FDA Label for Myhibbin
View Indications, Usage & Precautions
- WARNING: EMBRYOFETAL TOXICITY, MALIGNANCIES AND SERIOUS INFECTIONS
- 1 INDICATIONS AND USAGE
- 2.1 IMPORTANT ADMINISTRATION INSTRUCTIONS
- OTHER
- 2.3 RECOMMENDED DOSAGE FOR HEART TRANSPLANT PATIENTS
- 2.4 RECOMMENDED DOSAGE FOR LIVER TRANSPLANT PATIENTS
- 3 DOSAGE FORMS AND STRENGTHS
- 4 CONTRAINDICATIONS
- 5.1 EMBRYOFETAL TOXICITY
- 5.2 LYMPHOMA AND OTHER MALIGNANCIES
- 5.3 SERIOUS INFECTIONS
- 5.4 BLOOD DYSCRASIAS: NEUTROPENIA AND PURE RED CELL APLASIA (PRCA)
- 5.5 GASTROINTESTINAL COMPLICATIONS
- 5.6 PATIENTS WITH HYPOXANTHINE-GUANINE PHOSPHORIBOSYL-TRANSFERASE DEFICIENCY (HGPRT)
- 5.7 ACUTE INFLAMMATORY SYNDROME ASSOCIATED WITH MYCOPHENOLATE PRODUCTS
- 5.8 IMMUNIZATIONS
- 5.9 BLOOD DONATION
- 5.10 SEMEN DONATION
- 5.11 EFFECT OF CONCOMITANT MEDICATIONS ON MYCOPHENOLIC ACID CONCENTRATIONS
- 5.12 POTENTIAL IMPAIRMENT OF ABILITY TO DRIVE OR OPERATE MACHINERY
- 6 ADVERSE REACTIONS
- 6.1 CLINICAL TRIALS EXPERIENCE
- 6.2 POSTMARKETING EXPERIENCE
- 7.1 EFFECT OF OTHER DRUGS ON MYHIBBIN
- 7.2 EFFECT OF MYHIBBIN ON OTHER DRUGS
- 8.3 FEMALES AND MALES OF REPRODUCTIVE POTENTIAL
- 8.4 PEDIATRIC USE
- 8.5 GERIATRIC USE
- 10 OVERDOSAGE
- 11 DESCRIPTION
- 12.1 MECHANISM OF ACTION
- 12.2 PHARMACODYNAMICS
- 13.1 CARCINOGENESIS, MUTAGENESIS, IMPAIRMENT OF FERTILITY
- 14.2 HEART TRANSPLANTATION
- 14.3 LIVER TRANSPLANTATION
- 15 REFERENCES
- 17.2 DEVELOPMENT OF LYMPHOMA AND OTHER MALIGNANCIES
- 17.3 INCREASED RISK OF SERIOUS INFECTIONS
- 17.4 BLOOD DYSCRASIAS
- 17.5 GASTROINTESTINAL TRACT COMPLICATIONS
- 17.6 ACUTE INFLAMMATORY SYNDROME
- 17.7 IMMUNIZATIONS
- 17.8 ADMINISTRATION INSTRUCTIONS
- 17.9 BLOOD DONATION
- 17.10 SEMEN DONATION
- 17.11 POTENTIAL TO IMPAIR DRIVING AND USE OF MACHINERY
- SPL MEDGUIDE
- PACKAGE LABEL.PRINCIPAL DISPLAY PANEL
Myhibbin Product Label
The following document was submitted to the FDA by the labeler of this product Azurity Pharmaceuticals, Inc.. The document includes published materials associated whith this product with the essential scientific information about this product as well as other prescribing information. Product labels may durg indications and usage, generic names, contraindications, active ingredients, strength dosage, routes of administration, appearance, warnings, inactive ingredients, etc.
Warning: Embryofetal Toxicity, Malignancies And Serious Infections
- Use during pregnancy is associated with increased risks of first trimester pregnancy loss and congenital malformations. Avoid if safer treatment options are available. Females of reproductive potential must be counseled regarding pregnancy prevention and planning [see Warnings and Precautions (5.1), Use in Special Populations (8.1, 8.3)] .
- Increased risk of development of lymphoma and other malignancies, particularly of the skin [see Warnings and Precautions (5.2)] .
- Increased susceptibility to bacterial, viral, fungal and protozoal infections, including opportunistic infections and viral reactivation of hepatitis B and C, which may lead to hospitalizations and fatal outcomes [see Warnings and Precautions (5.3)] .
1 Indications And Usage
MYHIBBIN is indicated for the prophylaxis of organ rejection, in adult and pediatric recipients 3 months of age and older of allogeneic kidney [see Clinical Studies (14.1)], heart [see Clinical Studies (14.2)] or liver transplants [see Clinical Studies (14.3)] , in combination with other immunosuppressants.
2.1 Important Administration Instructions
MYHIBBIN should not be used without the supervision of a physician with experience in immunosuppressive therapy.
MYHIBBIN should not be used interchangeably with mycophenolic acid delayed-release tablets without supervision of a physician with experience in immunosuppressive therapybecause the rates of absorption following the administration of MYHIBBIN and mycophenolic acid delayed-release tablets are not equivalent.
Patients should avoid contact of the skin or mucous membranes with MYHIBBIN. If such contact occurs, they must wash the area of contact thoroughly with soap and water. In case of ocular contact, rinse eyes with plain water.
The initial oral dose of MYHIBBIN should be given as soon as possible following kidney, heart or liver transplant. It is recommended that MYHIBBIN be administered on an empty stomach. In stable transplant patients, however, MYHIBBIN may be administered with food if necessary [see Clinical Pharmacology (12.3)]. MYHIBBIN must not be mixed with any liquids prior to dose administration. If needed, MYHIBBIN can be administered via a nasogastric tube with a minimum size of 8 French (minimum 1.7 mm interior diameter).
Patients should be instructed to take a missed dose as soon as they remember, except if it is closer than 2 hours to the next scheduled dose; in this case, they should continue to take MYHIBBIN at the usual times.
Other
Adults
The recommended dosage for adult kidney transplant patients is 1 g orally, administered twice daily (total daily dose of 2 g).
Pediatrics Patients 3 months and older
Pediatric dosing is based on body surface area (BSA). The recommended dosage for pediatric kidney transplant patients 3 months and older is 600 mg/m 2, administered twice daily (maximum daily dose of 2 g or 10 mL of the oral suspension).
Renal Impairment No dosage modifications are needed in kidney transplant patients with delayed graft function postoperatively [see Clinical Pharmacology (12.3)]. In kidney transplant patients with severe chronic impairment of the graft (GFR <25 mL/min/1.73 m 2), do not administer doses of MYHIBBIN greater than 1 g twice a day. These patients should be carefully monitored [ see Clinical Pharmacology (12.3)].
Neutropenia
If neutropenia develops (ANC <1.3 x 10 3/µL), dosing with MYHIBBIN should be interrupted or reduced, appropriate diagnostic tests performed, and the patient managed appropriately [see Warnings and Precautions (5.4)and Adverse Reactions (6.1)].
Oral Mycophenolate Mofetil
The incidence of adverse reactions for mycophenolate mofetil was determined in five randomized, comparative, double- blind trials in the prevention of rejection in kidney, heart and liver transplant patients (two active- and one placebo- controlled trials, one active-controlled trial, and one active-controlled trial, respectively) [see Clinical Studies (14.1, 14.2and 14.3)] .
The three de novokidney studies with 12-month duration compared two dose levels of oral mycophenolate mofetil (1 g twice daily and 1.5 g twice daily) with azathioprine (2 studies) or placebo (1 study) when administered in combination with cyclosporine (Sandimmune ®) and corticosteroids to prevent acute rejection episodes. One study also included anti-thymocyte globulin (ATGAM ®) induction therapy.
In the de novoheart transplantation study with 12-month duration, patients received mycophenolate mofetil 1.5 g twice daily (n=289) or azathioprine 1.5 to 3 mg/kg/day (n=289), in combination with cyclosporine (Sandimmune ®or Neoral ®) and corticosteroids as maintenance immunosuppressive therapy.
In the de novoliver transplantation study with 12-month duration, patients received mycophenolate mofetil 1.5 g twice daily orally or azathioprine 1 to 2 mg/kg/day orally, in combination with cyclosporine (Neoral ®) and corticosteroids as maintenance immunosuppressive therapy. The total number of patients enrolled was 565.
Approximately 53% of the kidney transplant patients, 65% of the heart transplant patients, and 48% of the liver transplant patients were treated for more than 1 year. Adverse reactions reported in ≥ 20% of patients in the mycophenolate mofetil treatment groups are presented below. The safety data of three kidney transplantation studies are pooled together.
| System Organ Class | Kidney Studies | Heart Study | Liver Study | ||||
|---|---|---|---|---|---|---|---|
| MMF 2g/day (n=501) or 3g/day (n=490) | AZA 1 to 2 mg/kg/day or 100 to 150 mg/day | Placebo | MMF 3g/day | AZA 1.5 to 3 mg/kg/day | MMF 3g/day | AZA 1 to 2 mg/kg/day | |
| Adverse Drug Reaction | (n=991) | (n=326) | (n=166) | (n=289) | (n=289) | (n=277) | (n=287) |
| % | % | % | % | % | % | % | |
| Infections and infestations | |||||||
| Bacterial infections | 39.9 | 33.7 | 37.3 | - | - | 27.4 | 26.5 |
| Viral infections | - a | - | - | 31.1 | 24.9 | - | - |
| Blood and lymphatic system disorders | |||||||
| Anemia | 20.0 | 23.6 | 2.4 | 45.0 | 47.1 | 43.0 | 53.0 |
| Ecchymosis | - | - | - | 20.1 | 9.7 | - | - |
| Leukocytosis | - | - | - | 42.6 | 37.4 | 22.4 | 21.3 |
| Leukopenia | 28.6 | 24.8 | 4.2 | 34.3 | 43.3 | 45.8 | 39.0 |
| Thrombocytopenia | - | - | - | 24.2 | 28.0 | 38.3 | 42.2 |
| Metabolism and nutrition disorders | |||||||
| Hypercholesterolemia | - | - | - | 46.0 | 43.9 | - | - |
| Hyperglycemia | - | - | - | 48.4 | 53.3 | 43.7 | 48.8 |
| Hyperkalemia | - | - | - | - | - | 22.0 | 23.7 |
| Hypocalcemia | - | - | - | - | - | 30.0 | 30.0 |
| Hypokalemia | - | - | - | 32.5 | 26.3 | 37.2 | 41.1 |
| Hypomagnesemia | - | - | - | 20.1 | 14.2 | 39.0 | 37.6 |
| Psychiatric disorders | |||||||
| Depression | - | - | - | 20.1 | 15.2 | - | - |
| Insomnia | - | - | - | 43.3 | 39.8 | 52.3 | 47.0 |
| Nervous system disorders | |||||||
| Dizziness | - | - | - | 34.3 | 33.9 | - | - |
| Headache | - | - | - | 58.5 | 55.4 | 53.8 | 49.1 |
| Tremor | - | - | - | 26.3 | 25.6 | 33.9 | 35.5 |
| Cardiac disorders | |||||||
| Tachycardia | - | - | - | 22.8 | 21.8 | 22.0 | 15.7 |
| Vascular disorders | |||||||
| Hypertension | 27.5 | 32.2 | 19.3 | 78.9 | 74.0 | 62.1 | 59.6 |
| Hypotension | - | - | - | 34.3 | 40.1 | - | - |
| Respiratory, thoracic and mediastinal disorders | |||||||
| Cough | - | - | - | 40.5 | 32.2 | - | - |
| Dyspnea | - | - | - | 44.3 | 44.3 | 31.0 | 30.3 |
| Pleural effusion | - | - | - | - | - | 34.3 | 35.9 |
| Gastrointestinal disorders | |||||||
| Abdominal pain | 22.4 | 23.0 | 11.4 | 41.9 | 39.4 | 62.5 | 51.2 |
| Constipation | - | - | - | 43.6 | 38.8 | 37.9 | 38.3 |
| Decreased appetite | - | - | - | - | - | 25.3 | 17.1 |
| Diarrhea | 30.4 | 20.9 | 13.9 | 52.6 | 39.4 | 51.3 | 49.8 |
| Dyspepsia | - | - | - | 22.1 | 22.1 | 22.4 | 20.9 |
| Nausea | - | - | - | 56.1 | 60.2 | 54.5 | 51.2 |
| Vomiting | - | - | - | 39.1 | 34.6 | 32.9 | 33.4 |
| Hepatobiliary disorders | |||||||
| Blood lactate dehydrogenase increased | - | - | - | 23.5 | 18.3 | - | - |
| Hepatic enzyme increased | - | - | - | - | - | 24.9 | 19.2 |
| Skin and subcutaneous tissues disorders | |||||||
| Rash | - | - | - | 26.0 | 20.8 | - | - |
| Renal and urinary disorders | |||||||
| Blood creatinine increased | - | - | - | 42.2 | 39.8 | - | - |
| Blood urea increased | - | - | - | 36.7 | 34.3 | - | - |
| General disorders and administration site conditions | |||||||
| Asthenia | - | - | - | 49.1 | 41.2 | 35.4 | 33.8 |
| Edema b | 21.0 | 28.2 | 8.4 | 67.5 | 55.7 | 48.4 | 47.7 |
| Pain c | 24.8 | 32.2 | 9.6 | 79.2 | 77.5 | 74.0 | 77.5 |
| Pyrexia | - | - | - | 56.4 | 53.6 | 52.3 | 56.1 |
a:“-” Indicates that the incidence was below the cutoff value of 20% for inclusion in the table.
b:“Edema” includes peripheral edema, facial edema, scrotal edema.
c:“Pain” includes musculoskeletal pain (myalgia, neck pain, back pain).
In the three de novokidney studies, patients receiving 2 g/day of mycophenolate mofetil had an overall better safety profile than did patients receiving 3 g/day of mycophenolate mofetil.
Post-transplant lymphoproliferative disease (PTLD, pseudolymphoma) developed in 0.4% to 1% of patients receiving mycophenolate mofetil (2 g or 3 g daily) with other immunosuppressive agents in controlled clinical trials of kidney, heart and liver transplant patients followed for at least 1 year [see Warnings and Precautions (5.2)]. Non- melanoma skin carcinomas occurred in 1.6% to 4.2% of patients, other types of malignancy in 0.7% to 2.1% of patients. Three-year safety data in kidney and heart transplant patients did not reveal any unexpected changes in incidence of malignancy compared to the 1-year data. In pediatric patients, PTLD was observed in 1.35% (2/148) by 12 months post-transplant.
Cytopenias, including leukopenia, anemia, thrombocytopenia and pancytopenia are a known risk associated with mycophenolate and may lead or contribute to the occurrence of infections and hemorrhages [see Warnings and Precautions (5.3)] . Severe neutropenia (ANC <0.5 x 10 3/µL) developed in up to 2% of kidney transplant patients, up to 2.8% of heart transplant patients and up to 3.6% of liver transplant patients receiving mycophenolate mofetil 3 g daily [see Warnings and Precautions (5.4)and Dosage and Administration (2.5)].
The most common opportunistic infections in patients receiving mycophenolate mofetil with other immunosuppressants were mucocutaneous candida, CMV viremia/syndrome, and herpes simplex. The proportion of patients with CMV viremia/syndrome was 13.5%. In patients receiving mycophenolate mofetil (2 g or 3 g) in controlled studies for prevention of kidney, heart or liver rejection, fatal infection/sepsis occurred in approximately 2% of kidney and heart patients and in 5% of liver patients [see Warnings and Precautions (5.3)]. The most serious gastrointestinal disorders reported were ulceration and hemorrhage, which are known risks associated with mycophenolate mofetil. Mouth, esophageal, gastric, duodenal, and intestinal ulcers often complicated by hemorrhage, as well as hematemesis, melena, and hemorrhagic forms of gastritis and colitis were commonly reported during the pivotal clinical trials, while the most common gastrointestinal disorders were diarrhea, nausea and vomiting. Endoscopic investigation of patients with mycophenolate mofetil-related diarrhea revealed isolated cases of intestinal villous atrophy [see Warnings and Precautions (5.5)] .
The following adverse reactions were reported with 3% to <20% incidence in kidney, heart, and liver transplant patients treated with mycophenolate mofetil, in combination with cyclosporine and corticosteroids.
| System Organ Class | Adverse Reactions |
|---|---|
| Body as a Whole | cellulitis, chills, hernia, malaise |
| Infections and Infestations | fungal infections |
| Hematologic and Lymphatic | coagulation disorder, ecchymosis, pancytopenia |
| Urogenital | hematuria |
| Cardiovascular | hypotension |
| Metabolic and Nutritional | acidosis, alkaline phosphatase increased, hyperlipemia, hypophosphatemia, weight loss |
| Digestive | esophagitis, flatulence, gastritis, gastrointestinal hemorrhage, hepatitis, ileus, nausea and vomiting, stomach ulcer, stomatitis |
| Neoplasm benign, malignant and unspecified | neoplasm |
| Skin and Appendages | skin benign neoplasm, skin carcinoma |
| Psychiatric | confusional state |
| Nervous | hypertonia, paresthesia, somnolence |
| Musculoskeletal | arthralgia, myasthenia |
Pediatrics
The type and frequency of adverse events in a clinical study for prevention of kidney allograft rejection in 100 pediatric patients 3 months to 18 years of age dosed with mycophenolate mofetil oral suspension 600 mg/m 2twice daily (up to 1 g twice daily) were generally similar to those observed in adult patients dosed with mycophenolate mofetil capsules at a dose of 1 g twice daily with the exception of abdominal pain, fever, infection, pain, sepsis, diarrhea, vomiting, pharyngitis, respiratory tract infection, hypertension, leukopenia, and anemia, which were observed in a higher proportion in pediatric patients.
Safety information in pediatric heart transplant or pediatric liver transplant patients treated with mycophenolate mofetil is supported by an open-label study in pediatric liver transplant patients and publications; the type and frequency of the reported adverse reactions are consistent with those observed in pediatric patients following renal transplant and in adults.
Geriatrics
Geriatric patients (≥65 years), particularly those who are receiving mycophenolate mofetil as part of a combination immunosuppressive regimen, may be at increased risk of certain infections (including cytomegalovirus [CMV] tissue invasive disease) and possibly gastrointestinal hemorrhage and pulmonary edema, compared to younger individuals [see Warnings and Precautions (5.3)and Adverse Reactions (6.1)].
Pregnancy Exposure Registry
There is a pregnancy exposure registry that monitors pregnancy outcomes in women exposed to mycophenolate during pregnancy and those becoming pregnant within 6 weeks of discontinuing MYHIBBIN treatment. To report a pregnancy or obtain information about the registry, visit the Mycophenolate Pregnancy Registry at www.mycophenolateREMS.com or call 1-800-617-8191.
Risk Summary Use of mycophenolate mofetil (MMF) during pregnancy is associated with an increased risk of first trimester pregnancy loss and an increased risk of multiple congenital malformations in multiple organ systems (see Human Data). Oral administration of mycophenolate to rats and rabbits during the period of organogenesis produced congenital malformations and pregnancy loss at doses less than the recommended clinical dose (0.01 to 0.05 times the recommended clinical doses in kidney and heart transplant patients) (see Animal Data). Consider alternative immunosuppressants with less potential for embryofetal toxicity. Risks and benefits of MYHIBBIN should be discussed with the pregnant woman. The background risk of pregnancy loss and congenital malformations in organ transplant populations is not clear. In the U.S. general population, the estimated background risk of major birth defects and miscarriage in clinically recognized pregnancies is 2 to 4% and 15 to 20%, respectively.
Data
Human Data
A spectrum of congenital malformations (including multiple malformations in individual newborns) has been reported in 23 to 27% of live births in MMF exposed pregnancies, based on published data from pregnancy registries. Malformations that have been documented include external ear, eye, and other facial abnormalities including cleft lip and palate, and anomalies of the distal limbs, heart, esophagus, kidney, and nervous system.
Based on published data from pregnancy registries, the risk of first trimester pregnancy loss has been reported at 45 to 49% following MMF exposure.
Animal Data
In animal reproductive toxicology studies, there were increased rates of fetal resorptions and malformations in the absence of maternal toxicity. Oral administration of MMF to pregnant rats from Gestational Day 7 to Day 16 produced increased embryofetal lethality and fetal malformations including anophthalmia, agnathia, and hydrocephaly at doses equivalent to 0.015 and 0.01 times the recommended human doses for renal and cardiac transplant patients, respectively, when corrected for BSA. Oral administration of MMF to pregnant rabbits from Gestational Day 7 to Day 19 produced increased embryofetal lethality and fetal malformations included ectopia cordis, ectopic kidneys, diaphragmatic hernia, and umbilical hernia at dose equivalents as low as 0.05 and 0.03 times the recommended human doses for renal and cardiac transplant patients, respectively, when corrected for BSA.
Risk Summary There are no data on the presence of mycophenolate in human milk, or the effects on milk production. There are limited data in the National Transplantation Pregnancy Registry on the effects of mycophenolate on a breastfed child (see Data). Studies in rats treated with MMF have shown mycophenolic acid (MPA) to be present in milk. Because available data are limited, it is not possible to exclude potential risks to a breastfeeding infant. The developmental and health benefits of breastfeeding should be considered along with the mother’s clinical need for MYHIBBIN and any potential adverse effects on the breastfed infant from MYHIBBIN or from the underlying maternal condition.
Data Limited information is available from the National Transplantation Pregnancy Registry. Of seven infants reported by the National Transplantation Pregnancy Registry to have been breastfed while the mother was taking mycophenolate, all were born at 34-40 weeks gestation, and breastfed for up to 14 months. No adverse events were reported.
Pregnancy Planning
For patients who are considering pregnancy, consider alternative immunosuppressants with less potential for embryofetal toxicity whenever possible. Risks and benefits of MYHIBBIN should be discussed with the patient.
Pregnancy Testing
To prevent unplanned exposure during pregnancy, all females of reproductive potential should have a serum or urine pregnancy test with a sensitivity of at least 25 mlU/mL immediately before starting MYHIBBIN. Another pregnancy test with the same sensitivity should be done 8 to 10 days later. Repeat pregnancy tests should be performed during routine follow-up visits. Results of all pregnancy tests should be discussed with the patient. In the event of a positive pregnancy test, consider alternative immunosuppressants with less potential for embryofetal toxicity whenever possible.
Contraception
Female Patients
Females of reproductive potential taking MYHIBBIN must receive contraceptive counseling and use acceptable contraception (see Table 5for acceptable contraception methods). Patients must use acceptable birth control during the entire MYHIBBIN therapy, and for 6 weeks after stopping MYHIBBIN, unless the patient chooses abstinence.
Patients should be aware that MYHIBBIN reduces blood levels of the hormones from the oral contraceptive pill and could theoretically reduce its effectiveness [see Drug Interactions (7.2)].
| Option 1 | |||
| Methods to Use Alone |
| ||
| OR | |||
| Option 2 | Hormone Methods choose 1 | Barrier Methods choose 1 | |
| Choose One Hormone Method AND One Barrier Method | Estrogen and Progesterone
| AND |
|
| OR | |||
| Option 3 | Barrier Methods choose 1 | Barrier Methods choose 1 | |
| Choose One Barrier Method from each column (must choose two methods) |
| AND |
|
Male Patients Genotoxic effects have been observed in animal studies at exposures exceeding the human therapeutic exposures by approximately 1.25 times. Thus, the risk of genotoxic effects on sperm cells cannot be excluded. Based on this potential risk, sexually active male patients and/or their female partners are recommended to use effective contraception during treatment of the male patient and for at least 90 days after cessation of treatment. Also, based on the potential risk of genotoxic effects, male patients should not donate sperm during treatment with MYHIBBIN and for at least 90 days after cessation of treatment [ see Use in Special Populations (8.1), Nonclinical Toxicology (13.1), Patient Counseling Information (17.9)].
Patients with Kidney Transplant No dosage adjustments are needed in kidney transplant patients experiencing delayed graft function postoperatively, but patients should be carefully monitored [ see Clinical Pharmacology (12.3)]. In kidney transplant patients with severe chronic impairment of the graft (GFR <25 mL/min/1.73 m 2), no dose adjustments are necessary; however, doses greater than 1 g administered twice a day should be avoided.
Patients with Heart and Liver Transplant
No data are available for heart or liver transplant patients with severe chronic renal impairment. MYHIBBIN may be used for heart or liver transplant patients with severe chronic renal impairment if the potential benefits outweigh the potential risks.
Patients with Kidney Transplant
No dosage adjustments are recommended for kidney transplant patients with severe hepatic parenchymal disease. However, it is not known whether dosage adjustments are needed for hepatic disease with other etiologies [see Clinical Pharmacology (12.3)].
Patients with Heart Transplant No data are available for heart transplant patients with severe hepatic parenchymal disease.
Treatment and Management
MPA and the phenolic glucuronide metabolite of MPA (MPAG) are usually not removed by hemodialysis. However, at high MPAG plasma concentrations (>100 µg/mL), small amounts of MPAG are removed. By increasing excretion of the drug, MPA can be removed by bile acid sequestrants, such as cholestyramine [see Clinical Pharmacology (12.3)].
Absorption
Following oral administration, MMF undergoes complete conversion to MPA, the active metabolite. In 12 healthy volunteers, the mean absolute bioavailability of oral MMF relative to intravenous MMF was 94%.
The mean (±SD) pharmacokinetic parameters estimates for MPA following the administration of MMF given as single doses to healthy volunteers, and multiple doses to kidney, heart, and liver transplant patients, are shown in Table 6. The area under the plasma-concentration time curve (AUC) for MPA appears to increase in a dose-proportional fashion in kidney transplant patients receiving multiple oral doses of MMF up to a daily dose of 3 g (1.5g twice daily) (see Table 6).
| Healthy Volunteers | Dose/Route | T
max (h) | C
max (mcg/mL) | Total AUC
(mcg∙h/mL) |
| Single dose | 1 g/oral | 0.80
(±0.36) (n=129) | 24.5
(±9.5) (n=129) | 63.9
(±16.2) (n=117) |
| Kidney Transplant Patients (twice daily dosing) Time After Transplantation | Dose/Route | T
max (h) | C
max (mcg/mL) | Interdosing Interval AUC(0-12h)
(mcg∙h/mL) |
| 5 days | 1 g | 1.58
(±0.46) (n=31) | 12.0
(±3.82) (n=31) | 40.8
(±11.4) (n=31) |
| 6 days | 1 g/oral | 1.33
(±1.05) (n=31) | 10.7
(±4.83) (n=31) | 32.9
(±15.0) (n=31) |
| Early (Less than 40 days) | 1 g/oral | 1.31
(±0.76) (n=25) | 8.16
(±4.50) (n=25) | 27.3
(±10.9) (n=25) |
| Early (Less than 40 days) | 1.5 g/oral | 1.21
(±0.81) (n=27) | 13.5
(±8.18) (n=27) | 38.4
(±15.4) (n=27) |
| Late (Greater than 3 months) | 1.5 g/oral | 0.90
(±0.24) (n=23) | 24.1
(±12.1) (n=23) | 65.3
(±35.4) (n=23) |
| Heart Transplant Patients (twice daily dosing) Time After Transplantation | Dose/Route | T
max (h) | C
max (mcg/mL) | Interdosing Interval AUC(0-12h)
(mcg∙h/mL) |
| Early (Day before discharge) | 1.5 g/oral | 1.8
(±1.3) (n=11) | 11.5
(±6.8) (n=11) | 43.3
(±20.8) (n=9) |
| Late (Greater than 6 months) | 1.5 g/oral | 1.1
(±0.7) (n=52) | 20.0
(±9.4) (n=52) | 54.1
a (±20.4) (n=49) |
| Liver Transplant Patients (twice daily dosing) Time After Transplantation | Dose/Route | T
max (h) | C
max (mcg/mL) | Interdosing Interval AUC(0-12h)
(mcg∙h/mL) |
| 4 to 9 days | 1 g | 1.50
(±0.517) (n=22) | 17.0
(±12.7) (n=22) | 34.0
(±17.4) (n=22) |
| Early (5 to 8 days) | 1.5 g/oral | 1.15
(±0.432) (n=20) | 13.1
(±6.76) (n=20) | 29.2
(±11.9) (n=20) |
| Late (Greater than 6 months) | 1.5 g/oral | 1.54
(±0.51) (n=6) | 19.3
(±11.7) (n=6) | 49.3
(±14.8) (n=6) |
aAUC(0-12h) values quoted are extrapolated from data from samples collected over 4 hours.
In the early post-transplant period (less than 40 days post-transplant), kidney, heart, and liver transplant patients had mean MPA AUCs approximately 20% to 41% lower and mean C maxapproximately 32% to 44% lower compared to the late transplant period (i.e., 3 to 6 months post-transplant) (non-stationarity in MPA pharmacokinetics).
In liver transplant patients, administration of 1.5 g twice daily oral MMF resulted in mean MPA AUC estimates similar to those found in kidney transplant patients administered 1 g MMF twice daily.
Effect of Food
Food (27 g fat, 650 calories) had no effect on the extent of absorption (MPA AUC) of MMF when administered at doses of 1.5 g twice daily to kidney transplant patients. However, MPA C maxwas decreased by 40% in the presence of food [see Dosage and Administration (2.1)].
Distribution
The mean (±SD) apparent volume of distribution of MPA in 12 healthy volunteers was approximately 3.6 (±1.5) L/kg. At clinically relevant concentrations, MPA is 97% bound to plasma albumin. The phenolic glucuronide metabolite of MPA (MPAG) is 82% bound to plasma albumin at MPAG concentration ranges that are normally seen in stable kidney transplant patients; however, at higher MPAG concentrations (observed in patients with kidney impairment or delayed kidney graft function), the binding of MPA may be reduced as a result of competition between MPAG and MPA for protein binding. Mean blood to plasma ratio of radioactivity concentrations was approximately 0.6 indicating that MPA and MPAG do not extensively distribute into the cellular fractions of blood.
In vitrostudies to evaluate the effect of other agents on the binding of MPA to human serum albumin (HSA) or plasma proteins showed that salicylate (at 25 mg/dL with human serum albumin) and MPAG (at ≥ 460 mcg/mL with plasma proteins) increased the free fraction of MPA. MPA at concentrations as high as 100 mcg/mL had little effect on the binding of warfarin, digoxin or propranolol, but decreased the binding of theophylline from 53% to 45% and phenytoin from 90% to 87%.
Elimination
Mean (±SD) apparent half-life and plasma clearance of MPA are 17.9 (±6.5) hours and 193 (±48) mL/min following oral administration.
Metabolism
MPA is metabolized principally by glucuronyl transferase to form MPAG, which is not pharmacologically active. In vivo, MPAG is converted to MPA during enterohepatic recirculation. The following metabolites of the 2-hydroxyethyl-morpholino moiety are also recovered in the urine following oral administration of MMF to healthy subjects: N-(2-carboxymethyl)-morpholine, N-(2-hydroxyethyl)- morpholine, and the N-oxide of N-(2-hydroxyethyl)-morpholine.
Due to the enterohepatic recirculation of MPAG/MPA, secondary peaks in the plasma MPA concentration-time profile are usually observed 6 to 12 hours post-dose. Bile sequestrants, such as cholestyramine, reduce MPA AUC by interfering with this enterohepatic recirculation of the drug [see Overdosage (10)and Drug Interaction Studiesbelow ].
Excretion
Negligible amount of drug is excreted as MPA (less than 1% of dose) in the urine. Orally administered radiolabeled MMF resulted in complete recovery of the administered dose, with 93% of the administered dose recovered in the urine and 6% recovered in feces. Most (about 87%) of the administered dose is excreted in the urine as MPAG. At clinically encountered concentrations, MPA and MPAG are usually not removed by hemodialysis. However, at high MPAG plasma concentrations (> 100 mcg/mL), small amounts of MPAG are removed.
Increased plasma concentrations of MMF metabolites (MPA 50% increase and MPAG about a 3-fold to 6-fold increase) are observed in patients with renal insufficiency [see Specific Populations].
Specific Populations
Patients with Renal Impairment
The mean (±SD) pharmacokinetic parameters for MPA following the administration of oral MMF given as single doses to non-transplant subjects with renal impairment are presented in Table 7.
Plasma MPA AUC observed after oral dosing to volunteers with severe chronic renal impairment (GFR < 25 mL/min/1.73 m 2) was about 75% higher relative to that observed in healthy volunteers (GFR > 80 mL/min/1.73 m 2). In addition, the single-dose plasma MPAG AUC was 3-fold to 6-fold higher in volunteers with severe renal impairment than in volunteers with mild renal impairment or healthy volunteers, consistent with the known renal elimination of MPAG. No data are available on the safety of long-term exposure to this level of MPAG. Multiple dosing of MMF in patients with severe chronic renal impairment has not been studied.
Patients with Delayed Graft Function or Nonfunction
In patients with delayed renal graft function post-transplant, mean MPA AUC(0-12h) was comparable to that seen in post-transplant patients without delayed renal graft function. There is a potential for a transient increase in the free fraction and concentration of plasma MPA in patients with delayed renal graft function. However, dose adjustment does not appear to be necessary in patients with delayed renal graft function. Mean plasma MPAG AUC(0-12h) was 2-fold to 3-fold higher than in post-transplant patients without delayed renal graft function [see Dosage and Administration (2.5)].
In eight patients with primary graft non-function following kidney transplantation, plasma concentrations of MPAG accumulated about 6-fold to 8-fold after multiple dosing for 28 days. Accumulation of MPA was about 1-fold to 2-fold.
The pharmacokinetics of MMF are not altered by hemodialysis. Hemodialysis usually does not remove MPA or MPAG. At high concentrations of MPAG (> 100 mcg/mL), hemodialysis removes only small amounts of MPAG.
Patients with Hepatic Impairment
The mean (± SD) pharmacokinetic parameters for MPA following the administration of oral MMF given as single doses to non-transplant subjects with hepatic impairment is presented in Table 7.
In a single-dose (1 g oral) study of 18 volunteers with alcoholic cirrhosis and 6 healthy volunteers, hepatic MPA glucuronidation processes appeared to be relatively unaffected by hepatic parenchymal disease when pharmacokinetic parameters of healthy volunteers and alcoholic cirrhosis patients within this study were compared. However, it should be noted that for unexplained reasons, the healthy volunteers in this study had about a 50% lower AUC as compared to healthy volunteers in other studies, thus making comparisons between volunteers with alcoholic cirrhosis and healthy volunteers difficult.
| Pharmacokinetic Parameters for Renal Impairment | ||||
| Dose | T
max (h) | C
max (mcg/mL) | AUC(0-96h)
(mcg∙h/mL) | |
| Healthy Volunteers
GFR greater than 80 mL/min/1.73 m 2 (n=6) | 1 g | 0.75
(±0.27) | 25.3
(±7.99) | 45.0
(±22.6) |
| Mild Renal Impairment
GFR 50 to 80 mL/min/1.73 m 2 (n=6) | 1 g | 0.75
(±0.27) | 26.0
(±3.82) | 59.9
(±12.9) |
| Moderate Renal Impairment
GFR 25 to 49 mL/min/1.73 m 2 (n=6) | 1 g | 0.75
(±0.27) | 19.0
(±13.2) | 52.9
(±25.5) |
| Severe Renal Impairment
GFR less than 25 mL/min/1.73 m 2 (n=7) | 1 g | 1.00
(±0.41) | 16.3
(±10.8) | 78.6
(±46.4) |
| Pharmacokinetic Parameters for Hepatic Impairment | ||||
| Dose | T
max (h) | C
max (mcg/mL) | AUC(0-48h)
(mcg∙h/mL) | |
| Healthy Volunteers
(n=6) | 1 g | 0.63
(±0.14) | 24.3
(±5.73) | 29.0
(±5.78) |
| Alcoholic Cirrhosis
(n=18) | 1 g | 0.85
(±0.58) | 22.4
(±10.1) | 29.8
(±10.7) |
Pediatric Patients
The pharmacokinetic parameters of MPA and MPAG have been evaluated in 55 pediatric patients (ranging from 1 year to 18 years of age) receiving MMF oral suspension at a dose of 600 mg/m 2twice daily (up to a maximum of 1 g twice daily) after allogeneic kidney transplantation. The pharmacokinetic data for MPA is provided in Table 8.
| Age Group | (n) | Time | T
max (h) | Dose Adjusted
aC
max (mcg/mL) | Dose Adjusted
aAUC
0-12 (mcg∙h/mL) | |||
|---|---|---|---|---|---|---|---|---|
| Early (Day 7) | ||||||||
| 1 to less than 2 yr | (6) d | 3.03 | (4.70) | 10.3 | (5.80) | 22.5 | (6.66) | |
| 1 to less than 6 yr | (17) | 1.63 | (2.85) | 13.2 | (7.16) | 27.4 | (9.54) | |
| 6 to less than 12 yr | (16) | 0.940 | (0.546) | 13.1 | (6.30) | 33.2 | (12.1) | |
| 12 to 18 yr | (21) | 1.16 | (0.830) | 11.7 | (10.7) | 26.3 | (9.14) b | |
| Late (Month 3) | ||||||||
| 1 to less than 2 yr | (4) d | 0.725 | (0.276) | 23.8 | (13.4) | 47.4 | (14.7) | |
| 1 to less than 6 yr | (15) | 0.989 | (0.511) | 22.7 | (10.1) | 49.7 | (18.2) | |
| 6 to less than 12 yr | (14) | 1.21 | (0.532) | 27.8 | (14.3) | 61.9 | (19.6) | |
| 12 to 18 yr | (17) | 0.978 | (0.484) | 17.9 | (9.57) | 53.6 | (20.3) c | |
| Late (Month 9) | ||||||||
| 1 to less than 2 yr | (4) d | 0.604 | (0.208) | 25.6 | (4.25) | 55.8 | (11.6) | |
| 1 to less than 6 yr | (12) | 0.869 | (0.479) | 30.4 | (9.16) | 61.0 | (10.7) | |
| 6 to less than 12 yr | (11) | 1.12 | (0.462) | 29.2 | (12.6) | 66.8 | (21.2) | |
| 12 to 18 yr | (14) | 1.09 | (0.518) | 18.1 | (7.29) | 56.7 | (14.0) | |
aadjusted to a dose of 600 mg/m
2
bn=20
cn=16
da subset of 1 to < 6 yr
The MMF oral suspension dose of 600 mg/m 2twice daily (up to a maximum of 1 g twice daily) achieved mean MPA AUC values in pediatric patients similar to those seen in adult kidney transplant patients receiving oral doses of 1 g twice daily in the early post-transplant period. There was wide variability in the data. As observed in adults, early post-transplant MPA AUC values were approximately 45% to 53% lower than those observed in the later post-transplant period (>3 months). MPA AUC values were similar in the early and late post-transplant period across the 1 to 18-year age range.
A comparison of dose-normalized (to 600 mg/m 2) MPA AUC values in 12 pediatric kidney transplant patients less than 6 years of age at 9 months post-transplant with those values in 7 pediatric liver transplant patients [median age 17 months (range: 10 – 60 months)] and at 6 months and beyond post-transplant revealed that, at the same dose, there were on average 23% lower AUC values in the pediatric liver compared to pediatric kidney patients. This is consistent with the need for higher dosing in adult liver transplant patients compared to kidney transplant patients to achieve the same exposure.
In adult transplant patients administered the same dosage of MMF, there is similar MPA exposure among kidney transplant and heart transplant patients. Based on the established similarity in MPA exposure between pediatric kidney transplant and adult kidney transplant patients at their respective approved doses, it is expected that MPA exposure at the recommended dosage will be similar in pediatric heart transplant and adult heart transplant patients.
Male and Female Patients
Data obtained from several studies were pooled to look at any gender-related differences in the pharmacokinetics of MPA (data were adjusted to 1 g oral dose). Mean (±SD) MPA AUC (0-12h) for males (n=79) was 32.0 (±14.5) and for females (n=41) was 36.5 (±18.8) mcg∙h/mL while mean (±SD) MPA C maxwas 9.96 (±6.19) in the males and 10.6 (±5.64) mcg/mL in the females. These differences are not of clinical significance.
Geriatric Patients
The pharmacokinetics of MMF and its metabolites have not been found to be altered in geriatric transplant patients when compared to younger transplant patients.
Drug Interaction Studies
Acyclovir
Coadministration of MMF (1 g) and acyclovir (800 mg) to 12 healthy volunteers resulted in no significant change in MPA AUC and C max. However, MPAG and acyclovir plasma AUCs were increased 10.6% and 21.9%, respectively.
Antacids with Magnesium and Aluminum Hydroxides
Absorption of a single dose of MMF (2 g) was decreased when administered to 10 rheumatoid arthritis patients also taking Maalox ®TC (10 mL qid). The C maxand AUC(0-24h) for MPA were 33% and 17% lower, respectively, than when MMF was administered alone under fasting conditions.
Proton Pump Inhibitors (PPIs)
Coadministration of PPIs (e.g., lansoprazole, pantoprazole) in single doses to healthy volunteers and multiple doses to transplant patients receiving MMF has been reported to reduce the exposure to MPA. An approximate reduction of 30 to 70% in the C maxand 25% to 35% in the AUC of MPA has been observed, possibly due to a decrease in MPA solubility at an increased gastric pH.
Cholestyramine
Following single-dose administration of 1.5 g MMF to 12 healthy volunteers pretreated with 4 g three times a day of cholestyramine for 4 days, MPA AUC decreased approximately 40%. This decrease is consistent with interruption of enterohepatic recirculation which may be due to binding of recirculating MPAG with cholestyramine in the intestine.
Cyclosporine
Cyclosporine (Sandimmune ®) pharmacokinetics (at doses of 275 to 415 mg/day) were unaffected by single and multiple doses of 1.5 g twice daily of MMF in 10 stable kidney transplant patients. The mean (±SD) AUC(0-12h) and C maxof cyclosporine after 14 days of multiple doses of MMF were 3290 (±822) ng∙h/mL and 753 (±161) ng/mL, respectively, compared to 3245 (±1088) ng∙h/mL and 700 (±246) ng/mL, respectively, 1 week before administration of MMF.
Cyclosporine A interferes with MPA enterohepatic recirculation. In kidney transplant patients, mean MPA exposure (AUC(0-12h)) was approximately 30-50% greater when MMF was administered without cyclosporine compared with when MMF was coadministered with cyclosporine. This interaction is due to cyclosporine inhibition of multidrug-resistance-associated protein 2 (MRP-2) transporter in the biliary tract, thereby preventing the excretion of MPAG into the bile that would lead to enterohepatic recirculation of MPA. This information should be taken into consideration when MMF is used without cyclosporine.
Drugs Affecting Glucuronidation
Concomitant administration of drugs inhibiting glucuronidation of MPA may increase MPA exposure (e.g., increase of MPA AUC (0-∞) by 35% was observed with concomitant administration of isavuconazole).
Concomitant administration of telmisartan and MMF resulted in an approximately 30% decrease in MPA concentrations. Telmisartan changes MPA's elimination by enhancing PPAR gamma (peroxisome proliferator- activated receptor gamma) expression, which in turn results in an enhanced UGT1A9 expression and glucuronidation activity.
Ganciclovir
Following single-dose administration to 12 stable kidney transplant patients, no pharmacokinetic interaction was observed between MMF (1.5 g) and intravenous ganciclovir (5 mg/kg). Mean (±SD) ganciclovir AUC and C max(n=10) were 54.3 (±19.0) mcg∙h/mL and 11.5 (±1.8) mcg/mL, respectively, after coadministration of the two drugs, compared to 51.0 (±17.0) mcg∙h/mL and 10.6 (±2.0) mcg/mL, respectively, after administration of intravenous ganciclovir alone. The mean (±SD) AUC and C maxof MPA (n=12) after coadministration were 80.9 (±21.6) mcg∙h/mL and 27.8 (±13.9) mcg/mL, respectively, compared to values of 80.3 (±16.4) µg∙h/mL and 30.9 (±11.2) mcg/mL, respectively, after administration of MMF alone.
Oral Contraceptives
A study of coadministration of MMF (1 g twice daily) and combined oral contraceptives containing ethinylestradiol (0.02 mg to 0.04 mg) and levonorgestrel (0.05 mg to 0.20 mg), desogestrel (0.15 mg) or gestodene (0.05 mg to 0.10 mg) was conducted in 18 women with psoriasis over 3 consecutive menstrual cycles. Mean serum levels of LH, FSH and progesterone were not significantly affected. Mean AUC(0-24h) was similar for ethinylestradiol and 3-keto desogestrel; however, mean levonorgestrel AUC(0-24h) significantly decreased by about 15%. There was large inter-patient variability (%CV in the range of 60% to 70%) in the data, especially for ethinylestradiol.
Sevelamer
Concomitant administration of sevelamer and MMF in adult and pediatric patients decreased the mean MPA C maxand AUC (0-12h) by 36% and 26% respectively.
Antimicrobials
Antimicrobials eliminating beta-glucuronidase-producing bacteria in the intestine (e.g. aminoglycoside, cephalosporin, fluoroquinolone, and penicillin classes of antimicrobials) may interfere with the MPAG/MPA enterohepatic recirculation thus leading to reduced systemic MPA exposure. Information concerning antibiotics is as follows:
- Trimethoprim/Sulfamethoxazole: Following single-dose administration of MMF (1.5 g) to 12 healthy male volunteers on day 8 of a 10-day course of trimethoprim 160 mg/sulfamethoxazole 800 mg administered twice daily, no effect on the bioavailability of MPA was observed. The mean (±SD) AUC and C maxof MPA after concomitant administration were 75.2 (±19.8) mcg∙h/mL and 34.0 (±6.6) µg/mL, respectively, compared to 79.2 (±27.9) mcg∙h/mL and 34.2 (±10.7) mcg/mL, respectively, after administration of MMF alone.
- Norfloxacin and Metronidazole: Following single-dose administration of MMF (1 g) to 11 healthy volunteers on day 4 of a 5-day course of a combination of norfloxacin and metronidazole, the mean MPA AUC(0-48h) was significantly reduced by 33% compared to the administration of MMF alone (p<0.05). The mean (±SD) MPA AUC(0-48h) after coadministration of MMF with norfloxacin or metronidazole separately was 48.3 (±24) mcg∙h/mL and 42.7 (±23) mcg∙h/mL, respectively, compared with 56.2 (±24) mcg∙h/mL after administration of MMF alone.
- Ciprofloxacin and Amoxicillin Plus Clavulanic Acid :A total of 64 MMF -treated kidney transplant recipients received either oral ciprofloxacin 500 mg twice daily or amoxicillin plus clavulanic acid 375 mg three times daily for 7 or at least 14 days, respectively. Approximately 50% reductions in median trough MPA concentrations (pre-dose) from baseline (MMF alone) were observed in 3 days following commencement of oral ciprofloxacin or amoxicillin plus clavulanic acid. These reductions in trough MPA concentrations tended to diminish within 14 days of antimicrobial therapy and ceased within 3 days of discontinuation of antibiotics.
- Rifampin: In a single heart-lung transplant patient, after correction for dose, a 67% decrease in MPA exposure (AUC(0-12h)) has been observed with concomitant administration of MMF and rifampin.
- Inform females of reproductive potential and pregnant women that use of MYHIBBIN during pregnancy is associated with an increased risk of first trimester pregnancy loss and an increased risk of congenital malformations. Advise that they must use an acceptable form of contraception [see Warnings and Precautions (5.1), Use in Specific Populations (8.1, 8.3)].
- Encourage pregnant women to enroll in the Pregnancy Exposure Registry. This registry monitors pregnancy outcomes in women exposed to mycophenolate [see Use in Specific Populations (8.1)].
- Discuss pregnancy testing, pregnancy prevention and planning with females of reproductive potential [see Use in Specific Populations (8.3)].
- Females of reproductive potential must use an acceptable form of birth control during the entire MYHIBBIN therapy and for 6 weeks after stopping MYHIBBIN, unless the patient chooses abstinence .MYHIBBIN may reduce effectiveness of oral contraceptives. Use of additional barrier contraceptive methods is recommended [see Use in Specific Populations (8.3)].
- For patients who are considering pregnancy, discuss appropriate alternative immunosuppressants with less potential for embryofetal toxicity. Risks and benefits of MYHIBBIN should be discussed with the patient.
- Advise sexually active male patients and/or their partners to use effective contraception during the treatment of the male patient and for at least 90 days after cessation of treatment. This recommendation is based on findings of animal studies [see Use in Specific Populations (8.3), Nonclinical Toxicology (13.1)].
Adults
The three de novokidney transplantation studies compared two dose levels of oral mycophenolate mofetil (1 g twice daily and 1.5 g twice daily) with azathioprine (2 studies) or placebo (1 study) to prevent acute rejection episodes. One of the two studies with azathioprine (AZA) control arm also included anti-thymocyte globulin (ATGAM ®) induction therapy. The geographic location of the investigational sites of these studies are included in Table 9.
In all three de novokidney transplantation studies, the primary efficacy endpoint was the proportion of patients in each treatment group who experienced treatment failure within the first 6 months after transplantation. Treatment failure was defined as biopsy-proven acute rejection on treatment or the occurrence of death, graft loss or early termination from the study for any reason without prior biopsy-proven rejection.
Mycophenolate mofetil, in combination with corticosteroids and cyclosporine, reduced (statistically significant at 0.05 level) the incidence of treatment failure within the first 6 months following transplantation ( Table 9). Patients who prematurely discontinued treatment were followed for the occurrence of death or graft loss, and the cumulative incidence of graft loss and patient death combined are summarized in Table 10. Patients who prematurely discontinued treatment were not followed for the occurrence of acute rejection after termination.
| *Does not include death and graft loss as reason for early termination. | |||
| USA Study | MYCOPHENOLATE MOFETIL
2 g/day | MYCOPHENOLATE MOFETIL
3 g/day | AZA
1 to 2 mg/kg/day |
| (N=499 patients) | (n=167 patients) | (n=166 patients) | (n=166 patients) |
| All 3 groups received anti-thymocyte globulin induction, cyclosporine and corticosteroids | |||
| All treatment failures | 31.1% | 31.3% | 47.6% |
| Early termination without prior acute rejection | 9.6% | 12.7% | 6.0% |
| Biopsy-proven rejection episode on treatment | 19.8% | 17.5% | 38.0% |
| Europe/Canada/Australia Study
(N=503 patients) | MYCOPHENOLATE MOFETIL
2 g/day (n=173 patients) | MYCOPHENOLATE MOFETIL
3 g/day (n=164 patients) | AZA
100 to 150 mg/day (n=166 patients) |
| No induction treatment administered; all 3 groups received cyclosporine and corticosteroids. | |||
| All treatment failures | 38.2% | 34.8% | 50.0% |
| Early termination without prior acute rejection | 13.9% | 15.2% | 10.2% |
| Biopsy-proven rejection episode on treatment | 19.7% | 15.9% | 35.5% |
| Europe Study | MYCOPHENOLATE MOFETIL
2 g/day | MYCOPHENOLATE MOFETIL
3 g/day | Placebo |
| (N=491 patients) | (n=165 patients) | (n=160 patients) | (n=166 patients) |
| No induction treatment administered; all 3 groups received cyclosporine and corticosteroids. | |||
| All treatment failures | 30.3% | 38.8% | 56.0% |
| Early termination without prior acute rejection | 11.5% | 22.5% | 7.2% |
| Biopsy-proven rejection episode on treatment | 17.0% | 13.8% | 46.4% |
No advantage of mycophenolate mofetil at 12 months with respect to graft loss or patient death (combined) was established ( Table 10). Numerically, patients receiving mycophenolate mofetil 2 g/day and 3 g/day experienced a better outcome than controls in all three studies; patients receiving mycophenolate mofetil 2 g/day experienced a better outcome than mycophenolate mofetil 3 g/day in two of the three studies. Patients in all treatment groups who terminated treatment early were found to have a poor outcome with respect to graft loss or patient death at 1 year.
| Study | MYCOPHENOLATE MOFETIL 2 g/day | MYCOPHENOLATE MOFETIL 3 g/day | Control
(AZA or Placebo) |
|---|---|---|---|
| USA | 8.5% | 11.5% | 12.2% |
| Europe/Canada/Australia | 11.7% | 11.0% | 13.6% |
| Europe | 8.5% | 10.0% | 11.5% |
Pediatrics- De Novo Kidney transplantation PK Study with Long Term Follow-Up One open-label, safety and pharmacokinetic study of mycophenolate mofetil oral suspension 600 mg/m 2twice daily (up to 1 g twice daily) in combination with cyclosporine and corticosteroids was performed at centers in the United States (9), Europe (5) and Australia (1) in 100 pediatric patients (3 months to 18 years of age) for the prevention of renal allograft rejection. Mycophenolate mofetil was well tolerated in pediatric patients [see Adverse Reactions (6.1)]. The rate of biopsy-proven rejection was similar across the age groups (3 months to <6 years, 6 years to <12 years, 12 years to 18 years). The overall biopsy-proven rejection rate at 6 months was comparable to adults. The combined incidence of graft loss (5%) and patient death (2%) at 12 months post-transplant was similar to that observed in adult kidney transplant patients.
Advise the patient to read the FDA-approved patient labeling ( Medication Guide).
Pregnancy loss and malformation
Contraception
Distributed by:
Azurity Pharmaceuticals, Inc.
Woburn, MA 01801 USA
MYH-PI-01 Rev. 05/2024
2.3 Recommended Dosage For Heart Transplant Patients
Adults
The recommended dosage for adult heart transplant patients is 1.5 g orally administered twice daily (total daily dose of 3 g).
Pediatric Patients 3 months and older
The recommended starting dosage for pediatric heart transplant patients 3 months and older is 600 mg/m 2, administered twice daily. If well tolerated, the dose can be increased to a maintenance dosage of 900 mg/m 2administered twice daily (maximum total daily dose of 3 g or 15 mL of the oral suspension). The dose may be individualized based on clinical assessment.
2.4 Recommended Dosage For Liver Transplant Patients
Adults
The recommended dosage for adult liver transplant patients is 1.5 g administered orally twice daily (total daily dose of 3 g).
Pediatrics Patients 3 months and older
The recommended starting dosage for pediatric liver transplant patients 3 months and older is 600 mg/m 2, administered twice daily. If well tolerated, the dose can be increased to a maintenance dosage of 900 mg/m 2administered twice daily (maximum total daily dose of 3 g or 15 mL of the oral suspension). The dose may be individualized based on clinical assessment.
3 Dosage Forms And Strengths
Oral suspension: mycophenolate mofetil 200 mg/mL in a white to off-white suspension.
4 Contraindications
Allergic reactions to mycophenolate mofetil have been observed; therefore, MYHIBBIN is contraindicated in patients with a hypersensitivity to mycophenolate mofetil (MMF), mycophenolic acid (MPA), polysorbate 80 (TWEEN) or any other component of the drug product.
5.1 Embryofetal Toxicity
Use of MMF during pregnancy is associated with an increased risk of first trimester pregnancy loss and an increased risk of congenital malformations, especially external ear and other facial abnormalities including cleft lip and palate, and anomalies of the distal limbs, heart, esophagus, kidney and nervous system. Females of reproductive potential must be made aware of these risks and must be counseled regarding pregnancy prevention and planning. Avoid use of MYHIBBIN during pregnancy if safer treatment options are available [see Use in Specific Populations (8.1, 8.3)].
5.2 Lymphoma And Other Malignancies
Patients receiving immunosuppressants, including MYHIBBIN, are at increased risk of developing lymphomas and other malignancies, particularly of the skin [see Adverse Reactions (6.1)]. The risk appears to be related to the intensity and duration of immunosuppression rather than to the use of any specific agent. For patients with increased risk for skin cancer, exposure to sunlight and UV light should be limited by wearing protective clothing and using a broad-spectrum sunscreen with a high protection factor.
Post-transplant lymphoproliferative disorder (PTLD) developed in 0.4% to 1% of patients receiving mycophenolate mofetil (2 g or 3 g) with other immunosuppressive agents in controlled clinical trials of kidney, heart and liver transplant patients [see Adverse Reactions (6.1)]. The majority of PTLD cases appear to be related to Epstein Barr Virus (EBV) infection. The risk of PTLD appears greatest in those individuals who are EBV seronegative, a population which includes many young children. In pediatric patients, no other malignancies besides PTLD were observed in clinical trials [see Adverse Reactions (6.1)].
5.3 Serious Infections
Patients receiving immunosuppressants, including MYHIBBIN, are at increased risk of developing bacterial, fungal, protozoal and new or reactivated viral infections, including opportunistic infections. The risk increases with the total immunosuppressive load. These infections may lead to serious outcomes, including hospitalizations and death [see Adverse Reactions (6.1, 6.2)].
Serious viral infections reported include:
- Polyomavirus-associated nephropathy (PVAN), especially due to BK virus infection
- JC virus-associated progressive multifocal leukoencephalopathy (PML), and
- Cytomegalovirus (CMV) infections: CMV seronegative transplant patients who receive an organ from a CMV seropositive donor are at highest risk of CMV viremia and CMV disease.
- Viral reactivation in patients infected with Hepatitis B and C
- COVID-19
Consider dose reduction or discontinuation of MYHIBBIN in patients who develop new infections or reactivate viral infections, weighing the risk that reduced immunosuppression represents to the functioning allograft.
PVAN, especially due to BK virus infection, is associated with serious outcomes, including deteriorating renal function and renal graft loss [see Adverse Reactions (6.2)]. Patient monitoring may help detect patients at risk for PVAN.
PML, which is sometimes fatal, commonly presents with hemiparesis, apathy, confusion, cognitive deficiencies, and ataxia [see Adverse Reactions (6.2)] . In immunosuppressed patients, physicians should consider PML in the differential diagnosis in patients reporting neurological symptoms.
The risk of CMV viremia and CMV disease is highest among transplant recipients seronegative for CMV at time of transplant who receive a graft from a CMV seropositive donor. Therapeutic approaches to limiting CMV disease exist and should be routinely provided. Patient monitoring may help detect patients at risk for CMV disease.
Viral reactivation has been reported in patients infected with HBV or HCV. Monitoring infected patients for clinical and laboratory signs of active HBV or HCV infection is recommended.
5.4 Blood Dyscrasias: Neutropenia And Pure Red Cell Aplasia (Prca)
Severe neutropenia [absolute neutrophil count (ANC) <0.5 x 10 3/µL] developed in transplant patients receiving MMF 3 g daily [see Adverse Reactions (6.1)]. Patients receiving MYHIBBIN should be monitored for neutropenia .Neutropenia has been observed most frequently in the period from 31 to 180 days post-transplant in patients treated for prevention of kidney, heart and liver rejection. The development of neutropenia may be related to MYHIBBIN itself, concomitant medications, viral infections, or a combination of these causes. If neutropenia develops (ANC <1.3 x 10 3/µL), dosing with MYHIBBIN should be interrupted or the dose reduced, appropriate diagnostic tests performed, and the patient managed appropriately [see Dosage and Administration (2.5)].
Patients receiving MYHIBBIN should be instructed to report immediately any evidence of infection, unexpected bruising, bleeding or any other manifestation of bone marrow depression.
Consider monitoring with complete blood counts weekly for the first month, twice monthly for the second and third months, and monthly for the remainder of the first year.
Cases of pure red cell aplasia (PRCA) have been reported in patients treated with MMF in combination with other immunosuppressive agents. In some cases, PRCA was found to be reversible with dose reduction or cessation of MMF therapy. In transplant patients, however, reduced immunosuppression may place the graft at risk.
5.5 Gastrointestinal Complications
Gastrointestinal bleeding requiring hospitalization, ulceration and perforations were observed in clinical trials. Physicians should be aware of these serious adverse effects particularly when administering MYHIBBIN to patients with a gastrointestinal disease.
5.6 Patients With Hypoxanthine-Guanine Phosphoribosyl-Transferase Deficiency (Hgprt)
Mycophenolate mofetil is an inosine monophosphate dehydrogenase (IMPDH) inhibitor; therefore it should be avoided in patients with hereditary deficiencies of hypoxanthine-guanine phosphoribosyl-transferase (HGPRT) such as Lesch-Nyhan and Kelley-Seegmiller syndromes because it may cause an exacerbation of disease symptoms characterized by the overproduction and accumulation of uric acid leading to symptoms associated with gout such as acute arthritis, tophi, nephrolithiasis or urolithiasis and renal disease including renal failure.
5.7 Acute Inflammatory Syndrome Associated With Mycophenolate Products
Acute inflammatory syndrome (AIS) has been reported with the use of MMF and mycophenolate products, and some cases have resulted in hospitalization. AIS is a paradoxical pro-inflammatory reaction characterized by fever, arthralgias, arthritis, muscle pain and elevated inflammatory markers including, C-reactive protein and erythrocyte sedimentation rate, without evidence of infection or underlying disease recurrence. Symptoms occur within weeks to months of initiation of treatment or a dose increase. After discontinuation, improvement of symptoms and inflammatory markers are usually observed within 24 to 48 hours.
Monitor patients for symptoms and laboratory parameters of AIS when starting treatment with mycophenolate products or when increasing the dosage. Discontinue treatment and consider other treatment alternatives based on the risk and benefit for the patient.
5.8 Immunizations
During treatment with MYHIBBIN, the use of live attenuated vaccines should be avoided (e.g., intranasal influenza, measles, mumps, rubella, oral polio, BCG, yellow fever, varicella, and TY21a typhoid vaccines) and patients should be advised that vaccinations may be less effective. Advise patients to discuss with the physician before seeking any immunizations.
5.9 Blood Donation
Patients should not donate blood during therapy and for at least 6 weeks following discontinuation of MYHIBBIN because their blood or blood products might be administered to a female of reproductive potential or a pregnant woman.
5.10 Semen Donation
Based on animal data, men should not donate semen during therapy and for 90 days following discontinuation of MYHIBBIN [see Use In Specific Populations (8.3)] .
5.11 Effect Of Concomitant Medications On Mycophenolic Acid Concentrations
A variety of drugs have potential to alter systemic MPA exposure when co-administered with MYHIBBIN. Therefore, determination of MPA concentrations in plasma before and after making any changes to immunosuppressive therapy, or when adding or discontinuing concomitant medications, may be appropriate to ensure MPA concentrations remain stable.
5.12 Potential Impairment Of Ability To Drive Or Operate Machinery
MYHIBBIN may impact the ability to drive and use machines. Patients should avoid driving or using machines if they experience somnolence, confusion, dizziness, tremor, or hypotension during treatment with MYHIBBIN [see Adverse Reactions (6.1)] .
6 Adverse Reactions
The following adverse reactions are discussed in greater detail in other sections of the label:
- Embryofetal Toxicity [see Warnings and Precautions (5.1)]
- Lymphomas and Other Malignancies [see Warnings and Precautions 5.2)]
- Serious Infections [see Warnings and Precautions (5.3)]
- Blood Dyscrasias: Neutropenia, Pure Red Cell Aplasia [see Warnings and Precautions (5.4)]
- Gastrointestinal Complications [see Warnings and Precautions (5.5)]
- Acute Inflammatory Syndrome Associated with Mycophenolate Products [see Warnings and Precautions (5.7)]
6.1 Clinical Trials Experience
Because clinical trials are conducted under widely varying conditions, adverse reaction rates observed in the clinical trials of a drug cannot be directly compared to rates in the clinical trials of another drug and may not reflect the rates observed in practice.
An estimated total of 1557 adult patients received mycophenolate mofetil during pivotal clinical trials in the prevention of acute organ rejection. Of these, 991 were included in the three renal studies, 277 were included in one hepatic study, and 289 were included in one cardiac study. Patients in all study arms also received cyclosporine and corticosteroids.
The data described below primarily derive from five randomized, active-controlled double-blind 12-month trials of mycophenolate mofetil in de novokidney (3) heart (1) and liver (1) transplant patients [see Clinical Studies (14.1, 14.2, and 14.3)] .
6.2 Postmarketing Experience
The following adverse reactions have been identified during post-approval use of mycophenolate mofetil. Because these reactions are reported voluntarily from a population of uncertain size, it is not always possible to reliably estimate their frequency or establish a causal relationship to drug exposure:
- Embryo-Fetal Toxicity: Congenital malformations and spontaneous abortions, mainly in the first trimester, have been reported following exposure to mycophenolate mofetil (MMF) in combination with other immunosuppressants during pregnancy [see Warnings and Precautions (5.1), and Use in Specific Populations (8.1), (8.3)]. Congenital malformations include:
- Digestive: Colitis, pancreatitis
- Hematologic and Lymphatic: Bone marrow failure, cases of pure red cell aplasia (PRCA) and hypogammaglobulinemia have been reported in patients treated with mycophenolate mofetil in combination with other immunosuppressive agents [see Warnings and Precautions (5.4)] .
- Immune: Hypersensitivity, hypogammaglobinemia.
- Infections: Meningitis, infectious endocarditis, tuberculosis, atypical mycobacterial infection, progressive multifocal leukoencephalopathy, BK virus infection, viral reactivation of hepatitis B and hepatitis C, protozoal infections [see Warnings and Precautions (5.3)] .
- Respiratory: Bronchiectasis, interstitial lung disease, fatal pulmonary fibrosis, have been reported rarely and should be considered in the differential diagnosis of pulmonary symptoms ranging from dyspnea to respiratory failure in post-transplant patients receiving mycophenolate mofetil.
- Vascular:Lymphocele
- Facial malformations: cleft lip, cleft palate, micrognathia, hypertelorism of the orbits
- Abnormalities of the ear and eye: abnormally formed or absent external/middle ear, coloboma, microphthalmos
- Malformations of the fingers: polydactyly, syndactyly, brachydactyly
- Cardiac abnormalities: atrial and ventricular septal defects
- Esophageal malformations: esophageal atresia
- Nervous system malformations: such as spina bifida .
7.1 Effect Of Other Drugs On Myhibbin
| Antacids with Magnesium or Aluminum Hydroxide | |
| Clinical Impact | Concomitant use with an antacid containing magnesium or aluminum hydroxide decreases MPA systemic exposure [see Clinical Pharmacology (12.3)] , which may reduce MYHIBBIN efficacy. |
| Prevention or Management | Administer magnesium or aluminum hydroxide containing antacids at least 2h after MYHIBBIN. |
| Proton Pump Inhibitors (PPIs) | |
| Clinical Impact | Concomitant use with PPIs decreases MPA systemic exposure [see Clinical Pharmacology (12.3)] , which may reduce MYHIBBIN efficacy. |
| Prevention or Management | Monitor patients for alterations in efficacy when PPIs are co- administered with MYHIBBIN. |
| Examples | Lansoprazole, pantoprazole |
| Drugs that Interfere with Enterohepatic Recirculation | |
| Clinical Impact | Concomitant use with drugs that directly interfere with enterohepatic recirculation, or indirectly interfere with enterohepatic recirculation by altering the gastrointestinal flora, can decrease MPA systemic exposure [see Clinical Pharmacology (12.3)] , which may reduce MYHIBBIN efficacy. |
| Prevention or Management | Monitor patients for alterations in efficacy or MYHIBBIN-related adverse reactions when these drugs are co-administered with MYHIBBIN. |
| Examples | Cyclosporine A, trimethoprim/sulfamethoxazole, bile acid sequestrants (cholestyramine), rifampin as well as aminoglycoside, cephalosporin, fluoroquinolone and penicillin classes of antimicrobials |
| Drugs Modulating Glucuronidation | |
| Clinical Impact | Concomitant use with drugs inducing glucuronidation decreases MPA systemic exposure, potentially reducing MYHIBBIN efficacy, while use with drugs inhibiting glucuronidation increases MPA systemic exposure [see Clinical Pharmacology (12.3)] , which may increase the risk of MYHIBBIN-related adverse reactions. |
| Prevention or Management | Monitor patients for alterations in efficacy or MYHIBBIN-related adverse reactions when these drugs are co-administered with MYHIBBIN. |
| Examples | Telmisartan (induces glucuronidation); isavuconazole (inhibits glucuronidation). |
| Calcium Free Phosphate Binders | |
| Clinical Impact | Concomitant use with calcium free phosphate binders decrease MPA systemic exposure [see Clinical Pharmacology (12.3)] , which may reduce MYHIBBIN efficacy. |
| Prevention or Management | Administer calcium free phosphate binders at least 2 hours after MYHIBBIN. |
| Examples | Sevelamer |
7.2 Effect Of Myhibbin On Other Drugs
| Drugs that Undergo Renal Tubular Secretion | |
| Clinical Impact | When concomitantly used with MYHIBBIN, its metabolite MPAG, may compete with drugs eliminated by renal tubular secretion which may increase plasma concentrations and/or adverse reactions associated with these drugs. |
| Prevention or Management | Monitor for drug-related adverse reactions in patients with renal impairment. |
| Examples | Acyclovir, ganciclovir, probenecid, valacyclovir, valganciclovir |
| Combination Oral Contraceptives | |
| Clinical Impact | Concomitant use with mycophenolate mofetil decreased the systemic exposure to levonorgestrel, but did not affect the systemic exposure to ethinylestradiol [see Clinical Pharmacology (12.3)] , which may result in reduced combination oral contraceptive effectiveness. |
| Prevention or Management | Use additional barrier contraceptive methods. |
8.3 Females And Males Of Reproductive Potential
Females of reproductive potential must be made aware of the increased risk of first trimester pregnancy loss and congenital malformations and must be counseled regarding pregnancy prevention and planning.
8.4 Pediatric Use
Safety and effectiveness have been established in pediatric patients 3 months and older for the prophylaxis of organ rejection of allogenic kidney, heart or liver transplants.
Kidney Transplant
Use of MYHIBBIN in this population is supported by evidence from adequate and well-controlled studies of mycophenolate mofetil in adults with additional data from one open-label, pharmacokinetic and safety study of mycophenolate mofetil in pediatric patients after receiving allogeneic kidney transplant (100 patients, 3 months to 18 years of age) [see Dosage and Administration (2.2), Adverse Reactions (6.1), Clinical Pharmacology (12.3), Clinical Studies (14.1)].
Heart Transplant and Liver Transplant
Use of MYHIBBIN in pediatric heart transplant and liver transplant patients is supported by adequate and well-controlled studies and pharmacokinetic data in adult heart transplant and liver transplant patients. Additional supportive data include pharmacokinetic data in pediatric kidney transplant and pediatric liver transplant patients (8 liver transplant patients, 9 months to 5 years of age, in an open-label, pharmacokinetic and safety study) and published evidence of clinical efficacy and safety in pediatric heart transplant and pediatric liver transplant patients [see Dosage and Administration (2.3, 2.4), Adverse Reactions (6.1), Clinical Pharmacology (12.3), Clinical Studies (14.1)].
The combination of inactive ingredients (e.g., simethicone, sodium phosphate monobasic dihydrate, sodium phosphate dibasic dihydrate, glycerin) in MYHIBBIN have the potential to impact gastrointestinal tolerability. Monitor pediatric patients receiving MYHIBBIN for signs and symptoms of gastrointestinal intolerance.
8.5 Geriatric Use
Clinical studies of mycophenolate mofetil did not include sufficient numbers of subjects aged 65 and over to determine whether they respond differently from younger subjects. Other reported clinical experience has not identified differences in responses between geriatric and younger patients. In general, dose selection for a geriatric patient should take into consideration the presence of decreased hepatic, renal or cardiac function and of concomitant drug therapies. [see Adverse Reactions (6.1), Drug Interactions (7)].
10 Overdosage
Possible signs and symptoms of acute overdose include hematological abnormalities such as leukopenia and neutropenia, and gastrointestinal symptoms such as abdominal pain, diarrhea, nausea, vomiting, and dyspepsia.
The experience with overdose of mycophenolate mofetil in humans is limited. The reported effects associated with overdose fall within the known safety profile of the drug. The highest dose administered to kidney transplant patients in clinical trials has been 4 g/day. In limited experience with heart and liver transplant patients in clinical trials, the highest doses used were 4 g/day or 5 g/day. At doses of 4 g/day or 5 g/day, there appears to be a higher rate, compared to the use of 3 g/day or less, of gastrointestinal intolerance (nausea, vomiting, and/or diarrhea), and occasional hematologic abnormalities, particularly neutropenia [see Warnings and Precautions (5.4)] .
11 Description
MYHIBBIN (mycophenolate mofetil) is an antimetabolite immunosuppressant. It is the 2-morpholinoethyl ester of mycophenolic acid (MPA), an immunosuppressive agent; inosine monophosphate dehydrogenase (IMPDH) inhibitor.
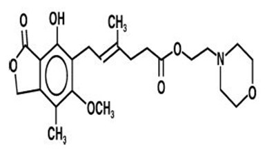
The chemical name for mycophenolate mofetil (MMF) is 4-Hexenoic acid, 6-(1,3-dihydro-4-hydroxy-6-methoxy-7-methyl-3-oxo-5-isobenzofuranyl)-4-methyl-,2-(4-morpholinyl) ethyl ester, (E)-. It has an empirical formula of C23H31NO7, a molecular weight of 433.49, and the following structural formula:
MMF is a white or almost white, crystalline powder. It is slightly soluble in water (43 µg/mL at pH 7.4); the solubility increases in acidic medium (4.27 mg/mL at pH 3.6).
The drug product is an oral suspension that contains 200 mg of mycophenolate mofetil/mL. The pH of suspension is between 6 and 8.
Inactive ingredients in MYHIBBIN include dibasic sodium phosphate, glycerin, methylparaben, monobasic sodium phosphate, polysorbate 80, propylparaben, purified water, raspberry flavor, simethicone emulsion, sorbitol solution, and xanthan gum.
12.1 Mechanism Of Action
Mycophenolate mofetil (MMF) is absorbed following oral administration and hydrolyzed to mycophenolic acid (MPA), the active metabolite. MPA is a selective uncompetitive inhibitor of the two isoforms (type I and type II) of inosine monophosphate dehydrogenase (IMPDH) leading to inhibition of the de novopathway of guanosine nucleotide synthesis and blocks DNA synthesis. The mechanism of action of MPA is multifaceted and includes effects on cellular checkpoints responsible for metabolic programming of lymphocytes. MPA shifts transcriptional activities in lymphocytes from a proliferative state to catabolic processes. In vitro studies suggest that MPA modulates transcriptional activities in human CD4+ T-lymphocytes by suppressing the Akt/mTOR and STAT5 pathways that are relevant to metabolism and survival, leading to an anergic state of T-cells whereby the cells become less responsive to antigenic stimulation. Additionally, MPA enhanced the expression of negative co-stimulators such as CD70, PD-1, CTLA-4, and transcription factor FoxP3 as well as decreased the expression of positive co-stimulators CD27 and CD28.
MPA decreases proliferative responses of T- and B-lymphocytes to both mitogenic and allo-antigenic stimulation, antibody responses, as well as the production of cytokines from lymphocytes and monocytes such as GM-CSF, IFN-Ɣ, IL-17, and TNF-α. Additionally, MPA prevents the glycosylation of lymphocyte and monocyte glycoproteins that are involved in intercellular adhesion to endothelial cells and may inhibit recruitment of leukocytes into sites of inflammation and graft rejection.
Overall, the effect of MPA is cytostatic and reversible.
12.2 Pharmacodynamics
There is a lack of information regarding the pharmacodynamic effects of MMF.
13.1 Carcinogenesis, Mutagenesis, Impairment Of Fertility
In a 104-week oral carcinogenicity study in mice, MMF in daily doses up to 180 mg/kg was not tumorigenic. The highest dose tested was 0.2 times the recommended clinical dose (2 g/day) in renal transplant patients and 0.15 times the recommended clinical dose (3 g/day) in cardiac transplant patients when corrected for differences in body surface area (BSA). In a 104-week oral carcinogenicity study in rats, MMF in daily doses up to 15 mg/kg was not tumorigenic. The highest dose was 0.035 times the recommended clinical dose in kidney transplant patients and 0.025 times the recommended clinical dose in heart transplant patients when corrected for BSA. While these animal doses were lower than those given to patients, they were maximal in those species and were considered adequate to evaluate the potential for human risk [see Warnings and Precautions (5.2)].
The genotoxic potential of MMF was determined in five assays. MMF was genotoxic in the mouse lymphoma/thymidine kinase assay and the in vivomouse micronucleus assay. MMF was not genotoxic in the bacterial mutation assay, the yeast mitotic gene conversion assay or the Chinese hamster ovary cell chromosomal aberration assay.
MMF had no effect on fertility of male rats at oral doses up to 20 mg/kg/day. This dose represents 0.05 times the recommended clinical dose in renal transplant patients and 0.03 times the recommended clinical dose in cardiac transplant patients when corrected for BSA. In a female fertility and reproduction study conducted in rats, oral doses of 4.5 mg/kg/day caused malformations (principally of the head and eyes) in the first generation offspring in the absence of maternal toxicity. This dose was 0.01 times the recommended clinical dose in renal transplant patients and 0.005 times the recommended clinical dose in cardiac transplant patients when corrected for BSA. No effects on fertility or reproductive parameters were evident in the dams or in the subsequent generation.
14.2 Heart Transplantation
A double-blind, randomized, comparative, parallel-group, multicenter study in primary de novoheart transplant recipients was performed at centers in the United States (20), in Canada (1), in Europe (5) and in Australia (2). The total number of patients enrolled (ITT population) was 650; 72 never received study drug and 578 received study drug (Safety Population). Patients received mycophenolate mofetil 1.5 g twice daily (n=289) or AZA 1.5 to 3 mg/kg/day (n=289), in combination with cyclosporine (Sandimmune ®or Neoral ®) and corticosteroids as maintenance immunosuppressive therapy. The two primary efficacy endpoints were: (1) the proportion of patients who, after transplantation, had at least one endomyocardial biopsy-proven rejection with hemodynamic compromise, or were re-transplanted or died, within the first 6 months, and (2) the proportion of patients who died or were re-transplanted during the first 12 months following transplantation. Patients who prematurely discontinued treatment were followed for the occurrence of allograft rejection for up to 6 months and for the occurrence of death for 1 year.
The analyses of the endpoints showed:
- Rejection: No difference was established between mycophenolate mofetil and AZA with respect to biopsy-proven rejection with hemodynamic compromise.
- Survival: Mycophenolate mofetil was shown to be at least as effective as AZA in preventing death or re-transplantation at 1 year (see Table 11).
| All Patients (ITT) | Treated Patients | |||
|---|---|---|---|---|
| AZA
N = 323 | MYCOPHENOLATE MOFETIL
N = 327 | AZA
N = 289 | MYCOPHENOLATE MOFETIL
N = 289 | |
| Biopsy-proven rejection with hemodynamic compromise at 6 months a | 121 (38%) | 120 (37%) | 100 (35%) | 92 (32%) |
| Death or re-transplantation at 1 year | 49 (15.2%) | 42 (12.8%) | 33 (11.4%) | 18 (6.2%) |
aHemodynamic compromise occurred if any of the following criteria were met: pulmonary capillary wedge pressure ≥20 mm or a 25% increase; cardiac index <2.0 L/min/m 2or a 25% decrease; ejection fraction ≤30%; pulmonary artery oxygen saturation ≤60% or a 25% decrease; presence of new S 3gallop; fractional shortening was ≤20% or a 25% decrease; inotropic support required to manage the clinical condition.
14.3 Liver Transplantation
A double-blind, randomized, comparative, parallel-group, multicenter study in primary hepatic transplant recipients was performed at centers in the United States (16), in Canada (2), in Europe (4) and in Australia (1). The total number of patients enrolled was 565. Per protocol, patients received mycophenolate mofetil 1.5 g twice daily orally or AZA 1 to 2 mg/kg/day orally, in combination with cyclosporine (Neoral ®) and corticosteroids as maintenance immunosuppressive therapy. The actual median oral dose of AZA on study was 1.5 mg/kg/day (range of 0.3 to 3.8 mg/kg/day) initially and 1.26 mg/kg/day (range of 0.3 to 3.8 mg/kg/day) at 12 months. The two primary endpoints were: (1) the proportion of patients who experienced, in the first 6 months post-transplantation, one or more episodes of biopsy-proven and treated rejection or death or re-transplantation, and (2) the proportion of patients who experienced graft loss (death or re-transplantation) during the first 12 months post-transplantation. Patients who prematurely discontinued treatment were followed for the occurrence of allograft rejection and for the occurrence of graft loss (death or re-transplantation) for 1 year.
In combination with corticosteroids and cyclosporine, mycophenolate mofetil demonstrated a lower rate of acute rejection at 6 months and a similar rate of death or re-transplantation at 1 year compared to AZA ( Table 12).
| AZA
N = 287 | MYCOPHENOLATE MOFETIL
N = 278 | |
|---|---|---|
| Biopsy-proven, treated rejection at 6 months (includes death or re-transplantation) | 137 (47.7%) | 107 (38.5%) |
| Death or re-transplantation at 1 year | 42 (14.6%) | 41 (14.7%) |
15 References
1. “OSHA Hazardous Drugs.” OSHA. http://www.osha.gov/SLTC/hazardousdrugs/index.html
17.2 Development Of Lymphoma And Other Malignancies
- Inform patients that they are at increased risk of developing lymphomas and other malignancies, particularly of the skin, due to immunosuppression [ see Warnings and Precautions (5.2)].
- Advise patients to limit exposure to sunlight and ultraviolet (UV) light by wearing protective clothing and use of broad-spectrum sunscreen with high protection factor.
17.3 Increased Risk Of Serious Infections
Inform patients that they are at increased risk of developing a variety of infections due to immunosuppression. Instruct them to contact their physician if they develop any of the signs and symptoms of infection explained in the Medication Guide [ see Warnings and Precautions (5.3)].
17.4 Blood Dyscrasias
Inform patients that they are at increased risk for developing blood adverse effects such as anemia or low white blood cells. Advise patients to immediately contact their healthcare provider if they experience any evidence of infection, unexpected bruising, or bleeding, or any other manifestation of bone marrow suppression [ see Warnings and Precautions (5.4)].
17.5 Gastrointestinal Tract Complications
Inform patients that MYHIBBIN can cause gastrointestinal tract complications including bleeding, intestinal perforations, and gastric or duodenal ulcers. Advise the patient to contact their healthcare provider if they have symptoms of gastrointestinal bleeding, or sudden onset or persistent abdominal pain [see Warnings and Precautions (5.5)] .
17.6 Acute Inflammatory Syndrome
Inform patients that acute inflammatory reactions have been reported in some patients who received mycophenolate mofetil. Some reactions were severe, requiring hospitalization. Advise patients to contact their physician if they develop fever, joint stiffness, joint pain or muscle pains [see Warnings and Precautions (5.7)] .
17.7 Immunizations
Inform patients that MYHIBBIN can interfere with the usual response to immunizations. Before seeking vaccines on their own, advise patients to discuss first with their physician [see Warnings and Precautions (5.8)].
17.8 Administration Instructions
- Advise patients to avoid contact of the skin or mucous membranes with MYHIBBIN. If such contact occurs, they must wash the area of contact thoroughly with soap and water. In case of ocular contact, rinse eyes with plain water.
- Advise patients to take a missed dose as soon as they remember, except if it is closer than 2 hours to the next scheduled dose; in this case they should continue to take MYHIBBIN at the usual times.
17.9 Blood Donation
Advise patients not to donate blood during therapy and for at least 6 weeks following discontinuation of MYHIBBIN [ see Warnings and Precautions (5.9)].
17.10 Semen Donation
Advise males of childbearing potential not to donate semen during therapy and for 90 days following discontinuation of MYHIBBIN [see Warnings and Precautions (5.10)] .
17.11 Potential To Impair Driving And Use Of Machinery
Advise patients that MYHIBBIN can affect the ability to drive or operate machines. Patients should avoid driving or operating machines if they experience somnolence, confusion, dizziness, tremor or hypotension during treatment with MYHIBBIN [ see Warnings and Precautions (5.12)].
Spl Medguide
This Medication Guide has been approved by the U.S. Food and Drug Administration Approved: 05/2024 MYH-MG-01 | ||||||
| MEDICATION GUIDE | ||||||
| MYHIBBIN
TM(my hib in)
(mycophenolate mofetil oral suspension) | ||||||
| Read the Medication Guide that comes with MYHIBBIN before you start taking it and each time you refill your prescription. There may be new information. This Medication Guide does not take the place of talking with your doctor about your medical condition or treatment. | ||||||
| What is the most important information I should know about MYHIBBIN?
MYHIBBIN can cause serious side effects, including: Increased risk of loss of a pregnancy (miscarriage) and higher risk of birth defects. Females who take MYHIBBIN during pregnancy have a higher risk of miscarriage during the first 3 months (first trimester), and a higher risk that their baby will be born with birth defects.
| ||||||
|
| |||||
Increased risk of getting serious infections. MYHIBBIN weakens the body's immune system and affects your ability to fight infections. Serious infections can happen with MYHIBBIN and can lead to hospitalizations and death. These serious infections can include:
| ||||||
|
| |||||
| ||||||
|
| |||||
| See “ What are the possible side effects of MYHIBBIN?” for information about other serious side effects. | ||||||
What is MYHIBBIN?
| ||||||
Do not take MYHIBBIN if you:
| ||||||
Before taking MYHIBBIN tell your healthcare provider about all of your medical conditions, including if you:
Especially tell your healthcare provider if you take: | ||||||
How should I take MYHIBBIN?
| ||||||
What should I avoid while taking MYHIBBIN?
| ||||||
| What are the possible side effects of MYHIBBIN?
MYHIBBIN may cause serious side effects, including:
| ||||||
|
| |||||
| Side effects that can happen more often in children than in adults taking MYHIBBIN include: | ||||||
|
| |||||
| These are not all of the possible side effects of MYHIBBIN. Tell your doctor about any side effect that bothers you or that does not go away.
Call your doctor for medical advice about side effects. You may report side effects to FDA at 1-800-FDA-1088. You may also report side effects to Azurity Pharmaceuticals, Inc. at 1-800-461-7449. | ||||||
How should I store MYHIBBIN?
| ||||||
| General information about the safe and effective use of MYHIBBIN. Medicines are sometimes prescribed for purposes other than those listed in a Medication Guide. Do not use MYHIBBIN for a condition for which it was not prescribed. Do not give MYHIBBIN to other people, even if they have the same symptoms that you have. It may harm them. This Medication Guide summarizes the most important information about MYHIBBIN. If you would like more information, talk with your doctor. You can ask your pharmacists or healthcare provider information about MYHIBBIN that is written for health professionals. | ||||||
What are the ingredients in MYHIBBIN?
Woburn, MA 01801 USA | ||||||
Package Label.Principal Display Panel
MYHIBBIN Oral Suspension, 200 mg/mL - NDC 24338-018-01 - 175 mL Carton label
MYHIBBIN Oral Suspension, 200 mg/mL - NDC 24338-018-01 - 175 mL Bottle label
* Please review the disclaimer below.

