Product Images Nafcillin

View Photos of Packaging, Labels & Appearance

Product Label Images

The following 6 images provide visual information about the product associated with Nafcillin NDC 23155-906 by Heritage Pharmaceuticals Inc. D/b/a/ Avet Pharmaceuticals Inc., such as packaging, labeling, and the appearance of the drug itself. This resource could be helpful for medical professionals, pharmacists, and patients seeking to verify medication information and ensure they have the correct product.

1g-carton-label - 1g carton label

1g-carton-label - 1g carton label

This text provides information about a medication labeled as Nafcillin, with instructions for usual adult dosage indicated as 500 mg every 4 to 6 hours. It also mentions details about the product being for injection and suggests reading the accompanying insert before use. The text includes the manufacturer information as Antibiotice SA and Avet Pharmaceuticals, specifying that the product is buffered and sterile for IV or IM use.*

1g-vial-label - 1g vial label

1g-vial-label - 1g vial label

This is information about Nafcillin for Injection, USP, containing 1 gram per vial. It is a buffered, sterile medication for intravenous or intramuscular use. The usual adult dosage is 500 mg every 4 to 6 hours. The medication is reconstituted with a diluent and each vial contains 4 mL of solution, with each mL containing nafcillin sodium equivalent to 250 mg nafcillin. The vial contains nafcillin sodium as the monohydrate, equivalent to 1.6g nafcillin. Each gram of nafcillin contains approximately 6 mg of sodium and is buffered with approximately 38 mg of sodium citrate.Further instructions and stability data can be found in the accompanying insert. The medication should be stored at 20° to 25° C (68° to 77°F). It is manufactured in Romania for Avet Pharmaceuticals Inc.*

2g-carton-label - 2g carton label

2g-carton-label - 2g carton label

The text describes a medication called Nafcillin for Injection, USP. Each vial contains nafcillin sodium as the monohydrate, equivalent to 2 grams of nafcillin. The usual adult dosage is 500 mg every 4 to 6 hours. The powder should be stored at a specific temperature range. The medication is buffered and sterile and can be used for intravenous (IV) or intramuscular (IM) administration. It is advisable to read the accompanying insert for complete stability data and directions for use. The medication is manufactured by Antibiotice SA for Avet Pharmaceuticals Inc.*

2g-vial-label - 2g vial label

2g-vial-label - 2g vial label

This is a description of Nafcillin for Injection, USP with 2 grams per vial. It is a buffered and sterile medication intended for IV or IM use. The usual adult dosage is 500 mg every 4 to 6 hours. Each vial contains nafcillin sodium monohydrate, equivalent to 2.6g nafcillin. The solution is buffered with sodium citrate. Instructions for reconstitution, stability, and storage are provided in the accompanying insert. The medication should be stored as dry powder at 20° to 25° C. Manufactured by Avet Pharmaceuticals Inc. in Romania.*

Avet Logo - avet logo

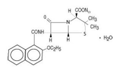
Structural Formula - structural formula

Structural Formula - structural formula

* The product label images have been analyzed using a combination of traditional computing and machine learning techniques. It should be noted that the descriptions provided may not be entirely accurate as they are experimental in nature. Use the information in this page at your own discretion and risk.