%) in poor metabolizers. The apparent half-life of 9-hydroxyrisperidone was about 21 hours (CV=20%) in extensive metabolizers and 30 hours (CV=25%) in poor metabolizers. The pharmacokinetics of risperidone and 9-hydroxyrisperidone combined, after single and multiple doses were similar in extensive and poor metabolizers, with an overall mean elimination half-life of about 20 hours.
Renal Impairment
In patients with moderate to severe renal disease, clearance of the sum of risperidone and its active metabolite decreased by 60% compared to young healthy subjects. Risperidone doses should be reduced in patients with renal disease [see Dosage and Administration (2.4) and Warnings and Precautions (5.15)].
Hepatic Impairment
While the pharmacokinetics of risperidone in subjects with liver disease were comparable to those in young healthy subjects, the mean free fraction of risperidone in plasma was increased by about 35% because of the diminished concentration of both albumin and α1-acid glycoprotein. Risperidone doses should be reduced in patients with liver disease [see Dosage and Administration (2.4) and Warnings and Precautions (5.15)].
Elderly
In healthy elderly subjects, renal clearance of both risperidone and 9-hydroxyrisperidone was decreased, and elimination half-lives were prolonged compared to young healthy subjects. Dosing should be modified accordingly in the elderly patients [see Dosage and Administration (2.4)].
Pediatric
Due to Janssen Pharmaceuticals Corporation’s marketing exclusivity rights, this drug product is not labeled for use in pediatric patients with schizophrenia, bipolar mania or irritability associated with autistic disorder. Pharmacokinetic information for pediatric patients with schizophrenia, 13 to 17 years of age, bipolar mania, 10 to 17 years old, and irritability associated with autistic disorder, 5 to 16 years of age, is approved for Janssen Pharmaceuticals Corporation’s risperidone drug products.
Race and Gender Effects
No specific pharmacokinetic study was conducted to investigate race and gender effects, but population pharmacokinetic analysis did not identify important differences in the disposition of risperidone due to gender (whether corrected for body weight or not) or race.
13.1 Carcinogenesis, Mutagenesis, Impairment Of Fertility
Carcinogenesis
Carcinogenicity studies were conducted in Swiss albino mice and Wistar rats. Risperidone was administered in the diet at doses of 0.63 mg/kg, 2.5 mg/kg, and 10 mg/kg for 18 months to mice and for 25 months to rats. These doses are equivalent to 2.4, 9.4, and 37.5 times the maximum recommended human dose (MRHD) for schizophrenia (16 mg/day) on a mg/kg basis or 0.2, 0.75, and 3 times the MRHD (mice) or 0.4, 1.5, and 6 times the MRHD (rats) on a mg/m2 basis. A maximum tolerated dose was not achieved in male mice. There were statistically significant increases in pituitary gland adenomas, endocrine pancreas adenomas, and mammary gland adenocarcinomas. The following table summarizes the multiples of the human dose on a mg/m2 (mg/kg) basis at which these tumors occurred.
Multiples of Maximum | ||||
Human Dose in mg/m2 (mg/kg) | ||||
Lowest | Highest No- | |||
Tumor type | Species | Sex | Effect Level | Effect Level |
| Pituitary adenomas | mouse | female | 0.75 (9.4) | 0.2 (2.4) |
| Endocrine pancreas adenomas | rat | male | 1.5 (9.4) | 0.4 (2.4) |
| Mammary gland adenocarcinomas | mouse | female | 0.2 (2.4) | none |
| rat | female | 0.4 (2.4) | none | |
| rat | male | 6.0 (37.5) | 1.5 (9.4) | |
| Mammary gland neoplasm, Total | rat | male | 1.5 (9.4) | 0.4 (2.4) |
Antipsychotic drugs have been shown to chronically elevate prolactin levels in rodents. Serum prolactin levels were not measured during the risperidone carcinogenicity studies; however, measurements during sub chronic toxicity studies showed that risperidone elevated serum prolactin levels 5-6 fold in mice and rats at the same doses used in the carcinogenicity studies. An increase in mammary, pituitary, and endocrine pancreas neoplasms has been found in rodents after chronic administration of other antipsychotic drugs and is considered to be prolactin-mediated. The relevance for human risk of the findings of prolactin-mediated endocrine tumors in rodents is unknown [see Warnings and Precautions (5.6)].
Mutagenesis
No evidence of mutagenic potential for risperidone was found in the Ames reverse mutation test, mouse lymphoma assay, in vitro rat hepatocyte DNA-repair assay, in vivo micronucleus test in mice, the sex-linked recessive lethal test in Drosophila, or the chromosomal aberration test in human lymphocytes or Chinese hamster cells.
Impairment of Fertility
Risperidone (0.16 to 5 mg/kg) was shown to impair mating, but not fertility, in Wistar rats in three reproductive studies (two Segments I and a multigenerational study) at doses 0.1 to 3 times the maximum recommended human dose (MRHD) on a mg/m2 basis. The effect appeared to be in females, since impaired mating behavior was not noted in the Segment I study in which males only were treated. In a sub chronic study in Beagle dogs in which risperidone was administered at doses of 0.31 to 5 mg/kg, sperm motility and concentration were decreased at doses 0.6 to10 times the MRHD on a mg/m2 basis. Dose-related decreases were also noted in serum testosterone at the same doses. Serum testosterone and sperm parameters partially recovered, but remained decreased after treatment was discontinued. No no-effect doses were noted in either rat or dog.
14.1 Schizophrenia
Adults
Short-Term Efficacy
The efficacy of risperidone in the treatment of schizophrenia was established in four short-term (4- to 8-week) controlled trials of psychotic inpatients who met DSM-III-R criteria for schizophrenia.
Several instruments were used for assessing psychiatric signs and symptoms in these studies, among them the Brief Psychiatric Rating Scale (BPRS), a multi-item inventory of general psychopathology traditionally used to evaluate the effects of drug treatment in schizophrenia. The BPRS psychosis cluster (conceptual disorganization, hallucinatory behavior, suspiciousness, and unusual thought content) is considered a particularly useful subset for assessing actively psychotic schizophrenic patients. A second traditional assessment, the Clinical Global Impression (CGI), reflects the impression of a skilled observer, fully familiar with the manifestations of schizophrenia, about the overall clinical state of the patient. In addition, the Positive and Negative Syndrome Scale (PANSS) and the Scale for Assessing Negative Symptoms (SANS) were employed.
The results of the trials follow:
- In a 6-week, placebo-controlled trial (n=160) involving titration of risperidone in doses up to 10 mg/day (twice-daily schedule), risperidone was generally superior to placebo on the BPRS total score, on the BPRS psychosis cluster, and marginally superior to placebo on the SANS.
- In an 8-week, placebo-controlled trial (n=513) involving 4 fixed doses of risperidone (2 mg/day, 6 mg/day, 10 mg/day, and 16 mg/day, on a twice-daily schedule), all 4 risperidone groups were generally superior to placebo on the BPRS total score, BPRS psychosis cluster, and CGI severity score; the 3 highest risperidone dose groups were generally superior to placebo on the PANSS negative subscale. The most consistently positive responses on all measures were seen for the 6 mg dose group, and there was no suggestion of increased benefit from larger doses.
- In an 8-week, dose comparison trial (n=1356) involving 5 fixed doses of risperidone (1 mg/day, 4 mg/day, 8 mg/day, 12 mg/day, and 16 mg/day, on a twice-daily schedule), the four highest risperidone dose groups were generally superior to the 1 mg risperidone dose group on BPRS total score, BPRS psychosis cluster, and CGI severity score. None of the dose groups were superior to the 1 mg group on the PANSS negative subscale. The most consistently positive responses were seen for the 4 mg dose group.
- In a 4-week, placebo-controlled dose comparison trial (n=246) involving 2 fixed doses of risperidone (4 and 8 mg/day on a once-daily schedule), both risperidone dose groups were generally superior to placebo on several PANSS measures, including a response measure (>20% reduction in PANSS total score), PANSS total score, and the BPRS psychosis cluster (derived from PANSS). The results were generally stronger for the 8 mg than for the 4 mg dose group.
Long-Term Efficacy
In a longer-term trial, 365 adult outpatients’s predominantly meeting DSM-IV criteria for schizophrenia and who had been clinically stable for at least 4 weeks on an antipsychotic medication were randomized to risperidone (2-8 mg/day) or to an active comparator, for 1 to 2 years of observation for relapse. Patients receiving risperidone experienced a significantly longer time to relapse over this time period compared to those receiving the active comparator.
Pediatrics
Due to Janssen Pharmaceuticals Corporation’s marketing exclusivity rights, this drug product is not labeled for use in pediatric patients with schizophrenia. Clinical trial information for pediatric patients with schizophrenia, 13 to 17 years of age, is approved for Janssen Pharmaceuticals Corporation’s risperidone drug products.
14.2 Bipolar Mania - Monotherapy
Adults
The efficacy of risperidone in the treatment of acute manic or mixed episodes was established in two short-term (3-week) placebo-controlled trials in patients who met the DSM-IV criteria for Bipolar I Disorder with manic or mixed episodes. These trials included patients with or without psychotic features.
The primary rating instrument used for assessing manic symptoms in these trials was the Young Mania Rating Scale (YMRS), an 11-item clinician-rated scale traditionally used to assess the degree of manic symptomatology (irritability, disruptive/aggressive behavior, sleep, elevated mood, speech, increased activity, sexual interest, language/thought disorder, thought content, appearance, and insight) in a range from 0 (no manic features) to 60 (maximum score). The primary outcome in these trials was change from baseline in the YMRS total score. The results of the trials follow:
- In one 3-week placebo-controlled trial (n=246), limited to patients with manic episodes, which involved a dose range of risperidone 1-6 mg/day, once daily, starting at 3 mg/day (mean modal dose was 4.1 mg/day), risperidone was superior to placebo in the reduction of YMRS total score.
- In another 3-week placebo-controlled trial (n=286), which involved a dose range of 1-6 mg/day, once daily, starting at 3 mg/day (mean modal dose was 5.6 mg/day), risperidone was superior to placebo in the reduction of YMRS total score.
Pediatrics
Due to Janssen Pharmaceuticals Corporation’s marketing exclusivity rights, this drug product is not labeled for use in pediatric patients with bipolar mania. Clinical trial information for pediatric patients with bipolar mania, 10 to 17 years of age, is approved for Janssen Pharmaceuticals Corporation’s risperidone drug products.
14.3 Bipolar Mania – Combination Therapy
The efficacy of risperidone with concomitant lithium or valproate in the treatment of acute manic or mixed episodes was established in one controlled trial in adult patients who met the DSM-IV criteria for Bipolar I Disorder. This trial included patients with or without psychotic features and with or without a rapid-cycling course.
- In this 3-week placebo-controlled combination trial, 148 in- or outpatients on lithium or valproate therapy with inadequately controlled manic or mixed symptoms were randomized to receive risperidone, placebo, or an active comparator, in combination with their original therapy. Risperidone, in a dose range of 1-6 mg/day, once daily, starting at 2 mg/day (mean modal dose of 3.8 mg/day), combined with lithium or valproate (in a therapeutic range of 0.6 mEq/L to 1.4 mEq/L or 50 mcg/mL to 120 mcg/mL, respectively) was superior to lithium or valproate alone in the reduction of YMRS total score.
- In a second 3-week placebo-controlled combination trial, 142 in- or outpatients on lithium, valproate, or carbamazepine therapy with inadequately controlled manic or mixed symptoms were randomized to receive risperidone or placebo, in combination with their original therapy. Risperidone, in a dose range of 1-6 mg/day, once daily, starting at 2 mg/day (mean modal dose of 3.7 mg/day), combined with lithium, valproate, or carbamazepine (in therapeutic ranges of 0.6 mEq/L to 1.4 mEq/L for lithium, 50 mcg/mL to 125 mcg/mL for valproate, or 4-12 mcg/mL for carbamazepine, respectively) was not superior to lithium, valproate, or carbamazepine alone in the reduction of YMRS total score. A possible explanation for the failure of this trial was induction of risperidone and 9-hydroxyrisperidone clearance by carbamazepine, leading to subtherapeutic levels of risperidone and 9-hydroxyrisperidone.
14.4 Irritability Associated With Autistic Disorder
Due to Janssen Pharmaceuticals Corporation’s marketing exclusivity rights, this drug product is not labeled for use in pediatric patients with irritability associated with autistic disorder. Clinical trial information for pediatric patients with irritability associated with autistic disorder, 5 to 16 years of age, is approved for Janssen Pharmaceuticals Corporation’s risperidone drug products.
16 How Supplied/Storage And Handling
Risperidone Tablets, USP 0.25 mg are yellow, oblong shaped, biconvex film coated tablets debossed with ‘0.25’ on one side and ‘1035’ on other side.
Risperidone Tablets, USP 0.5 mg are red, oblong shaped, biconvex film coated tablets debossed with ‘R 0.50’ on one side and ‘1036’ on other side.
Risperidone Tablets, USP 1 mg are white to off white, oblong shaped, biconvex film coated tablets debossed with ‘R 1’ on one side and ‘1037’ on other side.
Risperidone Tablets, USP 2 mg are light orange, oblong shaped, biconvex film coated tablets debossed with ‘R 2’ on one side and ‘1038’ on other side.
Risperidone Tablets, USP 3 mg are yellow, oblong shaped, biconvex film coated tablets debossed with ‘R 3’ on one side and ‘1039’ on other side.
Risperidone Tablets, USP 4 mg are yellow, oblong shaped, biconvex film coated tablets debossed with ‘R 4’ on one side and ‘1040’ on other side.
16.1 Storage And Handling
Store at 20°- 25°C (68° - 77°F); excursions permitted to 15° - 30°C (59° - 86°F). [See USP Controlled Room Temperature]. PROTECT FROM MOISTURE. Keep out of reach of children. Dispense in a tight, light-resistant container.
Manufactured by:
TORRENT PHARMACEUTICALS LTD., Indrad-382 721, Dist. Mehsana, INDIA.
For:
TORRENT PHARMA INC., 5380 Holiday Terrace, Suite 40, Kalamazoo, Michigan 49009.
This Product was Repackaged By:
Rebel Distributors Corp
Thousand Oaks, CA 91320
17 Patient Counseling Information
Physicians are advised to discuss the following issues with patients for whom they prescribe risperidone:
17.1 Orthostatic Hypotension
Patients should be advised of the risk of orthostatic hypotension, especially during the period of initial dose titration [see Warnings and Precautions (5.7)].
17.2 Interference With Cognitive And Motor Performance
Since risperidone has the potential to impair judgment, thinking, or motor skills, patients should be cautioned about operating hazardous machinery, including automobiles, until they are reasonably certain that risperidone therapy does not affect them adversely [see Warnings and Precautions (5.9)].
17.3 Pregnancy
Patients should be advised to notify their physician if they become pregnant or intend to become pregnant during therapy [see Use in Specific Populations (8.1)].
17.4 Nursing
Patients should be advised not to breast-feed an infant if they are taking risperidone [see Use in Specific Populations (8.3)].
17.5 Concomitant Medication
Patients should be advised to inform their physicians if they are taking, or plan to take, any prescription or over-the-counter drugs, since there is a potential for interactions [see Drug Interactions (7)].
17.6 Alcohol
Patients should be advised to avoid alcohol while taking risperidone [see Drug Interactions (7.1)].
Principal Display Panel
* Please review the disclaimer below.




