FDA Label for Minocycline Hydrochloride
View Indications, Usage & Precautions
- OTHER
- DESCRIPTION
- CLINICAL PHARMACOLOGY
- MICROBIOLOGY
- INDICATIONS AND USAGE
- CONTRAINDICATIONS
- WARNINGS
- GENERAL
- INFORMATION FOR PATIENTS
- LABORATORY TESTS
- DRUG INTERACTIONS
- DRUG / LABORATORY TEST INTERACTIONS
- CARCINOGENESIS, MUTAGENESIS, IMPAIRMENT OF FERTILITY
- TERATOGENIC EFFECTS:
- LABOR AND DELIVERY
- NURSING MOTHERS
- PEDIATRIC USE
- ADVERSE REACTIONS
- OVERDOSAGE
- DOSAGE AND ADMINISTRATION
- HOW SUPPLIED
- ANIMAL PHARMACOLOGY AND TOXICOLOGY
- REFERENCES
- PRINCIPAL DISPLAY PANEL
Minocycline Hydrochloride Product Label
The following document was submitted to the FDA by the labeler of this product Rebel Distributors Corp.. The document includes published materials associated whith this product with the essential scientific information about this product as well as other prescribing information. Product labels may durg indications and usage, generic names, contraindications, active ingredients, strength dosage, routes of administration, appearance, warnings, inactive ingredients, etc.
Other
To reduce the development of drug-resistant bacteria and maintain the effectiveness of minocycline hydrochloride capsules and other antibacterial drugs, minocycline hydrochloride capsules should be used only to treat or prevent infections that are proven or strongly suspected to be caused by bacteria.
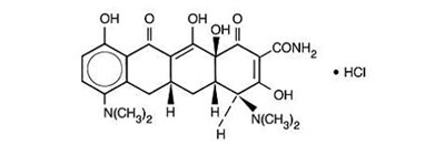
Description
Minocycline hydrochloride, a semisynthetic derivative of tetracycline, is [4S-(4α,5aα,12aα)]-4,7- Bis(dimethylamino)-1,4,4a,5,5a,6,11,12a-octahydro-3,10,12,12a-tetrahydroxy-1,11-dioxo-2- naphthacenecarboxamide monohydrochloride. Its structural formula is represented below:
C23H27N3O7.HCl M.W. 493.95
Each Minocycline hydrochloride capsule, for oral administration, contains the equivalent of 50 mg, 75 mg or 100 mg of minocycline. In addition each capsule contains the following inactive ingredients: magnesium stearate and corn starch.
The 50 mg, 75 mg and 100 mg capsule shells contain: gelatin, titanium dioxide and black iron oxide in the edible ink.
The 75 mg and 100 mg capsule shells also contain: black iron oxide.
Clinical Pharmacology
Following oral administration of minocycline hydrochloride capsules, absorption from gastro-intestinal tract is rapid. Maximum serum concentrations following a single dose of minocycline hydrochloride to normal fasting adult volunteers were attained in 1 to 4 hours. The serum half-life in the normal volunteers ranges from 11 hours to 22 hours.
When minocycline hydrochloride capsules were given concomitantly with a meal, which included dairy products, the extent of absorption of minocycline hydrochloride capsules was not noticeably influenced. The peak plasma concentrations were slightly decreased (11.2%) and delayed by one hour when administered with food, compared to dosing under fasting conditions.
In previous studies with other minocycline dosage forms, the minocycline serum half-life ranged from 11 to 16 hours in 7 patients with hepatic dysfunction, and from 18 to 69 hours in 5 patients with renal dysfunction. The urinary and fecal recovery of minocycline when administered to 12 normal volunteers was one-half to one-third that of other tetracyclines.
Microbiology
The tetracyclines are primarily bacteriostatic and are thought to exert their antimicrobial effect by the inhibition of protein synthesis. The tetracyclines, including minocycline, have a similar antimicrobial spectra of activity against a wide range of gram-positive and gram-negative organisms. Cross-resistance of these organisms to tetracycline is common.
While in vitro studies have demonstrated the susceptibility of most strains of the following microorganisms, clinical efficacy for infections other than those included in the INDICATIONS AND USAGE section has not been documented.
GRAM-NEGATIVE MICROORGANISMS
Bartonella bacilliformis
Brucella species
Campylobacter fetus
Francisella tularensis
Haemophilus ducreyi
Listeria monocytogenes
Neisseria gonorrhoeae
Vibrio cholerae
Yersinia pestis
Because many strains of the following groups of gram-negative microorganisms have been shown to be resistant to tetracyclines, culture and susceptibility tests are especially recommended.
Acinetobacter species
Enterobacter
Enterobacter aerogenes
Escherichia coli
Haemophilus influenzae
Klebsiella species
Shigella species
Gram-Positive Bacteria
Because many strains of the following groups of gram-positive microorganisms have been shown to be resistant to tetracyclines, culture and susceptibility testing are especially recommended. Up to 44 percent of Streptococcus pyogenes strains have been found to be resistant to tetracycline drugs. Therefore, tetracyclines should not be used for streptococcal disease unless the organism has been demonstrated to be susceptible.
Alpha-hemolytic streptococci (viridans group)
Streptococcus pneumoniae
Streptococcus pyogenes
“OTHER” MICROORGANISMS
Actinomyces species
Bacillus anthracis
Balantidium coli
Borrelia recurrentis
Chlamydia psittaci
Chlamydia trachomatis
Clostridium species
Entamoeba species
Fusobacterium fusiforme
Propionibacterium acnes
Treponema pallidum
Treponema pertenue
Ureaplasma urealyticum
Susceptibility Tests
Diffusion Techniques:
The use of antibiotic disk susceptibility test methods which measure zone diameter gives an accurate estimation of susceptibility of microorganisms to minocycline. One such standard procedure1 has been recommended for use with disks for testing antimicrobials. Either the 30 mcg tetracycline-class disk or the 30 mcg minocycline disk should be used for the determination of the susceptibility of microorganisms to minocycline. With this type of procedure a report of “susceptible” from the laboratory indicates that the infecting organism is likely to respond to therapy. A report of “intermediate susceptibility” suggests that the organism would be susceptible if a high dosage is used or if the infection is confined to tissues and fluids (e.g., urine) in which high antibiotic levels are attained. A report of “resistant” indicates that the infecting organism is not likely to respond to therapy. With either the tetracycline-class disk or the minocycline disk, zone sizes of 19 mm or greater indicate susceptibility, zone sizes of 14 mm or less indicate resistance, and zone sizes of 15 to 18 mm indicate intermediate susceptibility.
Standardized procedures require the use of laboratory control organisms. The 30 mcg tetracycline disk should give zone diameters between 19 and 28 mm for Staphylococcus aureusATCC 25923 and between 18 and 25 mm for Escherichia coliATCC 25922. The 30 mcg minocycline disk should give zone diameters between 25 and 30 mm for S. aureusATCC 25923 and between 19 and 25 mm for E. coli ATCC 25922.
Dilution Techniques:
When using the NCCLS agar dilution or broth dilution (including microdilution) method2 or equivalent, a bacterial isolate may be considered susceptible if the MIC (minimal inhibitory concentration) of minocycline is 4 mcg/mL or less. Organisms are considered resistant if the MIC is 16 mcg/mL or greater. Organisms with an MIC value of less than 16 mcg/mL but greater than 4 mcg/mL are expected to be susceptible if a high dosage is used or if the infection is confined to tissues and fluids (e.g., urine) in which high antibiotic levels are attained.
As with standard diffusion methods, dilution procedures require the use of laboratory control organisms. Standard tetracycline or minocycline powder should give MIC values of 0.25 mcg/mL to 1.0 mcg/mL for S. aureus ATCC 25923, and 1.0 mcg/mL to 4.0 mcg/mL for E. coli ATCC 25922.
Indications And Usage
To reduce the development of drug-resistant bacteria and maintain the effectiveness of minocycline hydrochloride capsules and other antibacterial drugs, minocycline hydrochloride capsules should be used only to treat or prevent infections that are proven or strongly suspected to be caused by susceptible bacteria. When culture and susceptibility information are available, they should be considered in selecting or modifying antibacterial therapy. In the absence of such data, local epidemiology and susceptibility patterns may contribute to the empiric selection of therapy.
Minocycline hydrochloride capsules are indicated in the treatment of the following infections due to susceptible strains of the designated microorganisms:
Rocky Mountain spotted fever, typhus fever and the typhus group, Q fever, rickettsialpox and tick fevers caused by Rickettsiae.
Respiratory tract infections caused by Mycoplasma pneumoniae.
Lymphogranuloma venereum caused by Chlamydia trachomatis.
Psittacosis (Ornithosis) due to Chlamydia psittaci.
Trachoma caused by Chlamydia trachomatis, although the infectious agent is not always eliminated, as judged by immunofluorescence.
Inclusion conjunctivitis caused by Chlamydia trachomatis.
Nongonococcal urethritis, in adults caused by Ureaplasma urealyticum or Chlamydia trachomatis.
Relapsing fever due to Borrelia recurrentis.
Chancroid caused by Haemophilus ducreyi.
Plague due to Yersinia pestis.
Tularemia due to Francisella tularensis.
Cholera caused by Vibrio cholerae.
Campylobacter fetus infections caused by Campylobacter fetus.
Brucellosis due to Brucella species (in conjunction with streptomycin).
Bartonellosis due to Bartonella bacilliformis.
Granuloma inguinale caused by Calymmatobacterium granulomatis.
Minocycline is indicated for the treatment of infections caused by the following gram-negative microorganisms when bacteriologic testing indicates appropriate susceptibility to the drug:
Escherichia coli.
Enterobacter aerogenes.
Shigella species.
Acinetobacter species.
Respiratory tract infections caused by Haemophilus influenzae.
Respiratory tract and urinary tract infections caused by Klebsiella species.
Minocycline hydrochloride capsules are indicated for the treatment of infections caused by the following gram-positive microorganisms when bacteriologic testing indicates appropriate susceptibility to the drug:
Upper respiratory tract infections caused by Streptococcus pneumoniae.
Skin and skin structure infections caused by Staphylococcus aureus. (Note: Minocycline is not the drug of choice in the treatment of any type of staphylococcal infection.)
Uncomplicated urethritis in men due to Neisseria gonorrhoeae and for the treatment of other gonococcal infections.
When penicillin is contraindicated, minocycline is an alternative drug in the treatment of the following infections:
Infections in women caused by Neisseria gonorrhoeae.
Syphilis caused by Treponema pallidum.
Yaws caused by Treponema pallidum.
Listeriosis due to Listeria monocytogenes.
Anthrax due to Bacillus anthracis.
Vincent’s infection caused by Fusobacterium fusiforme.
Actinomycosis caused by Actinomyces israelii.
Infections caused by Clostridium species.
In acute intestinal amebiasis, minocycline may be a useful adjunct to amebicides.
In severe acne, minocycline may be useful adjunctive therapy.
Oral minocycline is indicated in the treatment of asymptomatic carriers of Neisseria meningitidis to eliminate meningococci from the nasopharynx. In order to preserve the usefulness of minocycline in the treatment of asymptomatic meningococcal carriers, diagnostic laboratory procedures, including serotyping and susceptibility testing, should be performed to establish the carrier state and the correct treatment. It is recommended that the prophylactic use of minocycline be reserved for situations in which the risk of meningococcal meningitis is high.
Oral minocycline is not indicated for the treatment of meningococcal infection.
Although no controlled clinical efficacy studies have been conducted, limited clinical data show that oral minocycline hydrochloride has been used successfully in the treatment of infections caused by Mycobacterium marinum.
Contraindications
This drug is contraindicated in persons who have shown hypersensitivity to any of the tetracyclines.
Warnings
MINOCYCLINE, LIKE OTHER TETRACYCLINE-CLASS ANTIBIOTICS, CAN CAUSE FETAL HARM WHEN ADMINISTERED TO A PREGNANT WOMAN. IF ANY TETRACYCLINE IS USED DURING PREGNANCY OR IF THE PATIENT BECOMES PREGNANT WHILE TAKING THESE DRUGS, THE PATIENT SHOULD BE APPRISED OF THE POTENTIAL HAZARD TO THE FETUS. THE USE OF DRUGS OF THE TETRACYCLINE CLASS DURING TOOTH DEVELOPMENT (LAST HALF OF PREGNANCY, INFANCY, AND CHILDHOOD TO THE AGE OF 8 YEARS) MAY CAUSE PERMANENT DISCOLORATION OF THE TEETH (YELLOW-GRAY-BROWN).
This adverse reaction is more common during long-term use of the drug but has been observed following repeated short-term courses. Enamel hypoplasia has also been reported. TETRACYCLINE DRUGS, THEREFORE, SHOULD NOT BE USED DURING TOOTH DEVELOPMENT UNLESS OTHER DRUGS ARE NOT LIKELY TO BE EFFECTIVE OR ARE CONTRAINDICATED.
All tetracyclines form a stable calcium complex in any bone-forming tissue. A decrease in the fibula growth rate has been observed in young animals (rats and rabbits) given oral tetracycline in doses of 25 mg/kg every six hours. This reaction was shown to be reversible when the drug was discontinued.
Results of animal studies indicate that tetracyclines cross the placenta, are found in fetal tissues, and can have toxic effects on the developing fetus (often related to retardation of skeletal development). Evidence of embryotoxicity has been noted in animals treated early in pregnancy.
The anti-anabolic action of the tetracyclines may cause an increase in BUN. While this is not a problem in those with normal renal function, in patients with significantly impaired function, higher serum levels of tetracycline may lead to azotemia, hyperphosphatemia, and acidosis. If renal impairment exists, even usual oral or parenteral doses may lead to excessive systemic accumulations of the drug and possible liver toxicity. Under such conditions, lower than usual total doses are indicated, and if therapy is prolonged, serum level determinations of the drug may be advisable.
Photosensitivity manifested by an exaggerated sunburn reaction has been observed in some individuals taking tetracyclines. This has been reported with minocycline.
Central nervous system side effects including light-headedness, dizziness, or vertigo have been reported with minocycline therapy. Patients who experience these symptoms should be cautioned about driving vehicles or using hazardous machinery while on minocycline therapy. These symptoms may disappear during therapy and usually disappear rapidly when the drug is discontinued.
General
Prescribing Minocycline hydrochloride capsules in the absence of a proven or strongly suspected bacterial infection or a prophylactic indication is unlikely to provide benefit to the patient and increases the risk of the development of drug-resistant bacteria.
As with other antibiotic preparations, use of this drug may result in overgrowth of non-susceptible organisms, including fungi. If superinfection occurs, the antibiotic should be discontinued and appropriate therapy instituted.
Pseudotumor cerebri (benign intracranial hypertension) in adults has been associated with the use of tetracyclines. The usual clinical manifestations are headache and blurred vision. Bulging fontanels have been associated with the use of tetracyclines in infants. While both of these conditions and related symptoms usually resolve after discontinuation of the tetracycline, the possibility for permanent sequelae exists.
Incision and drainage or other surgical procedures should be performed in conjunction with antibiotic therapy when indicated.
Information For Patients
Patients should be counseled that antibacterial drugs including minocycline hydrochloride capsules should only be used to treat bacterial infections. They do not treat viral infections (e.g., the common cold). When minocycline hydrochloride capsules are prescribed to treat a bacterial infection, patients should be told that although it is common to feel better early in the course of therapy, the medication should be taken exactly as directed. Skipping doses or not completing the full course of therapy may (1) decrease the effectiveness of the immediate treatment and (2) increase the likelihood that bacteria will develop resistance and will not be treatable by minocycline hydrochloride capsules or other antibacterial drugs in the future.
Photosensitivity manifested by an exaggerated sunburn reaction has been observed in some individuals taking tetracyclines. Patients apt to be exposed to direct sunlight or ultraviolet light should be advised that this reaction can occur with tetracycline drugs, and treatment should be discontinued at the first evidence of skin erythema. This reaction has been reported with use of minocycline.
Patients who experience central nervous system symptoms (See WARNINGS.) should be cautioned about driving vehicles or using hazardous machinery while on minocycline therapy.
Concurrent use of tetracycline may render oral contraceptives less effective. (See Drug Interactions.)
Laboratory Tests
In venereal disease when coexistent syphilis is suspected, a dark-field examination should be done before treatment is started and the blood serology repeated monthly for at least four months.
In long term therapy, periodic laboratory evaluations of organ systems, including hematopoietic, renal, and hepatic studies should be performed.
Drug Interactions
Because tetracyclines have been shown to depress plasma prothrombin activity, patients who are on anticoagulant therapy may require downward adjustment of their anticoagulant dosage.
Since bacteriostatic drugs may interfere with the bactericidal action of penicillin, it is advisable to avoid giving tetracycline-class drugs in conjunction with penicillin.
Absorption of tetracyclines is impaired by antacids containing aluminum, calcium, or magnesium, and iron-containing preparations.
The concurrent use of tetracycline and methoxyflurane has been reported to result in fatal renal toxicity.
Concurrent use of tetracyclines with oral contraceptives may render oral contraceptives less effective.
Drug / Laboratory Test Interactions
False elevations of urinary catecholamine levels may occur due to interference with the fluorescence test.
Carcinogenesis, Mutagenesis, Impairment Of Fertility
Dietary administration of minocycline in long term tumorigenicity studies in rats resulted in evidence of thyroid tumor production. Minocycline has also been found to produce thyroid hyperplasia in rats and dogs. In addition, there has been evidence of oncogenic activity in rats in studies with a related antibiotic, oxytetracycline (i.e., adrenal and pituitary tumors). Likewise, although mutagenicity studies of minocycline have not been conducted, positive results in in vitro mammalian cell assays (i.e., mouse lymphoma and Chinese hamster lung cells) have been reported for related antibiotics (tetracycline hydrochloride and oxytetracycline). Segment I (fertility and general reproduction) studies have provided evidence that minocycline impairs fertility in male rats.
Teratogenic Effects:
Pregnancy
Pregnancy Category D. (See WARNINGS.)
Labor And Delivery
The effect of tetracyclines on labor and delivery is unknown.
Nursing Mothers
Tetracyclines are excreted in human milk. Because of the potential for serious adverse reactions in nursing infants from the tetracyclines, a decision should be made whether to discontinue nursing or discontinue the drug, taking into account the importance of the drug to the mother. (See WARNINGS.)
Pediatric Use
(See WARNINGS.)
Adverse Reactions
Due to oral minocycline’s virtually complete absorption, side effects to the lower bowel, particularly diarrhea, have been infrequent. The following adverse reactions have been observed in patients receiving tetracyclines.
Gastrointestinal: Anorexia, nausea, vomiting, diarrhea, glossitis, dysphagia, enterocolitis, pancreatitis, inflammatory lesions (with monilial over growth) in anogenital region, and increases in liver enzymes. Rarely, hepatitis and liver failure have been reported. Rare instances of esophagitis and esophageal ulcerations have been reported in patients taking the tetracycline-class antibiotics in capsule and tablet form. Most of these patients took the medication immediately before going to bed (see DOSAGE AND ADMINISTRATION)
Skin: Maculopapular and erythematous rashes. Exfoliative dermatitis has been reported but is uncommon. Fixed drug eruptions, including balanitis, have been rarely reported. Erythema multiforme and rarely Stevens-Johnson syndrome have been reported. Photosensitivity is discussed above (see WARNINGS). Pigmentation of the skin and mucous membranes has been reported.
Renal toxicity: Elevations in BUN have been reported and are apparently dose related (see WARNINGS).
Hypersensitivity reactions:
Urticaria, angioneurotic edema, polyarthralgia, anaphylaxis, anaphylactoid purpura, pericarditis, exacerbation of systemic lupus erythematosus and rarely pulmonary infiltrates with eosinophilia have been reported. A transient lupus-like syndrome has also been reported.
Blood: Hemolytic anemia, thrombocytopenia, neutropenia, and eosinophilia have been reported.
Central Nervous System: Bulging fontanels in infants and benign intracranial hypertension (Pseudotumor cerebri) in adults (see PRECAUTIONS - General) have been reported. Headache has also been reported.
Other: When given over prolonged periods, tetracyclines have been reported to produce brown-black microscopic discoloration of the thyroid glands. Very rare cases of abnormal thyroid function have been reported.
Decreased hearing has been rarely reported in patients on minocycline hydrochloride.
Tooth discoloration in children less than 8 years of age (see WARNINGS) and also, rarely, in adults has been reported.
Overdosage
In case of overdosage, discontinue medication, treat symptomatically, and institute supportive measures.
Dosage And Administration
THE USUAL DOSAGE AND FREQUENCY OF ADMINISTRATION OF MINOCYCLINE DIFFERS FROM THAT OF THE OTHER TETRACYCLINES. EXCEEDING THE RECOMMENDED DOSAGE MAY RESULT IN AN INCREASED INCIDENCE OF SIDE EFFECTS.
Minocycline hydrochloride capsules may be taken with or without food (See CLINICAL PHARMACOLOGY.)
Adults
The usual dosage of minocycline hydrochloride capsules is 200 mg initially followed by 100 mg every 12 hours. Alternatively, if more frequent doses are preferred, two or four 50 mg capsules may be given initially followed by one 50 mg capsule four times daily.
For children Above 8 Years Of Age
The usual dose of minocycline hydrochloride capsules is 4 mg/kg initially followed by 2 mg/kg every 12 hours.
Uncomplicated gonococcal infections other than urethritis and anorectal infections in men: 200 mg initially, followed by 100 mg every 12 hours for a minimum of 4 days, with post-therapy cultures within 2 to 3 days.
In the treatment of uncomplicated gonococcal urethritis in men, 100 mg every 12 hours for five days is recommended.
For the treatment of syphilis, the usual dosage of minocycline hydrochloride should be administered over a period of 10 to 15 days. Close follow-up, including laboratory tests, is recommended.
In the treatment of meningococcal carrier state, the recommended dosage is 100 mg every 12 hours for five days.
Mycobacterium marinum infections: Although optimal doses have not been established, 100 mg every 12 hours for 6 to 8 weeks have been used successfully in a limited number of cases.
Uncomplicated urethral, endocervical, or rectal infection in adults caused by Chlamydiatrachomatis or Ureaplasma urealyticum: 100 mg orally, every 12 hours for at least 7 days.
Ingestion of adequate amounts of fluids along with capsule and tablet forms of drugs in the tetracycline-class is recommended to reduce the risk of esophageal irritation and ulceration.
In patients with renal impairment (see WARNINGS), the total dosage should be decreased by either reducing the recommended individual doses and/or by extending the time intervals between doses.
How Supplied
Minocycline Hydrochloride Capsules, USP equivalent to 50 mg minocycline are white opaque capsules imprinted “Rx 694” on cap and body in black ink and supplied as follows:
Bottles of 30 NDC 21695-693-30
Store at 20 - 25° C (68 - 77° F). (See Controlled Room Temperature).
Protect from light, moisture, and excessive heat.
Dispense in a tight, light-resistant container as defined in the USP.
Animal Pharmacology And Toxicology
Minocycline hydrochloride has been observed to cause a dark discoloration of the thyroid in experimental animals (rats, minipigs, dogs, and monkeys). In the rat, chronic treatment with minocycline hydrochloride has resulted in goiter accompanied by elevated radioactive iodine uptake and evidence of thyroid tumor production. Minocycline hydrochloride has also been found to produce thyroid hyperplasia in rats and dogs.
References
1. National Committee for Clinical Laboratory Standards, Approved Standard: Performance Standards for Antimicrobial Disk Susceptibility Tests, 3rd Edition, Vol. 4(16):M2-A3, Villanova, PA, December 1984.
2. National Committee for Clinical Laboratory Standards, Approved Standard: Methods for Dilution Antimicrobial Susceptibility Tests for Bacteria that Grow Aerobically, 2nd Edition, Vol. 5(22):M7-A, Villanova, PA, December 1985.
Manufactured for:
Ranbaxy Pharmaceuticals Inc.
Jacksonville, FL 32216 USA
By: Ohm Laboratories, Inc.
North Brunswick, NJ 08902 USA
April 2007
Repackaged by:
Rebel Distributors Corp
Thousand Oaks, CA 91320
Principal Display Panel
* Please review the disclaimer below.

