FDA Label for Bacitracin Zinc And Polymyxin B Sulfate
View Indications, Usage & Precautions
Bacitracin Zinc And Polymyxin B Sulfate Product Label
The following document was submitted to the FDA by the labeler of this product Rebel Distributors Corp.. The document includes published materials associated whith this product with the essential scientific information about this product as well as other prescribing information. Product labels may durg indications and usage, generic names, contraindications, active ingredients, strength dosage, routes of administration, appearance, warnings, inactive ingredients, etc.
Other
Rx only
Manufactured By: Akorn, Inc.
Lake Forest, IL 60045
Repackaged by:
Rebel Distributors Corp.
Thousand Oaks, CA 91320
Description
Bacitracin Zinc and Polymyxin B Sulfate Ophthalmic Ointment is a sterile antimicrobial ointment for ophthalmic use.
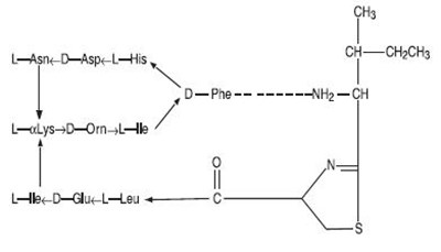
Bacitracin zinc is the zinc salt of bacitracin, a mixture of related cyclic polypeptides (mainly bacitracin A) produced by the growth of an organism of the licheniformis group of Bacillus subtilis var Tracy. It has a potency of not less than 40 bacitracin units per mg. The structural formula for bacitracin A is:
Polymyxin B Sulfate is the sulfate salt of polymyxin B1 and B2 which are produced by the growth of Bacillus polymyxa (Prazmowski) Migula (Fam. Bacillaceae). It has a potency of not less than 6,000 polymyxin B units per mg, calculated on an anhydrous basis. The structural formulae are:
Each gram contains: Bacitracin zinc equal to 500 bacitracin units and polymyxin B sulfate equal to 10,000 polymyxin B units, white petrolatum and mineral oil.
Clinical Pharmacology
Polymyxin B attacks gram-negative bacilli, including virtually all strains of Pseudomonas aeruginosa and H influenzae species.
Bacitracin is active against most gram-positive bacilli and cocci including hemolytic streptococci.
Indications And Usage
For the treatment of superficial ocular infections involving the conjunctiva and/or cornea caused by organisms susceptible to bacitracin zinc and polymyxin B sulfate.
Contraindications
This product is contraindicated in those individuals who have shown hypersensitivity to any of its components.
Warnings
Ophthalmic ointments may retard corneal healing.
Precautions
As with other antibiotic preparations, prolonged use may result in overgrowth of nonsusceptible organisms, including fungi. Appropriate measures should be taken if this occurs.
Dosage And Administration
Apply the ointment every 3 or 4 hours for 7 to 10 days, depending on the severity of the infection.
How Supplied
Bacitracin Zinc and Polymyxin B Sulfate ophthalmic ointment USP, sterile, each gram contains bacitracin zinc equal to 500 bacitracin units and polymyxin B sulfate equal to 10,000 polymyxin B units, in a tube of 3.5 g (1/8 oz) with ophthalmic tip.
NDC 21695-156-35
Storage
Store at 20° to 25°C (68° to 77°F) [see USP Controlled Room Temperature].
Principal Display Panel
* Please review the disclaimer below.

