FDA Label for Augmentin
View Indications, Usage & Precautions
- 1 INDICATIONS AND USAGE
- OTHER
- 2.1 IMPORTANT ADMINISTRATION INSTRUCTIONS
- 2.2 ADULT PATIENTS
- 2.3 PEDIATRIC PATIENTS
- 2.4 PATIENTS WITH RENAL IMPAIRMENT
- 2.5 DIRECTIONS FOR MIXING AMOXICILLIN AND CLAVULANATE POTASSIUM FOR ORAL SUSPENSION
- 2.6 SWITCHING BETWEEN DOSAGE FORMS AND BETWEEN STRENGTHS
- 3 DOSAGE FORMS AND STRENGTHS
- 4.1 SERIOUS HYPERSENSITIVITY REACTIONS
- 4.2 CHOLESTATIC JAUNDICE/HEPATIC DYSFUNCTION
- 5.1 HYPERSENSITIVITY REACTIONS
- 5.2 SEVERE CUTANEOUS ADVERSE REACTIONS
- 5.3 HEPATIC DYSFUNCTION
- 5.4 CLOSTRIDIOIDES DIFFICILE ASSOCIATED DIARRHEA (CDAD)
- 5.5 SKIN RASH IN PATIENTS WITH MONONUCLEOSIS
- 5.6 POTENTIAL FOR MICROBIAL OVERGROWTH
- 5.7 PHENYLKETONURICS
- 5.8 DEVELOPMENT OF DRUG-RESISTANT BACTERIA
- 6 ADVERSE REACTIONS
- 6.1 CLINICAL TRIAL EXPERIENCE
- 6.2 POSTMARKETING EXPERIENCE
- 7.1 PROBENECID
- 7.2 ORAL ANTICOAGULANTS
- 7.3 ALLOPURINOL
- 7.4 ORAL CONTRACEPTIVES
- 7.5 EFFECTS ON LABORATORY TESTS
- TERATOGENIC EFFECTS
- 8.2 LABOR AND DELIVERY
- 8.3 NURSING MOTHERS
- 8.4 PEDIATRIC USE
- 8.5 GERIATRIC USE
- 8.6 RENAL IMPAIRMENT
- 10 OVERDOSAGE
- 11 DESCRIPTION
- 12.1 MECHANISM OF ACTION
- 12.3 PHARMACOKINETICS
- 12.4 MICROBIOLOGY
- 13.1 CARCINOGENESIS, MUTAGENESIS, IMPAIRMENT OF FERTILITY
- 14.1 LOWER RESPIRATORY TRACT AND COMPLICATED URINARY TRACT INFECTIONS
- 14.2 ACUTE BACTERIAL OTITIS MEDIA AND DIARRHEA IN PEDIATRIC PATIENTS
- 15 REFERENCES
- 16 HOW SUPPLIED/STORAGE AND HANDLING
- 17 PATIENT COUNSELING INFORMATION
- BOTTLE LABEL (100 ML) 125MG/31.25MG FOR ORAL SUSPENSION
- BOTTLE LABEL (150 ML) 125MG/31.25MG FOR ORAL SUSPENSION
Augmentin Product Label
The following document was submitted to the FDA by the labeler of this product Allegis Pharmaceuticals, Llc. The document includes published materials associated whith this product with the essential scientific information about this product as well as other prescribing information. Product labels may durg indications and usage, generic names, contraindications, active ingredients, strength dosage, routes of administration, appearance, warnings, inactive ingredients, etc.
1 Indications And Usage
AUGMENTIN is indicated for the treatment of infections in adults and pediatric patients, due to susceptible isolates of the designated bacteria in the conditions listed below:
- Lower Respiratory Tract Infections - caused by beta‑lactamase–producing isolates of Haemophilus influenzae and Moraxella catarrhalis.
- Acute Bacterial Otitis Media - caused by beta‑lactamase–producing isolates of H. influenzae and M. catarrhalis.
- Sinusitis - caused by beta‑lactamase–producing isolates of H. influenzae and M. catarrhalis.
- Skin and Skin Structure Infections - caused by beta‑lactamase–producing isolates of Staphylococcus aureus, Escherichia coli, and Klebsiella species.
- Urinary Tract Infections - caused by beta‑lactamase–producing isolates of E. coli, Klebsiella species, and Enterobacter species.
Other
Limitations of Use
When susceptibility test results show susceptibility to amoxicillin, indicating no beta-lactamase production, AUGMENTIN should not be used.
Usage
To reduce the development of drug‑resistant bacteria and maintain the effectiveness of AUGMENTIN and other antibacterial drugs, AUGMENTIN should be used only to treat or prevent infections that are proven or strongly suspected to be caused by susceptible bacteria. When culture and susceptibility information are available, they should be considered in selecting or modifying antibacterial therapy. In the absence of such data, local epidemiology and susceptibility patterns may contribute to the empiric selection of therapy.
Patients Aged 12 weeks (3 months) and Older and Weighing Less than 40 kg: See dosing regimens provided in Table 3 below.
The every 12 hour regimen is recommended as it is associated with significantly less diarrhea [see Clinical Studies ( 14.2)] .
The Amoxicillin and Clavulanate Potassium 200 mg/28.5 mg per 5 mL and Amoxicillin and Clavulanate Potassium 400 mg/57 mg per 5 mL) for oral suspension and Amoxicillin and Clavulanate Potassium 200 mg/28.5 mg and Amoxicillin and Clavulanate Potassium 400 mg/57 mg chewable tablets contain aspartame and should not be used by phenylketonurics. [see Warnings and Precautions ( 5.7)].
Table 3: Dosing in Patients Aged 12 Weeks (3 Months) and Older and Weighing Less than 40 kg
Patients Weighing 40 kg or More: Pediatric patients weighing 40 kg or more should be dosed according to adult recommendations.
- The 250 mg/125 mg tablet of AUGMENTIN should NOT be used until the child weighs at least 40 kg, due to the different amoxicillin to clavulanic acid ratios in the 250 mg/125 mg tablet of AUGMENTIN versus the 250 mg/62.5 mg chewable tablet of AUGMENTIN.
Susceptibility Test Methods
For specific information regarding susceptibility test interpretive criteria and associated test methods and quality control standards recognized by FDA for this drug, please see: https://www.fda.gov/STIC.
Administration Instructions
Inform patients that AUGMENTIN may be taken every 8 hours or every 12 hours, depending on the dose prescribed. Each dose should be taken with a meal or snack to reduce the possibility of gastrointestinal upset.
Allergic Reactions
Counsel patients that AUGMENTIN contains a penicillin class drug product that can cause allergic reactions in some individuals.
Severe Cutaneous Adverse Reactions (SCAR)
Advise patients about the signs and symptoms of serious skin manifestations. Instruct patients to stop taking AUGMENTIN immediately and promptly report the first signs or symptoms of skin rash, mucosal lesions, or any other sign of hypersensitivity [see Warnings and Precautions ( 5.2)] .
Diarrhea
Counsel patients that diarrhea is a common problem caused by antibacterials, and it usually ends when the antibacterial is discontinued. Sometimes after starting treatment with antibacterials, patients can develop watery and bloody stools (with or without stomach cramps and fever) even as late as 2 or more months after having taken their last dose of the antibacterial. If diarrhea is severe or lasts more than 2 or 3 days, patients should contact their physician as soon as possible.
Antibacterial Resistance
Patients should be counseled that antibacterial drugs, including AUGMENTIN, should only be used to treat bacterial infections. They do not treat viral infections (e.g., the common cold).
When AUGMENTIN is prescribed to treat a bacterial infection, patients should be told that although it is common to feel better early in the course of therapy, the medication should be taken exactly as directed. Skipping doses or not completing the full course of therapy may: (1) decrease the effectiveness of the immediate treatment, and (2) increase the likelihood that bacteria will develop resistance and will not be treatable by AUGMENTIN or other antibacterial drugs in the future.
Storage Instructions
Advise patients to keep suspension refrigerated. Shake well before using. When dosing a child with the suspension (liquid) of AUGMENTIN, use a calibrated oral syringe. Be sure to rinse the calibrated oral syringe after each use. Bottles of suspension of AUGMENTIN may contain more liquid than required. Follow your doctor's instructions about the amount to use and the days of treatment your child requires. Discard any unused medicine.
Manufactured For:
Allegis Pharmaceuticals, LLC
Canton, MS 39046 (USA)
Made in USA
AUGMENTIN is a registered trademark of GlaxoSmithKline and is sub-licensed to Allegis Pharmaceuticals, LLC.
CLINITEST is a registered trademark of Miles, Inc.
2.1 Important Administration Instructions
AUGMENTIN may be taken without regard to meals; however, absorption of clavulanate potassium is enhanced when AUGMENTIN is administered at the start of a meal. To minimize the potential for gastrointestinal intolerance, AUGMENTIN should be taken at the start of a meal.
2.2 Adult Patients
See dosing regimens of AUGMENTIN (based on the amoxicillin component) provided in Table 1 below.
Table 1. Dosing Regimens of AUGMENTIN in Adult Patients
| TYPE OF INFECTION | DOSING REGIMEN OF Amoxicillin and Clavulanate Potassium |
| Severe infections and infections of the respiratory tract | one 875 mg tablet
a of AUGMENTIN every 12 hours
or one 500 mg tablet b,c of AUGMENTIN every 8 hours |
| Less severe infections | one 500 mg tablet
b,c of AUGMENTIN every 12 hours
or one 250 mg tablet d of AUGMENTIN every 8 hours |
a Adults who have difficulty swallowing may be given the AUGMENTIN 200 mg/28.5 mg per 5 mL suspension or the AUGMENTIN 400 mg/57 mg per 5 mL suspension may be used in place of the 875 mg/125 mg tablet.
b Adults who have difficulty swallowing may be given the AUGMENTIN 125 mg/31.25 mg per 5 mL or AUGMENTIN 250 mg/62.5 mg per 5 mL suspension in place of the 500 mg/125 mg tablet.
c Two AUGMENTIN 250 mg/125 mg tablets are NOT substitutable with one 500 mg/125 mg AUGMENTIN tablet [see Dosage and Administration ( 2.6)] .
d AUGMENTIN 250 mg/125 mg tablet is NOT substitutable with AUGMENTIN 250 mg/62.5 mg chewable tablet [see Dosage and Administration ( 2.6)]
2.3 Pediatric Patients
Based on the amoxicillin component, AUGMENTIN should be dosed as follows:
Neonates and Infants Aged less than 12 weeks (less than 3 months): See dosing regimens of AUGMENTIN provided in Table 2 below.
Table 2: Dosing Regimens of AUGMENTIN in Neonates and Infants Aged Less than 12 Weeks (Less than 3 Months)
| PATIENT POPULATION | DOSING REGIMEN |
| AUGMENTIN 125 mg/31.25 mg per 5 mL for oral suspensiona | |
Neonates and Infants aged less than 12 weeks (less than 3 months) | 30 mg/kg/day every 12 hours |
a Experience with the AUGMENTIN 200 mg/28.5 mg per 5 mL formulation in this age group is limited, and thus, use of the AUGMENTIN 125 mg/31.25 mg per 5 mL for oral suspension is recommended.
2.4 Patients With Renal Impairment
Patients with impaired renal function do not generally require a reduction in dose unless the impairment is severe. Renal impairment patients with a glomerular filtration rate (GFR) of less than 30 mL/min should NOT receive the 875 mg dose (based on the amoxicillin component) of AUGMENTIN. See dosing regimens in patients with severe renal impairment provided in Table 4.
Table 4. Dosing Regimens of AUGMENTIN in Patients with Severe Renal Impairment
| Patients with Renal Impairment | Dosing Regimen |
| GFR 10 mL/min to 30 mL/min | 500 mg or 250 mg every 12 hours, depending on the severity of the infection |
| GFR less than 10 mL/min | 500 mg or 250 mg every 24 hours, depending on severity of the infection |
| Hemodialysis | 500 mg or 250 mg every 24 hours, depending on severity of the infection
and at the end of dialysis |
2.5 Directions For Mixing Amoxicillin And Clavulanate Potassium For Oral Suspension
Prepare AUGMENTIN for oral suspension at time of dispensing as follows: Tap bottle until all powder flows freely. Measure a total (see Table 5 below for total amount of water for reconstitution) OF WATER. Add approximately 2/3 of the water to the powder. Replace cap and shake VIGOROUSLY. Add remaining water. Replace cap and shake VIGOROUSLY.
Table 5: Amount of Water for Mixing AUGMENTIN for Oral Suspension
Strength of AUGMENTIN Oral Suspension | Bottle Size | Amount of Water for
Reconstitution | Contents of Each
Teaspoonful (5 mL) |
125 mg/31.25 mg per 5 mL | 75 mL
100 mL 150 mL | 67 mL
90 mL 134 mL | 125 mg of amoxicillin and 31.25 mg of clavulanic acid as the potassium salt |
250 mg/62.5 mg per 5 mL | 75 mL
100 mL 150 mL | 65 mL
87 mL 130 mL | 250 mg of amoxicillin and 62.5 mg of clavulanic acid as the potassium salt |
Shake oral suspension well before using. Reconstituted suspension must be stored under refrigeration and discarded after 10 days. Some color change is normal during dosing period.
2.6 Switching Between Dosage Forms And Between Strengths
AUGMENTIN 250 mg/125 mg Tablet is NOT Substitutable with AUGMENTIN 250 mg/62.5 mg Chewable Tablet
The 250 mg/125 mg tablet of AUGMENTIN and the 250 mg/62.5 mg chewable tablet of AUGMENTIN should NOT be substituted for each other and the 250 mg/125 mg tablet of AUGMENTIN should NOT be used in pediatric patients weighing less than 40 kg [see Dosage and Administration ( 2.3)] . The 250 mg tablet of AUGMENTIN and the 250 mg chewable tablet of AUGMENTIN do not contain the same amount of clavulanic acid. The 250 mg tablet of AUGMENTIN contains 125 mg of clavulanic acid whereas the 250 mg chewable tablet of AUGMENTIN contains 62.5 mg of clavulanic acid.
Two AUGMENTIN 250 mg/125 mg Tablets are NOT Substitutable with One 500 mg/125 mg AUGMENTIN Tablet
Two 250 mg/125 mg tablets of AUGMENTIN should NOT be substituted for one 500 mg/125 mg tablet of AUGMENTIN. Since both the 250 mg and 500 mg tablets of AUGMNTIN contain the same amount of clavulanic acid (125 mg, as the potassium salt), two 250 mg tablets of AUGMENTIN are not equivalent to one 500 mg tablet of AUGMENTIN.
3 Dosage Forms And Strengths
Augmentin for Oral Suspension, USP:
- 125 mg/31.25 mg per 5 mL: Banana-flavored powder for oral suspension (each 5 mL of reconstituted suspension contains 125 mg of amoxicillin as the trihydrate and 31.25 mg of clavulanic acid as the potassium salt).
- 250 mg/62.5 mg per 5 mL: Orange-flavored powder for oral suspension (each 5 mL of reconstituted suspension contains 250 mg of amoxicillin as the trihydrate and 62.5 mg of clavulanic acid as the potassium salt).
4.1 Serious Hypersensitivity Reactions
AUGMENTIN is contraindicated in patients with a history of serious hypersensitivity reactions (e.g., anaphylaxis or Stevens-Johnson syndrome) to amoxicillin, clavulanate or to other beta‑lactam antibacterial drugs (e.g., penicillins and cephalosporins).
4.2 Cholestatic Jaundice/Hepatic Dysfunction
AUGMENTIN is contraindicated in patients with a previous history of cholestatic jaundice/hepatic dysfunction associated with AUGMENTIN.
5.1 Hypersensitivity Reactions
Serious and occasionally fatal hypersensitivity (anaphylactic) reactions have been reported in patients receiving beta-lactam antibacterials, including AUGMENTIN. These reactions are more likely to occur in individuals with a history of penicillin hypersensitivity and/or a history of sensitivity to multiple allergens. Before initiating therapy with AUGMENTIN, careful inquiry should be made regarding previous hypersensitivity reactions to penicillins, cephalosporins, or other allergens. If an allergic reaction occurs, AUGMENTIN should be discontinued, and appropriate therapy instituted.
5.2 Severe Cutaneous Adverse Reactions
AUGMENTIN may cause severe cutaneous adverse reactions (SCAR), such as Stevens-Johnson syndrome (SJS), toxic epidermal necrolysis (TEN), drug reaction with eosinophilia and systemic symptoms (DRESS), and acute generalized exanthematous pustulosis (AGEP). If patients develop a skin rash, they should be monitored closely, and AUGMENTIN discontinued if lesions progress.
5.3 Hepatic Dysfunction
Hepatic dysfunction, including hepatitis and cholestatic jaundice has been associated with the use of AUGMENTIN. Hepatic toxicity is usually reversible; however, deaths have been reported. Hepatic function should be monitored at regular intervals in patients with hepatic impairment.
5.4 Clostridioides Difficile Associated Diarrhea (Cdad)
Clostridioides difficile associated diarrhea (CDAD) has been reported with use of nearly all antibacterial agents, including AUGMENTIN, and may range in severity from mild diarrhea to fatal colitis. Treatment with antibacterial agents alters the normal flora of the colon leading to overgrowth of C. difficile.
C. difficile produces toxins A and B which contribute to the development of CDAD. Hypertoxin-producing strains of C. difficile cause increased morbidity and mortality, as these infections can be refractory to antimicrobial therapy and may require colectomy. CDAD must be considered in all patients who present with diarrhea following antibacterial use. Careful medical history is necessary since CDAD has been reported to occur over 2 months after the administration of antibacterial agents.
If CDAD is suspected or confirmed, ongoing antibacterial use not directed against C. difficile may need to be discontinued. Appropriate fluid and electrolyte management, protein supplementation, antibacterial treatment of C. difficile, and surgical evaluation should be instituted as clinically indicated.
5.5 Skin Rash In Patients With Mononucleosis
A high percentage of patients with mononucleosis who receive amoxicillin develop an erythematous skin rash. Thus, AUGMENTIN should not be administered to patients with mononucleosis.
5.6 Potential For Microbial Overgrowth
The possibility of superinfections with fungal or bacterial pathogens should be considered during therapy. If superinfection occurs, amoxicillin and clavulanate potassium should be discontinued and appropriate therapy instituted.
5.7 Phenylketonurics
AUGMENTIN Chewable tablets and AUGMENTIN for Oral Suspension contain aspartame which contains phenylalanine. Each 200 mg chewable tablet of AUGMENTIN contains 2.1 mg phenylalanine; each 400 mg chewable tablet contains 4.2 mg phenylalanine; each 5 mL of either the 200 mg/5 mL or 400 mg/5 mL oral suspension contains 7 mg phenylalanine. The other formulations of AUGMENTIN do not contain phenylalanine.
5.8 Development Of Drug-Resistant Bacteria
Prescribing AUGMENTIN in the absence of a proven or strongly suspected bacterial infection or a prophylactic indication is unlikely to provide benefit to the patient and increases the risk of the development of drug‑resistant bacteria.
6 Adverse Reactions
The following are discussed in more detail in other sections of the labeling:
6.1 Clinical Trial Experience
Because clinical trials are conducted under widely varying conditions, adverse reaction rates observed in the clinical trials of a drug cannot be directly compared to rates in the clinical trials of another drug and may not reflect the rates observed in practice.
The most frequently reported adverse reactions were diarrhea/loose stools (9%), nausea (3%), skin rashes and urticaria (3%), vomiting (1%) and vaginitis (1%). Less than 3% of patients discontinued therapy because of drug‑related adverse reactions. The overall incidence of adverse reactions, and in particular diarrhea, increased with the higher recommended dose. Other less frequently reported adverse reactions (less than 1%) include: Abdominal discomfort, flatulence, and headache.
In pediatric patients (aged 2 months to 12 years), 1 US/Canadian clinical trial was conducted which compared 45/6.4 mg/kg/day (divided every 12 hours) of Amoxicillin and Clavulanate Potassium for 10 days versus 40/10 mg/kg/day (divided every 8 hours) of Amoxicillin and Clavulanate Potassium for 10 days in the treatment of acute otitis media. A total of 575 patients were enrolled, and only the suspension formulations were used in this trial. Overall, the adverse reactions seen were comparable to that noted above; however, there were differences in the rates of diarrhea, skin rashes/urticaria, and diaper area rashes. [see Clinical Studies ( 14.2)] .
6.2 Postmarketing Experience
In addition to adverse reactions reported from clinical trials, the following have been identified during postmarketing use of AUGMENTIN. Because they are reported voluntarily from a population of unknown size, estimates of frequency cannot be made. These events have been chosen for inclusion due to a combination of their seriousness, frequency of reporting, or potential causal connection to Amoxicillin and Clavulanate Potassium.
Gastrointestinal: Indigestion, gastritis, stomatitis, glossitis, black “hairy” tongue, mucocutaneous candidiasis, enterocolitis, and hemorrhagic/pseudomembranous colitis. Onset of pseudomembranous colitis symptoms may occur during or after antibacterial treatment. [see Warnings and Precautions ( 5.4)] .
Immune: Hypersensitivity reactions, anaphylactic/anaphylactoid reactions (including shock), angioedema, serum sickness-like reactions (urticaria or skin rash accompanied by arthritis, arthralgia, myalgia, and frequently fever), hypersensitivity vasculitis [see Warnings and Precautions ( 5.1)] .
Skin and Appendages: Rashes, pruritus, urticaria, erythema multiforme, SJS, TEN, DRESS, AGEP, exfoliative dermatitis [see Warnings and Precautions ( 5.2)] .
Liver: Hepatic dysfunction, including hepatitis and cholestatic jaundice, increases in serum transaminases (AST and/or ALT), serum bilirubin, and/or alkaline phosphatase, has been reported with Amoxicillin and Clavulanate Potassium. It has been reported more commonly in the elderly, in males, or in patients on prolonged treatment. The histologic findings on liver biopsy have consisted of predominantly cholestatic, hepatocellular, or mixed cholestatic hepatocellular changes. The onset of signs/symptoms of hepatic dysfunction may occur during or several weeks after therapy has been discontinued. The hepatic dysfunction, which may be severe, is usually reversible. Deaths have been reported [see Contraindications ( 4.2), Warnings and Precautions ( 5.3)] .
Renal: Interstitial nephritis, hematuria, and crystalluria have been reported [see Overdosage ( 10)] .
Hemic and Lymphatic Systems: Anemia, including hemolytic anemia, thrombocytopenia, thrombocytopenic purpura, eosinophilia, leukopenia, and agranulocytosis have been reported. These reactions are usually reversible on discontinuation of therapy and are believed to be hypersensitivity phenomena. Thrombocytosis was noted in less than 1% of the patients treated with AUGMENTIN. There have been reports of increased prothrombin time in patients receiving AUGMENTIN and anticoagulant therapy concomitantly [see Drug Interactions ( 7.2)] .
Central Nervous System: Agitation, anxiety, behavioral changes, aseptic meningitis, confusion, convulsions, dizziness, insomnia, and reversible hyperactivity have been reported.
Miscellaneous: Tooth discoloration (brown, yellow, or gray staining) has been reported. Most reports occurred in pediatric patients. Discoloration was reduced or eliminated with brushing or dental cleaning in most cases.
7.1 Probenecid
Probenecid decreases the renal tubular secretion of amoxicillin but does not delay renal excretion of clavulanic acid. Concurrent use with AUGMENTIN may result in increased and prolonged blood concentrations of amoxicillin. Co-administration of probenecid is not recommended.
7.2 Oral Anticoagulants
Abnormal prolongation of prothrombin time (increased international normalized ratio [INR]) has been reported in patients receiving amoxicillin and oral anticoagulants. Appropriate monitoring should be undertaken when anticoagulants are prescribed concurrently with AUGMENTIN. Adjustments in the dose of oral anticoagulants may be necessary to maintain the desired level of anticoagulation.
7.3 Allopurinol
The concurrent administration of allopurinol and amoxicillin increases the incidence of rashes in patients receiving both drugs as compared to patients receiving amoxicillin alone. It is not known whether this potentiation of amoxicillin rashes is due to allopurinol or the hyperuricemia present in these patients.
7.4 Oral Contraceptives
AUGMENTIN may affect intestinal flora, leading to lower estrogen reabsorption and reduced efficacy of combined oral estrogen/progesterone contraceptives.
7.5 Effects On Laboratory Tests
High urine concentrations of amoxicillin may result in false-positive reactions when testing for the presence of glucose in urine using CLINITEST ®, Benedict's Solution, or Fehling's Solution. Since this effect may also occur with AUGMENTIN, it is recommended that glucose tests based on enzymatic glucose oxidase reactions be used.
Following administration of amoxicillin to pregnant women, a transient decrease in plasma concentration of total conjugated estriol, estriol-glucuronide, conjugated estrone, and estradiol has been noted.
Teratogenic Effects
Teratogenic Effects: Pregnancy Category B. Reproduction studies performed in pregnant rats and mice given AUGMENTIN (2:1 ratio formulation of amoxicillin:clavulanate) at oral doses up to 1200 mg/kg/day revealed no evidence of harm to the fetus due to AUGMENTIN. The amoxicillin doses in rats and mice (based on body surface area) were approximately 4 and 2 times the maximum recommended adult human oral dose (875 mg every 12 hours). For clavulanate, these dose multiples were approximately 9 and 4 times the maximum recommended adult human oral dose (125 mg every 8 hours). There are, however, no adequate and well-controlled studies in pregnant women. Because animal reproduction studies are not always predictive of human response, this drug should be used during pregnancy only if clearly needed.
8.2 Labor And Delivery
Oral ampicillin‑class antibacterials are poorly absorbed during labor. It is not known whether use of amoxicillin and clavulanate potassium in humans during labor or delivery has immediate or delayed adverse effects on the fetus, prolongs the duration of labor, or increases the likelihood of the necessity for an obstetrical intervention.
8.3 Nursing Mothers
Amoxicillin has been shown to be excreted in human milk. Amoxicillin and clavulanate potassium use by nursing mothers may lead to sensitization of infants. Caution should be exercised when amoxicillin and clavulanate potassium is administered to a nursing woman.
8.4 Pediatric Use
The safety and effectiveness of AUGMENTIN for Oral Suspension and Chewable Tablets have been established in pediatric patients. Use of AUGMENTIN in pediatric patients is supported by evidence from studies of AUGMENTIN Tablets in adults with additional data from a study of AUGMENTIN for Oral Suspension in pediatric patients aged 2 months to 12 years with acute otitis media [see Clinical Studies ( 14.2)] .
Because of incompletely developed renal function in neonates and young infants, the elimination of amoxicillin may be delayed; clavulanate elimination is unaltered in this age group. Dosing of Amoxicillin and Clavulanate Potassium should be modified in pediatric patients aged less than 12 weeks (less than 3 months) [see Dosage and Administration ( 2.3)].
8.5 Geriatric Use
Of the 3,119 patients in an analysis of clinical studies of AUGMENTIN, 32% were greater than or equal to 65 years old, and 14% were greater than or equal to 75 years old. No overall differences in safety or effectiveness were observed between these subjects and younger subjects, and other reported clinical experience has not identified differences in responses between the elderly and younger patients, but greater sensitivity of some older individuals cannot be ruled out.
This drug is known to be substantially excreted by the kidney, and the risk of adverse reactions to this drug may be greater in patients with impaired renal function. Because elderly patients are more likely to have decreased renal function, care should be taken in dose selection, and it may be useful to monitor renal function.
8.6 Renal Impairment
Amoxicillin is primarily eliminated by the kidney and dosage adjustment is usually required in patients with severe renal impairment (GFR less than 30 mL/min). See Patients with Renal Impairment [see Dosage and Administration ( 2.4)] for specific recommendations in patients with renal impairment.
10 Overdosage
In case of overdosage, discontinue medication, treat symptomatically, and institute supportive measures as required. A prospective study of 51 pediatric patients at a poison-control center suggested that overdosages of less than 250 mg/kg of amoxicillin are not associated with significant clinical symptoms 1.
Interstitial nephritis resulting in oliguric renal failure has been reported in patients after overdosage with amoxicillin and clavulanate potassium.
Crystalluria, in some cases leading to renal failure, has also been reported after amoxicillin and clavulanate potassium overdosage in adult and pediatric patients. In case of overdosage, adequate fluid intake and diuresis should be maintained to reduce the risk of amoxicillin and clavulanate potassium crystalluria.
Renal impairment appears to be reversible with cessation of drug administration. High blood levels may occur more readily in patients with impaired renal function because of decreased renal clearance of amoxicillin and clavulanate potassium. Amoxicillin and clavulanate potassium may be removed from circulation by hemodialysis [see Dosage and Administration ( 2.4)] .
11 Description
AUGMENTIN is an oral antibacterial combination consisting of amoxicillin and the beta‑lactamase inhibitor, clavulanate potassium (the potassium salt of clavulanic acid).
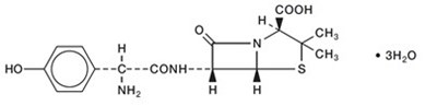
Amoxicillin is an analog of ampicillin, derived from the basic penicillin nucleus, 6‑aminopenicillanic acid. The amoxicillin molecular formula is C 16H 19N 3O 5S•3H 2O, and the molecular weight is 419.46. Chemically, amoxicillin is (2 S,5 R,6 R)-6-[( R)-(-)-2-Amino-2-( p-hydroxyphenyl)acetamido]-3,3-dimethyl-7-oxo-4-thia-1-azabicyclo[3.2.0]heptane-2-carboxylic acid trihydrate and may be represented structurally as:
Clavulanic acid is produced by the fermentation of Streptomyces clavuligerus. It is a beta-lactam structurally related to the penicillins and possesses the ability to inactivate some beta‑lactamases by blocking the active sites of these enzymes. The clavulanate potassium molecular formula is C 8H 8KNO 5, and the molecular weight is 237.25. Chemically, clavulanate potassium is potassium ( Z)(2 R,5 R)-3-(2-hydroxyethylidene)-7-oxo-4-oxa-1-azabicyclo[3.2.0]-heptane-2-carboxylate and may be represented structurally as:
AUGMENTIN for Oral Suspension:
- 125 mg/31.25 mg: Following constitution, each 5 mL of oral suspension contains 125 mg of amoxicillin as the trihydrate, and 31.25 mg of clavulanic acid (equivalent to 37.23 mg of clavulanate potassium).
- 250 mg/62.5 mg: Following constitution, each 5 mL of oral suspension contains 250 mg of amoxicillin as the trihydrate, and 62.5 mg of clavulanic acid (equivalent to 74.5 mg of clavulanate potassium).
- AUGMENTIN for Oral Suspension, 125 mg/31.5 mg per 5mL and 250 mg/62.5 mg per 5mL - Colloidal silicon dioxide, flavorings, xanthan gum, mannitol, succinic acid, silica gel and sodium saccharin.
• Each 5 mL of reconstituted 125 mg/31.5 mg oral suspension of AUGMENTIN contains 0.16 mEq potassium
• Each 5 mL of reconstituted 250 mg/62.5 mg oral suspension of AUGMENTIN contains 0.32 mEq potassium
Inactive Ingredients:
12.1 Mechanism Of Action
AUGMENTIN is an antibacterial drug [see Microbiology ( 12.4)] .
12.3 Pharmacokinetics
Mean amoxicillin and clavulanate potassium pharmacokinetic parameters in normal adults following administration of Amoxicillin and Clavulanate Potassium Tablets are shown in Table 6 and following administration of Amoxicillin and Clavulanate Potassium for Oral Suspension and Chewable Tablets are shown in Table 7.
Table 6: Mean (±S.D.) Amoxicillin and Clavulanate Potassium Pharmacokinetic Parameters a,b with Amoxicillin and Clavulanate Potassium Tablets
Table 7: Mean (±S.D.) Amoxicillin and Clavulanate Potassium Pharmacokinetic Parameters a,b with Amoxicillin and Clavulanate Potassium for Oral Suspension and Chewable Tablets
Oral administration of 5 mL of the 250 mg/62.5 mg suspension of Amoxicillin and Clavulanate Potassium or the equivalent dose of 10 mL of the 125 mg/31.25 mg suspension of Amoxicillin and Clavulanate Potassium provides average peak serum concentrations approximately 1 hour after dosing of 6.9 mcg/mL for amoxicillin and 1.6 mcg/mL for clavulanic acid. The areas under the serum concentration curves obtained during the first 4 hours after dosing were 12.6 mcg*h/mL for amoxicillin and 2.9 mcg*h/mL for clavulanic acid when 5 mL of the 250 mg/62.5 mg suspension of Amoxicillin and Clavulanate Potassium or equivalent dose of 10 mL of the 125 mg/31.25 mg suspension of Amoxicillin and Clavulanate Potassium were administered to normal adults. One 250 mg/62.5 mg chewable tablet of Amoxicillin and Clavulanate Potassium or two 125 mg/31.25 mg chewable tablets of Amoxicillin and Clavulanate Potassium are equivalent to 5 mL of the 250 mg/62.5 mg suspension of Amoxicillin and Clavulanate Potassium and provide similar serum concentrations of amoxicillin and clavulanic acid.
Amoxicillin serum concentrations achieved with Amoxicillin and Clavulanate Potassium are similar to those produced by the oral administration of equivalent doses of amoxicillin alone. Time above the minimum inhibitory concentration of 1 mcg/mL for amoxicillin has been shown to be similar after corresponding every 12 hour and every 8-hour dosing regimens of Amoxicillin and Clavulanate Potassium in adults and children.
Absorption: Dosing in the fasted or fed state has minimal effect on the pharmacokinetics of amoxicillin. While AUGMENTIN can be given without regard to meals, absorption of clavulanate potassium when taken with food is greater relative to the fasted state. In one study, the relative bioavailability of clavulanate was reduced when AUGMENTIN was dosed at 30 and 150 minutes after the start of a high‑fat breakfast.
Distribution: Neither component in AUGMENTIN is highly protein‑bound; clavulanic acid is approximately 25% bound to human serum and amoxicillin approximately 18% bound
Amoxicillin diffuses readily into most body tissues and fluids with the exception of the brain and spinal fluid.
Two hours after oral administration of a single 35 mg/kg dose of suspension of AUGMENTIN to fasting children, average concentrations of 3 mcg/mL of amoxicillin and 0.5 mcg/mL of clavulanic acid were detected in middle ear effusions.
Metabolism and Excretion: The half‑life of amoxicillin after the oral administration of AUGMENTIN is 1.3 hours and that of clavulanic acid is 1 hour.
Approximately 50% to 70% of the amoxicillin and approximately 25% to 40% of the clavulanic acid are excreted unchanged in urine during the first 6 hours after administration of a single 250 mg/125 mg or 500 mg/125 mg tablet of AUGMENTIN.
12.4 Microbiology
Amoxicillin is a semisynthetic antibacterial with in vitro bactericidal activity against Gram-positive and Gram-negative bacteria. Amoxicillin is, however, susceptible to degradation by beta-lactamases, and therefore, the spectrum of activity does not include organisms which produce these enzymes. Clavulanic acid is a beta-lactam, structurally related to the penicillins, which possesses the ability to inactivate some beta-lactamase enzymes commonly found in microorganisms resistant to penicillins and cephalosporins. In particular, it has good activity against the clinically important plasmid-mediated beta-lactamases frequently responsible for transferred drug resistance.
The formulation of amoxicillin and clavulanic acid in AUGMENTIN protects amoxicillin from degradation by some beta-lactamase enzymes and extends the antibacterial spectrum of amoxicillin to include many bacteria normally resistant to amoxicillin.
Amoxicillin and clavulanic acid has been shown to be active against most isolates of the following bacteria, both in vitro and in clinical infections [see Indications and Usage ( 1)] .
Gram-positive bacteria
Staphylococcus aureus
Gram-negative bacteria
Enterobacter species
Escherichia coli
Haemophilus influenzae
Klebsiella species
Moraxella catarrhalis
The following in vitro data are available, but their clinical significance is unknown. At least 90 percent of the following bacteria exhibit an in vitro minimum inhibitory concentration (MIC) less than or equal to the susceptible breakpoint for amoxicillin and clavulanic acid. However, the efficacy of amoxicillin and clavulanic acid in treating clinical infections due to these bacteria has not been established in adequate and well-controlled clinical trials.
Gram-positive bacteria
Enterococcus faecalis
Staphylococcus epidermidis
Staphylococcus saprophyticus
Streptococcus pneumoniae
Streptococcus pyogenes
Viridans group Streptococcus
Gram-negative Bacteria
Eikenella corrodens
Proteus mirabilis
Anaerobic Bacteria
Bacteroides species including Bacteroides fragilis
Fusobacterium species
Peptostreptococcus species
13.1 Carcinogenesis, Mutagenesis, Impairment Of Fertility
Long‑term studies in animals have not been performed to evaluate carcinogenic potential.
AUGMENTIN (4:1 ratio formulation of amoxicillin:clavulanate) was non-mutagenic in the Ames bacterial mutation assay, and the yeast gene conversion assay. AUGMENTIN was weakly positive in the mouse lymphoma assay, but the trend toward increased mutation frequencies in this assay occurred at doses that were also associated with decreased cell survival. AUGMENTING was negative in the mouse micronucleus test, and in the dominant lethal assay in mice. Potassium clavulanate alone was tested in the Ames bacterial mutation assay and in the mouse micronucleus test, and was negative in each of these assays.
AUGMENTIN (2:1 ratio formulation of amoxicillin:clavulanate) at oral doses of up to 1,200 mg/kg/day was found to have no effect on fertility and reproductive performance in rats. Based on body surface area, this dose of amoxicillin is approximately 4 times the maximum recommended adult human oral dose (875 mg every 12 hours). For clavulanate, the dose multiple is approximately 9 times higher than the maximum recommended adult human oral dose (125 mg every 8 hours), also based on body surface area.
14.1 Lower Respiratory Tract And Complicated Urinary Tract Infections
Data from 2 pivotal trials in 1,191 patients treated for either lower respiratory tract infections or complicated urinary tract infections compared a regimen of 875 mg/125 mg tablets of Amoxicillin and Clavulanate Potassium every 12 hours to 500 mg/125 mg tablets of Amoxicillin and Clavulanate Potassium dosed every 8 hours (584 and 607 patients, respectively). Comparable efficacy was demonstrated between the every 12 hours and every 8 hours dosing regimens. There was no significant difference in the percentage of adverse events in each group. The most frequently reported adverse event was diarrhea; incidence rates were similar for the 875 mg/125 mg every 12 hours and 500 mg/125 mg every 8 hours dosing regimens (15% and 14%, respectively); however, there was a statistically significant difference (p less than 0.05) in rates of severe diarrhea or withdrawals with diarrhea between the regimens: 1% for 875 mg/125 mg every 12 hours regimen versus 2% for the 500 mg/125 mg every 8 hours regimen.
In one of these pivotal trials, patients with either pyelonephritis (n equals 361) or a complicated urinary tract infection (i.e., patients with abnormalities of the urinary tract that predispose to relapse of bacteriuria following eradication, n equals 268) were randomized (1:1) to receive either 875 mg/125mg tablets of AUGMENTIN every 12 hours (n equals 308) or 500 mg/125 mg tablets of AUGMENTIN every 8 hours (n equals 321).
The number of bacteriologically evaluable patients was comparable between the two dosing regimens. AUGMENTIN produced comparable bacteriological success rates in patients assessed 2 to 4 days immediately following end of therapy. The bacteriologic efficacy rates were comparable at one of the follow‑up visits (5 to 9 days post‑therapy) and at a late post‑therapy visit (in the majority of cases, this was 2 to 4 weeks post-therapy), as seen in Table 8.
Table 8: Bacteriologic efficacy rates for AUGMENTIN
| Time Post Therapy | 875 mg every 12 hours % (n) | 500 mg every 8 hours % (n) |
| 2 to 4 days | 81% (58) | 80% (54) |
| 5 to 9 days | 58% (41) | 52% (52) |
| 2 to 4 weeks | 52% (101) | 55% (104) |
As noted before, though there was no significant difference in the percentage of adverse events in each group, there was a statistically significant difference in rates of severe diarrhea or withdrawals with diarrhea between the regimens.
14.2 Acute Bacterial Otitis Media And Diarrhea In Pediatric Patients
One US/Canadian clinical trial was conducted which compared 45/6.4 mg/kg/day (divided every 12 hours) of AUGMENTIN for 10 days versus 40/10 mg/kg/day (divided every 8 hours) of AUGMENTIN for 10 days in the treatment of acute otitis media. Only the suspension formulations were used in this trial. A total of 575 pediatric patients (aged 2 months to 12 years) were enrolled, with an even distribution among the 2 treatment groups and a comparable number of patients were evaluable (i.e., greater than or equal to 84%) per treatment group. Otitis media‑specific criteria were required for eligibility and a strong correlation was found at the end of therapy and follow‑up between these criteria and physician assessment of clinical response. The clinical efficacy rates at the end of therapy visit (defined as 2 to 4 days after the completion of therapy) and at the follow‑up visit (defined as 22 to 28 days post‑completion of therapy) were comparable for the 2 treatment groups, with the following cure rates obtained for the evaluable patients: At end of therapy, 87% (n equals 265) and 82% (n equals 260) for 45 mg/kg/day every 12 hours and 40 mg/kg/day every 8 hours, respectively. At follow‑up, 67% (n equals 249) and 69% (n equals 243) for 45 mg/kg/day every 12 hours and 40 mg/kg/day every 8 hours, respectively.
Diarrhea was defined as either: (a) 3 or more watery or 4 or more loose/watery stools in 1 day; OR (b) 2 watery stools per day or 3 loose/watery stools per day for 2 consecutive days. The incidence of diarrhea was significantly lower in patients who received the every 12 hours regimen compared to patients who received the every 8 hours regimen (14% and 34%, respectively). In addition, the number of patients with either severe diarrhea or who were withdrawn with diarrhea was significantly lower in the every 12 hours treatment group (3% and 8% for the every 12 hours/10 day and every 8 hours/10 day, respectively). In the every 12 hours treatment group, 3 patients (1%) were withdrawn with an allergic reaction, while 1 patient in the every 8 hours group was withdrawn for this reason. The number of patients with a candidal infection of the diaper area was 4% and 6% for the every 12 hours and every 8 hours groups, respectively.
It is not known if the finding of a statistically significant reduction in diarrhea with the oral suspensions dosed every 12 hours, versus suspensions dosed every 8 hours of AUGMENTIN, can be extrapolated to the chewable tablets. The presence of mannitol in the chewable tablets of AUGMENTIN may contribute to a different diarrhea profile. The every 12 hour oral suspensions (200 mg/28.5 mg per 5 mL and 400 mg/57 mg per 5 mL) of AUGMENTIN are sweetened with aspartame.
15 References
- Swanson-Biearman B, Dean BS, Lopez G, Krenzelok EP. The effects of penicillin and cephalosporin ingestions in children less than six years of age. Vet Hum Toxicol. 1988; 30: 66‑67.
16 How Supplied/Storage And Handling
AUGMENTIN for Oral Suspension, USP:
125 mg/31.25 mg per 5 mL: Banana-flavored powder for oral suspension, each 5 mL of reconstituted suspension contains 125 mg of amoxicillin as the trihydrate and 31.25 mg of clavulanic acid as the potassium salt (equivalent to 37.23 mg of clavulanate potassium).
| NDC 28595-240-35 | 100 mL bottle |
| NDC 28595-240-36 | 150 mL bottle |
Dispense in original container.
Store tablets and dry powder at or below 25°C (77°F).
Store reconstituted suspension under refrigeration. Discard unused suspension after 10 days.
Keep out of the reach of children.
17 Patient Counseling Information
Bottle Label (100 Ml) 125Mg/31.25Mg For Oral Suspension
NDC 28595- 240-35
125 mg/31.25 mg per 5 mL
AUGMENTIN for oral suspension, USP
When reconstituted, each 5 mL contains:
AMOXICILLIN, 125 mgas the trihydrate, and
CLAVULANIC ACID, 31.25 mg(equivalent to 37.23 mg of clavulanate potassium)
100 mL(when reconstituted)
Rx only
Bottle Label (150 Ml) 125Mg/31.25Mg For Oral Suspension
NDC 28595- 240-36
125 mg/31.25 mg per 5 mL
AUGMENTIN for oral suspension, USP
When reconstituted, each 5 mL contains:
AMOXICILLIN, 125 mgas the trihydrate, and
CLAVULANIC ACID, 31.25 mg(equivalent to 37.23 mg of clavulanate potassium)
150 mL (when reconstituted)
Rx only
* Please review the disclaimer below.


