FDA Label for Abacavir
View Indications, Usage & Precautions
- BOXED WARNING
- 1 INDICATIONS & USAGE
- 2.1 SCREENING FOR HLA-B*5701 ALLELE PRIOR TO STARTING ABACAVIR
- 2.2 RECOMMENDED DOSAGE FOR ADULTS PATIENTS
- 2.3 RECOMMENDED DOSAGE FOR PEDIATRIC
- 2.4 RECOMMENDED DOSAGE FOR PATIENTS WITH HEPATIC IMPAIRMENT
- 3 DOSAGE FORMS & STRENGTHS
- 4 CONTRAINDICATIONS
- 5.1 HYPERSENSITIVITY REACTIONS
- 5.2 LACTIC ACIDOSIS AND SEVERE HEPATOMEGALY WITH STEATOSIS
- 5.3 IMMUNE RECONSTITUTION SYNDROME
- 5.4 FAT REDISTRIBUTION
- 5.5 MYOCARDIAL INFARCTION
- 6 ADVERSE REACTIONS
- 6.1 CLINICAL TRIALS EXPERIENCE IN ADULT SUBJECTS
- 6.2 CLINICAL TRIALS EXPERIENCE IN PEDIATRIC SUBJECTS
- 6.3 POSTMARKETING EXPERIENCE
- 7.1 METHADONE
- 8.1 PREGNANCY
- 8.2 LACTATION
- 8.4 PEDIATRIC USE
- 8.5 GERIATRIC USE
- 8.6 PATIENTS WITH IMPAIRED HEPATIC FUNCTION
- 10 OVERDOSAGE
- 11 DESCRIPTION
- 12.1 MECHANISM OF ACTION
- 12.3 PHARMACOKINETICS
- 12.4 MICROBIOLOGY
- 13.1 CARCINOGENESIS, MUTAGENESIS, IMPAIRMENT OF FERTILITY
- 13.2 ANIMAL TOXICOLOGYAND/OR PHARMACOLOGY
- 14.1 ADULTS TRIALS
- 14.2 PEDIATRIC TRIALS
- 16 HOW SUPPLIED/STORAGE AND HANDLING
- 17 PATIENT COUNSELING INFORMATION
- MEDICATION GUIDE
- PACKAGE LABEL.PRINCIPAL DISPLAY PANEL
Abacavir Product Label
The following document was submitted to the FDA by the labeler of this product Camber Pharmaceuticals, Inc.. The document includes published materials associated whith this product with the essential scientific information about this product as well as other prescribing information. Product labels may durg indications and usage, generic names, contraindications, active ingredients, strength dosage, routes of administration, appearance, warnings, inactive ingredients, etc.
Boxed Warning
WARNING: HYPERSENSITIVITY REACTIONS, and LACTIC ACIDOSIS, AND SEVERE HEPATOMEGALY WITH STEATOSIS
Hypersensitivity Reactions
Serious and sometimes fatal hypersensitivity reactions, with multiple organ involvement, have occured with abacavir.
Patients who carry the HLA-B*5701 allele are at a higher risk of a hypersensitivity reaction to abacavir; although, hypersensitivity reactions have occurred in patients who do not carry the HLA-B*5701 allele [see Warnings and Precautions (5.1)].
Abacavir is contraindicated in patients with a prior hypersensitivity reaction to abacavir and in HLA-B*5701-positive patients [see Contraindications (4), Warnings and Precautions (5.1)]. All patients should be screened for the HLA-B*5701 allele prior to initiating therapy with abacavir or reinitiation of therapy with abacavir, unless patients have a previously documented HLA-B*5701 allele assessment. Discontinue abacavir immediately if a hypersensitivity reaction is suspected, regardless of HLA-B*5701 status and even when other diagnoses are possible [see Contraindications (4), Warnings and Precautions (5.1)].
Following a hypersensitivity reaction to abacavir, NEVER restart abacavir oral solution or any other abacavir-containing product because more severe symptoms, including death can occur within hours. Similar severe reactions have also occurred rarely following the reintroduction of abacavir-containing products in patients who have no history of abacavir hypersensitivity [see Warnings and Precautions (5.1)].
Lactic Acidosis and Severe Hepatomegaly with Steatosis
Lactic acidosis and severe hepatomegaly with steatosis, including fatal cases, have been reported with the use of nucleoside analogues and other antiretrovirals. Discontinue abacavir if clinical or laboratory findings suggestive of lactic acidosis or pronounced hepatotoxicity occur [see Warnings and Precautions (5.2)].
1 Indications & Usage
Abacavir oral solution in combination with other antiretroviral agents, is indicated for the treatment of human immunodeficiency virus (HIV-1) infection.
2.1 Screening For Hla-B*5701 Allele Prior To Starting Abacavir
Screen for the HLA-B*5701 allele prior to initiating therapy with abacavir [see Boxed Warning, Warnings and Precautions (5.1)].
2.2 Recommended Dosage For Adults Patients
The recommended dosage of abacavir for adults is 600 mg daily, administered orally as either 300 mg twice daily or 600 mg once daily, in combination with other antiretroviral agents.
2.3 Recommended Dosage For Pediatric
The recommended dosage of abacavir oral solution in HIV-1-infected pediatric patients aged 3 months and older is 8 mg per kg orally twice daily or 16 mg per kg orally once-daily (up to a maximum of 600 mg daily) in combination with other antiretroviral agents.
Abacavir is also available as a scored tablet for HIV-1-infected pediatric patients weighing greater than or equal to 14 kg for whom a solid dosage form is appropriate. Before prescribing abacavir tablets, children should be assessed for the ability to swallow tablets. If a child is unable to reliably swallow abacavir tablets, the oral solution formulation should be prescribed. The recommended oral dosage of abacavir tablets for HIV-1-infected pediatric patients is presented in Table 1.
Table 1. Dosing Recommendations for Abacavir Scored Tablets in Pediatric Patients
| Weight (Kg) | Once-daily Dosing Regimena | Twice-daily Dosage Regimen | ||
| AM Dose | PM Dose | Total Daily Dose | ||
| 14 to <20 | 1 tablet (300 mg) | ½ tablet (150 mg) | ½ tablet (150 mg) | 300 mg |
| ≥20 to <25 | 1½ tablets (450 mg) | ½ tablet (150 mg) | 1 tablet (300 mg) | 450 mg |
| ≥25 | 2 tablets (600 mg) | 1 tablet (300 mg) | 1 tablet (300 mg) | 600 mg |
a Data regarding the efficacy of once-daily dosing is limited to subjects who transitioned from twice-daily dosing to once-daily dosing after 36 weeks of treatment [see Clinical Studies (14.2)].
2.4 Recommended Dosage For Patients With Hepatic Impairment
The recommended dose of abacavir in patients with mild hepatic impairment (Child-Pugh Class A) is 200 mg twice daily. To enable dose reduction, abacavir oral solution (10 mL twice daily) should be used for the treatment of these patients. The safety, efficacy, and pharmacokinetic properties of abacavir have not been established in patients with moderate to severe hepatic impairment; therefore, abacavir is contraindicated in these patients.
3 Dosage Forms & Strengths
Abacavir oral solution, USP contains 20 mg per mL of abacavir as abacavir sulfate, USP. The solution is clear yellowish, strawberry-banana flavored liquid filled in 250 cc HDPE opaque bottles.
4 Contraindications
Abacavir oral solution is contraindicated in patients:
• who have the HLA-B*5701 allele [see Warnings and Precautions (5.1)].
• with prior hypersensitivity reaction to abacavir [see Warnings and Precautions (5.1)].
• with moderate or severe hepatic impairment [see Use in Specific Populations (8.6)].
5.1 Hypersensitivity Reactions
Serious and sometimes fatal hypersensitivity reactions have occurred with abacavir. These hypersensitivity reactions have included multi-organ failure and anaphylaxis and typically occurred within the first 6 weeks of treatment with abacavir (median time to onset was 9 days); although abacavir hypersensitivity reactions have occurred any time during treatment [see Adverse Reactions (6.1)]. Patients who carry the HLA-B*5701 allele are at a higher risk of abacavir hypersensitivity reactions; although, patients who do not carry the HLA-B*5701 allele have developed hypersensitivity reactions. Hypersensitivity to abacavir was reported in approximately 206 (8%) of 2,670 patients in 9 clinical trials with abacavir-containing products where HLA-B*5701 screening was not performed. The incidence of suspected abacavir hypersensitivity reactions in clinical trials was 1% when subjects carrying the HLA-B*5701 allele were excluded. In any patient treated with abacavir, the clinical diagnosis of hypersensitivity reaction must remain the basis of clinical decision making.
Due to the potential for severe, serious, and possibly fatal hypersensitivity reactions with abacavir:
• All patients should be screened for the HLA-B*5701 allele prior to initiating therapy with abacavir or reinitiation of therapy with abacavir, unless patients have a previously documented HLA- B*5701 allele assessment.
• Abacavir is contraindicated in patients with a prior hypersensitivity reaction to abacavir and in HLA-B*5701-positive patients.
• Before starting abacavir, review medical history for prior exposure to any abacavir-containing product. NEVER restart abacavir oral solution or any other abacavir-containing product following a hypersensitivity reaction to abacavir, regardless of HLA-B*5701 status.
• To reduce the risk of a life-threatening hypersensitivity reaction, regardless of HLA-B*5701 status, discontinue abacavir immediately if a hypersensitivity reaction is suspected, even when other diagnoses are possible (e.g., acute onset respiratory diseases such as pneumonia, bronchitis, pharyngitis, or influenza; gastroenteritis; or reactions to other medications).
• If a hypersensitivity reaction cannot be ruled out, do not restart abacavir oral solution or any other abacavir-containing products because more severe symptoms which may include life-threatening hypotension and death, can occur within hours.
• If a hypersensitivity reaction is ruled out, patients may restart abacavir. Rarely, patients who have stopped abacavir for reasons other than symptoms of hypersensitivity have also experienced life-threatening reactions within hours of reinitiating abacavir therapy. Therefore, reintroduction of abacavir oral solution or any other abacavir-containing product is recommended only if medical care can be readily accessed.
• A Medication Guide and Warning Card that provide information about recognition of hypersensitivity reactions should be dispensed with each new prescription and refill.
5.2 Lactic Acidosis And Severe Hepatomegaly With Steatosis
Lactic acidosis and severe hepatomegaly with steatosis, including fatal cases, have been reported with the use of nucleoside analogues and other antiretrovirals. A majority of these cases have been in women. Obesity and prolonged nucleoside exposure may be risk factors. Caution should be exercised when administering abacavir to any patient with known risk factors for liver disease; however, cases have also been reported in patients with no known risk factors. Treatment with abacavir should be suspended in any patient who develops clinical or laboratory findings suggestive of lactic acidosis or pronounced hepatotoxicity (which may include hepatomegaly and steatosis even in the absence of marked transaminase elevations).
5.3 Immune Reconstitution Syndrome
Immune reconstitution syndrome has been reported in patients treated with combination antiretroviral therapy, including abacavir. During the initial phase of combination antiretroviral treatment, patients whose immune systems respond may develop an inflammatory response to indolent or residual opportunistic infections (such as Mycobacterium avium infection, cytomegalovirus, Pneumocystis jirovecii pneumonia [PCP], or tuberculosis), which may necessitate further evaluation and treatment.
Autoimmune disorders (such as Graves' disease, polymyositis, and Guillain-Barré syndrome) have also been reported to occur in the setting of immune reconstitution; however, the time to onset is more variable and can occur many months after initiation of treatment.
5.4 Fat Redistribution
Redistribution/accumulation of body fat including central obesity, dorsocervical fat enlargement (buffalo hump), peripheral wasting, facial wasting, breast enlargement, and "cushingoid appearance" have been observed in patients receiving antiretroviral therapy. The mechanism and long-term consequences of these events are currently unknown. A causal relationship has not been established.
5.5 Myocardial Infarction
In a published prospective, observational, epidemiological trail designed to investigate the rate of myocardial infarction (MI) in patients on combination antiretroviral therapy, the use of abacavir within the previous 6 months was correlated with an increased risk of MI. In a sponsor-conducted pooled analysis of clinical trials, no excess risk of MI was observed in abacavir-treated subjects as compared with control subjects. In totality, the available data from the observational cohort and from clinical trials are inconclusive.
As a precaution, the underlying risk of coronary heart disease should be considered when prescribing antiretroviral therapies, including abacavir, and action taken to minimize all modifiable risk factors (e.g., hypertension, hyperlipidemia, diabetes mellitus, smoking).
6 Adverse Reactions
The following adverse reactions are discussed in other sections of the labeling:
• Serious and sometimes fatal hypersensitivity reaction [see Boxed Warning, Warnings and Precautions (5.1)].
• Lactic acidosis and severe hepatomegaly with steatosis [see Boxed Warning, Warnings and Precautions (5.2)].
• Immune reconstitution syndrome [see Warnings and Precautions (5.3)].
• Fat redistribution [see Warnings and Precautions (5.4)].
• Myocardial infarction [see Warnings and Precautions (5.5)].
6.1 Clinical Trials Experience In Adult Subjects
Because clinical trials are conducted under widely varying conditions, adverse reaction rates observed in the clinical trials of a drug cannot be directly compared with rates in the clinical trials of another drug and may not reflect the rates observed in clinical practice.
Serious and Fatal Abacavir-Associated Hypersensitivity Reactions
In clinical trials, serious and sometimes fatal hypersensitivity reactions have occurred with abacavir [see Boxed Warning, Warnings and Precautions (5.1)]. These reactions have been characterized by 2 or more of the following signs or symptoms: (1) fever; (2) rash; (3) gastrointestinal symptoms (including nausea, vomiting, diarrhea, or abdominal pain); (4) constitutional symptoms (including generalized malaise, fatigue, or achiness); (5) respiratory symptoms (including dyspnea, cough, or pharyngitis). Almost all abacavir hypersensitivity reactions include fever and/or rash as part of the syndrome.
Other signs and symptoms have included lethargy, headache, myalgia, edema, arthralgia, and paresthesia. Anaphylaxis, liver failure, renal failure, hypotension, adult respiratory distress syndrome, respiratory failure, myolysis, and death have occurred in association with these hypersensitivity reactions. Physical findings have included lymphadenopathy, mucous membrane lesions (conjunctivitis and mouth ulcerations), and maculopapular or urticarial rash (although some patients had other types of rashes and others did not have a rash). There were reports of erythema multiforme. Laboratory abnormalities included elevated liver chemistries, elevated creatine phosphokinase, elevated creatinine, and lymphopenia, and abnormal chest x-ray findings (predominantly infiltrates, which were localized).
Additional Adverse Reactions with Use of Abacavir
Therapy-Naive Adults: Treatment-emergent clinical adverse reactions (rated by the investigator as moderate or severe) with a greater than or equal to 5% frequency during therapy with abacavir 300 mg twice daily, lamivudine 150 mg twice daily, and efavirenz 600 mg daily compared with zidovudine 300 mg twice daily, lamivudine 150 mg twice daily, and efavirenz 600 mg daily from CNA30024 are listed in Table 2.
Table 2. Treatment-Emergent (All Causality) Adverse Reactions of at Least Moderate Intensity (Grades 2 to 4, Greater than or Equal to 5% Frequency) in Therapy-Naive Adults (CNA30024a) through 48 Weeks of Treatment
| Adverse Reaction | Abacavir plus Lamivudine plus Efavirenz (n = 324) | Zidovudine plus Lamivudine plus Efavirenz (n = 325) |
| Dreams/sleep disorders | 10% | 10% |
| Drug hypersensitivity | 9% | <1%b |
| Headaches/migraine | 7% | 11% |
| Nausea | 7% | 11% |
| Fatigue/malaise | 7% | 10% |
| Diarrhea | 7% | 6% |
| Rashes | 6% | 12% |
| Abdominal pain/gastritis/ gastrointestinal signs and symptoms | 6% | 8% |
| Depressive disorders | 6% | 6% |
| Dizziness | 6% | 6% |
| Musculoskeletal pain | 6% | 5% |
| Bronchitis | 4% | 5% |
| Vomiting | 2% | 9% |
a This trial used double-blind ascertainment of suspected hypersensitivity reactions. During the blinded portion of the trial, suspected hypersensitivity to abacavir was reported by investigators in 9% of 324 subjects in the abacavir group and 3% of 325 subjects in the zivdoudine group.
b Ten (3%) cases of suspected drug hypersensitivity were reclassified as not being due to abacavir following unblinding.
Treatment-emergent clinical adverse reactions (rated by the investigator as moderate or severe) with a greater than or equal to 5% frequency during therapy with abacavir 300 mg twice daily, lamivudine 150 mg twice daily, and zidovudine 300 mg twice daily compared with indinavir 800 mg 3 times daily, lamivudine 150 mg twice daily, and zidovudine 300 mg twice daily from CNA3005 are listed in Table 3.
Table 3. Treatment-Emergent (All Causality) Adverse Reactions of at Least Moderate Intensity (Grades 2 to 4, Greater than or Equal to 5% Frequency) in Therapy-Naive Adults (CNA3005) through 48 Weeks of Treatment
| Adverse Reaction | Abacavir plus Lamivudine/Zidovudine (n = 262) | Indinavir plus Lamivudine/Zidovudine (n = 264) |
| Nausea | 19% | 17% |
| Headache | 13% | 9% |
| Malaise and fatigue | 12% | 12% |
| Nausea and vomiting | 10% | 10% |
| Hypersensitivity reaction | 8% | 2% |
| Diarrhea | 7% | 5% |
| Fever and/or chills | 6% | 3% |
| Depressive disorders | 6% | 4% |
| Musculoskeletal pain | 5% | 7% |
| Skin rashes | 5% | 4% |
| Ear/nose/throat infections | 5% | 4% |
| Viral respiratory infections | 5% | 5% |
| Anxiety | 5% | 3% |
| Renal signs/symptoms | <1% | 5% |
| Pain (non-site-specific) | <1% | 5% |
Five subjects receiving abacavir in CNA3005 experienced worsening of pre-existing depression compared with none in the indinavir arm. The background rates of pre-existing depression were similar in the 2 treatment arms.
Abacavir Once Daily versus Abacavir Twice Daily (CNA30021): Treatment-emergent clinical adverse reactions (rated by the investigator as at least moderate) with a greater than or equal to 5% frequency during therapy with abacavir 600 mg once daily or abacavir 300 mg twice daily, both in combination with lamivudine 300 mg once daily and efavirenz 600 mg once daily from CNA30021, were similar. For hypersensitivity reactions, subjects receiving abacavir once daily showed a rate of 9% in comparison with a rate of 7% for subjects receiving abacavir twice daily. However, subjects receiving abacavir 600 mg once daily experienced a significantly higher incidence of severe drug hypersensitivity reactions and severe diarrhea compared with subjects who received abacavir 300 mg twice daily. Five percent (5%) of subjects receiving abacavir 600 mg once daily had severe drug hypersensitivity reactions compared with 2% of subjects receiving abacavir 300 mg twice daily. Two percent (2%) of subjects receiving abacavir 600 mg once daily had severe diarrhea while none of the subjects receiving abacavir 300 mg twice daily had this event.
Laboratory Abnormalities: Laboratory abnormalities (Grades 3 to 4) in therapy-naive adults during therapy with abacavir 300 mg twice daily, lamivudine 150 mg twice daily, and efavirenz 600 mg daily compared with zidovudine 300 mg twice daily, lamivudine 150 mg twice daily, and efavirenz 600 mg daily from CNA30024 are listed in Table 4.
Table 4. Laboratory Abnormalities (Grades 3 to 4) in Therapy-Naive Adults (CNA30024) through 48 Weeks of Treatment
Grade 3/4 Laboratory Abnormalities | Abacavir plus Lamivudine plus Efavirenz (n= 324) | Zidovudine plus Lamivudine plus Efavirenz (n = 325) |
Elevated CPK (>4 X ULN) | 8% | 8% |
Elevated ALT (>5 X ULN) | 6% | 6% |
Elevated AST (>5 X ULN) | 6% | 5% |
Hypertriglyceridemia (>750 mg/dL) | 6% | 5% |
Hyperamylasemia (>2 X ULN) | 4% | 5% |
Neutropenia (ANC <750/mm3) | 2% | 4% |
Anemia (Hgb ≤6.9 gm/dL) | <1% | 2% |
Thrombocytopenia (Platelets <50,000/mm3) | 1% | <1% |
Leukopenia (WBC ≤1,500/mm3) | <1% | 2% |
ULN = Upper limit of normal.
n = Number of subjects assessed.
Laboratory abnormalities in CNA3005 are listed in Table 5.
Table 5. Treatment-Emergent Laboratory Abnormalities (Grades 3 to 4) in CNA3005
Grade 3/4 Laboratory Abnormalities | Abacavir plus Lamivudine/Zidovudine (n = 262) | Indinavir plus Lamivudine/Zidovudine (n = 264) |
Elevated CPK (>4 x ULN) | 18 (7%) | 18 (7%) |
ALT (>5 x ULN) | 16 (6%) | 16 (6%) |
Neutropenia (<750/mm3) | 13 (5%) | 13 (5%) |
Hypertriglyceridemia (>750 mg/dL) | 5 (2%) | 3 (1%) |
Hyperamylasemia (>2 x ULN) | 5 (2%) | 1 (<1%) |
Hyperglycemia (>13.9 mmol/L) | 2 (<1%) | 2 (<1%) |
Anemia (Hgb ≤6.9 g/dL) | 0 (0%) | 3 (1%) |
ULN = Upper limit of normal.
n = Number of subjects assessed.
The frequencies of treatment-emergent laboratory abnormalities were comparable between treatment groups in CNA30021.
6.2 Clinical Trials Experience In Pediatric Subjects
Therapy-Experienced Pediatric Subjects (Twice-Daily Dosing)
Treatment-emergent clinical adverse reactions (rated by the investigator as moderate or severe) with a greater than or equal to 5% frequency during therapy with abacavir 8 mg per kg twice daily, lamivudine 4 mg per kg twice daily, and zidovudine 180 mg per m2 twice daily compared with lamivudine 4 mg per kg twice daily and zidovudine 180 mg per m2 twice daily from CNA3006 are listed in Table 6.
Table 6. Treatment-Emergent (All Causality) Adverse Reactions of at Least Moderate Intensity (Grades 2 to 4, Greater than or Equal to 5% Frequency) in Therapy-Experienced Pediatric Subjects (CNA3006) through 16 Weeks of Treatment
| Adverse Reaction | Abacavir plus Lamivudine plus Zidovudine (n = 102) | Lamivudine plus Zidovudine (n = 103) |
| Fever and/or chills | 9% | 7% |
| Nausea and vomiting | 9% | 2% |
| Skin rashes | 7% | 1% |
| Ear/nose/throat infections | 5% | 1% |
| Pneumonia | 4% | 5% |
| Headache | 1% | 5% |
Laboratory Abnormalities: In CNA3006, laboratory abnormalities (anemia, neutropenia, liver function test abnormalities, and CPK elevations) were observed with similar frequencies as in a trial of therapy-naive adults (CNA30024). Mild elevations of blood glucose were more frequent in pediatric subjects receiving abacavir (CNA3006) as compared with adult subjects (CNA30024).
Other Adverse Events
In addition to adverse reactions and laboratory abnormalities reported in Tables 2, 3, 4, 5, and 6, other adverse reactions observed in the expanded access program were pancreatitis and increased GGT.
Pediatric Subjects Once-Daily verses Twice-Daily Dosing (COL105677): The safety of once-daily compared with twice-daily dosing of abacavir was assessed in the ARROW trial. Primary safety assessment in the ARROW trial was based on Grade 3 and Grade 4 adverse events. The frequency of Grade 3 and 4 adverse events was similar among subjects randomized to once-daily dosing compared with subjects randomized to twice-daily dosing. One event of Grade 4 hepatitis in the once-daily cohort was considered as uncertain causality by the investigator and all other Grade 3 or 4 adverse events were considered not related by the investigator.
6.3 Postmarketing Experience
The following adverse reactions have been identified during postmarketing use of abacavir. Because these reactions are reported voluntarily from a population of unknown size, it is not always possible to reliably estimate their frequency or establish a causal relationship to drug exposure.
Body as a Whole
Redistribution/accumulation of body fat.
Cardiovascular
Myocardial infarction.
Hepatic
Lactic acidosis and hepatic steatosis [see Warnings and Precautions (5.2)].
Skin
Suspected Stevens-Johnson syndrome (SJS) and toxic epidermal necrolysis (TEN) have been reported in patients receiving abacavir primarily in combination with medications known to be associated with SJS and TEN, respectively. Because of the overlap of clinical signs and symptoms between hypersensitivity to abacavir and SJS and TEN, and the possibility of multiple drug sensitivities in some patients, abacavir should be discontinued and not restarted in such cases.
There have also been reports of erythema multiforme with abacavir use [see Adverse Reactions (6.1)].
7.1 Methadone
In a trial of 11 HIV-1-infected subjects receiving methadone-maintenance therapy with 600 mg of abacavir twice daily (twice the currently recommended dose), oral methadone clearance increased [see Clinical Pharmacology (12.3)]. This alteration will not result in a methadone dose modification in the majority of patients; however, an increased methadone dose may be required in a small number of patients.
8.1 Pregnancy
Teratogenic effects:
Pregnancy Exposure Registry
There is a pregnancy exposure registry that monitors pregnancy outcomes in women exposed to abacavir during pregnancy. Healthcare Providers are encouraged to register patients by calling the Antiretroviral Pregnancy Registry (APR)at 1-800-258-4263.
Risk Summary
Available data from the APR show no difference in the overall risk of birth defects for abacavir compared with the background rate for birth defects of 2.7% in the Metropolitan Atlanta Congenital Defects Program (MACDP) reference population [see Data]. The APR uses the MACDP as the U.S. reference population for birth defects in the general population. The MACDP evaluates women and infants from a limited geographic area and does not include outcomes for births that occurred at less than 20 weeks gestation. The rate of miscarriage is not reported in the APR. The estimated background rate of miscarriage in clinically recognized pregnancies in the U.S. general population is 15% to 20%. The background risk for major birth defects and miscarriage for the indicated population is unknown.
In animal reproduction studies, oral administration of abacavir to pregnant rats during organogenesis resulted in fetal malformations and other embryonic and fetal toxicities at exposures 35 times the human exposure (AUC) at the recommended clinical daily dose. However, no adverse developmental effects were observed following oral administration of abacavir to pregnant rabbits during organogenesis, at exposures approximately 9 times the human exposure (AUC) at the recommended clinical dose [see Data].
Data
Human Data: Based on prospective reports to the APR of over 2,000 exposures to abacavir during pregnancy resulting in live births (including over 1,000 exposed in the first trimester), there was no difference between the overall risk of birth defects for abacavir compared with the background birth defect rate of 2.7% in the U.S. reference population of the MACDP. The prevalence of defects in live births was 2.9% (95% CI: 2.0% to 4.1%) following first trimester exposure to abacavir-containing regimens and 2.7% (95% CI: 1.9% to 3.7%) following second/third trimester exposure to abacavir-containing regimens.
Abacavir has been shown to cross the placenta and concentrations in neonatal plasma at birth were essentially equal to those in maternal plasma at delivery [see Clinical Pharmacology (12.3)].
Animal Data: Abacavir was administered orally to pregnant rats (at 100, 300, and 1,000 mg per kg per day) and rabbits (at 125, 350, or 700 mg per kg per day) during organogenesis (on gestation Days 6 through 17 and 6 through 20, respectively). Fetal malformations (increased incidences of fetal anasarca and skeletal malformations) or developmental toxicity (decreased fetal body weight and crown-rump length) were observed in rats at doses up to 1,000 mg per kg per day, resulting in exposures approximately 35 times the human exposure (AUC) at the recommended daily dose. No developmental effects were observed in rats at 100 mg per kg per day, resulting in exposures (AUC) 3.5 times the human exposure at the recommended daily dose. In a fertility and early embryo-fetal development study conducted in rats (at 60, 160, or 500 mg per kg per day), embryonic and fetal toxicities (increased resorptions, decreased fetal body weights) or toxicities to the offspring (increased incidence of stillbirth and lower body weights) occurred at doses up to 500 mg per kg per day. No developmental effects were observed in rats at 60 mg per kg per day, resulting in exposures (AUC) approximately 4 times the human exposure at the recommended daily dose. Studies in pregnant rats showed that abacavir is transferred to the fetus through the placenta. In pregnant rabbits, no developmental toxicities and no increases in fetal malformations occurred at up to the highest dose evaluated, resulting in exposures (AUC) approximately 9 times the human exposure at the recommended dose.
8.2 Lactation
Risk Summary
The Centers for Disease Control and Prevention recommend that HIV-1-infected mothers in the United States not breastfeed their infants to avoid risking postnatal transmission of HIV-1 infection. Abacavir is present in human milk. There is no information on the effects of abacavir on the breastfed infant or the effects of the drug on milk production. Because of the potential for
(1) HIV-1 transmission (in HIV-negative infants), (2) developing viral resistance (in HIV-positive infants), and (3) serious adverse reactions in a breastfed infant, instruct mothers not to breastfeed if they are receiving abacavir.
8.4 Pediatric Use
The safety and effectiveness of abacavir have been established in pediatric patients aged 3 months and older. Use of abacavir is supported by pharmacokinetic trials and evidence from adequate and well-controlled trials of abacavir in adults and pediatric subjects [see Dosage and Administration (2.2), Adverse Reactions (6.2), Clinical Pharmacology (12.3), Clinical Studies (14.2)].
8.5 Geriatric Use
Clinical trials of abacavir did not include sufficient numbers of subjects aged 65 and over to determine whether they respond differently from younger subjects. In general, caution should be exercised in the administration of abacavir in elderly patient reflecting the greater frequency of decreased hepatic, renal, or cardiac function, and of concomitant disease or other drug therapy.
8.6 Patients With Impaired Hepatic Function
A dose reduction is required for patients with mild hepatic impairment (Child-Pugh Class A) [see Dosage and Administration (2.4)]. The safety, efficacy, and pharmacokinetic properties of abacavir have not been established in patients with moderate or severe hepatic impairment; therefore, abacavir is contraindicated in these patients [see Contraindications (4), Clinical Pharmacology (12.3)].
10 Overdosage
There is no known specific treatment for overdose with abacavir. If overdose occurs, the patient should be monitored and standard supportive treatment applied as required. It is not known whether abacavir can be removed by peritoneal dialysis or hemodialysis.
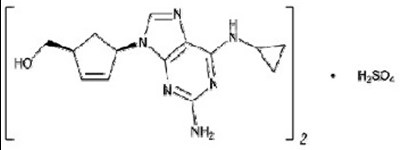
11 Description
Abacavir sulfate is a synthetic carbocyclic nucleoside analogue with inhibitory activity against HIV-1. The chemical name of abacavir sulfate is (1S,4R)-4-[2-Amino-6-(cyclopropylamino)-9H-purin-9-yl]- 2-cyclopentene-1-methanol sulfate (salt) (2:1). Abacavir sulfate is the enantiomer with 1S, 4R absolute configuration on the cyclopentene ring. It has a molecular formula of (C14H18N6O)2•H2SO4 and a molecular weight of 670.74 daltons. It has the following structural formula:
Abacavir sulfate, USP is a white to off-white powder. Soluble in water, slightly soluble in methanol. It has an octanol per water (pH 3.3) partition coefficient (log P) of approximately 1.0 by UV-spectrometry at 25°C.f
Abacavir oral solution, USP is for oral administration. Each milliliter (1 mL) of abacavir oral solution, USP contains abacavir sulfate USP equivalent to 20 mg of abacavir (i.e., 20 mg per mL) as active ingredient and the following inactive ingredients: anhydrous citric acid, methylparaben and propylparaben (added as preservatives), propylene glycol, saccharin sodium, sodium citrate (dihydrate), noncrystallizing sorbitol solution, strawberry and banana flavors and water.
In vivo, abacavir sulfate dissociates to its free base, abacavir. Dosages are expressed in terms of abacavir.
12.1 Mechanism Of Action
Abacavir is an antiretroviral agent [See Microbiology (12.4)].
12.3 Pharmacokinetics
Pharmacokinetics in Adults
The pharmacokinetic properties of abacavir were independent of dose over the range of 300 to 1,200 mg per day.
Absorption and Bioavailability: Following oral administration, abacavir is rapidly absorbed and extensively distributed. The geometric mean absolute bioavailability of the tablet was 83%. Plasma abacavir AUC was similar following administration of the oral solution or tablets. After oral administration of 300 mg twice daily in 20 subjects, the steady-state peak serum abacavir concentration (Cmax) was 3 ± 0.89 mcg per mL (mean ± SD) and AUC(0 to 12 h) was 6.02 ± 1.73 mcg•hour per mL. After oral administration of a single dose of 600 mg of abacavir in 20 subjects, Cmax was 4.26 ± 1.19 mcg per mL (mean ± SD) and AUC∞ was 11.95 ± 2.51 mcg•hour per mL.
Distribution: The apparent volume of distribution after IV administration of abacavir was 0.86 ± 0.15 L per kg, suggesting that abacavir distributes into extravascular space. In 3 subjects, the CSF AUC (0 to 6 h) to plasma abacavir AUC (0 to 6 h) ratio ranged from 27% to 33%.
Binding of abacavir to human plasma proteins is approximately 50% and was independent of concentration. Total blood and plasma drug-related radioactivity concentrations are identical, demonstrating that abacavir readily distributes into erythrocytes.
Metabolism and Elimination: In humans, abacavir is not significantly metabolized by cytochrome P450 enzymes. The primary routes of elimination of abacavir are metabolism by alcohol dehydrogenase to form the 5'-carboxylic acid and glucuronyl transferase to form the 5'-glucuronide. The metabolites do not have antiviral activity. In vitro experiments reveal that abacavir does not inhibit human CYP3A4, CYP2D6, or CYP2C9 activity at clinically relevant concentrations.
Elimination of abacavir was quantified in a mass balance trial following administration of a 600-mg dose of 14C-abacavir: 99% of the radioactivity was recovered, 1.2% was excreted in the urine as abacavir, 30% as the 5'-carboxylic acid metabolite, 36% as the 5'-glucuronide metabolite, and 15% as unidentified minor metabolites in the urine. Fecal elimination accounted for 16% of the dose.
In single-dose trials, the observed elimination half-life (t1/2) was 1.54 ± 0.63 hours. After intravenous administration, total clearance was 0.80 ± 0.24 L per hour per kg (mean ± SD).
Effects of Food on Oral Absorption
Bioavailability of abacavir tablets was assessed in the fasting and fed states with no significant difference in systemic exposure (AUC∞); therefore, abacavir tablets may be administered with or without food. Systemic exposure to abacavir was comparable after administration of abacavir oral solution and abacavir tablets. Therefore, these products may be used interchangeably.
Specific Populations
Renal Impairment: The pharmacokinetic properties of abacavir have not been determined in patients with impaired renal function. Renal excretion of unchanged abacavir is a minor route of elimination in humans.
Hepatic Impairment: The pharmacokinetics of abacavir have been studied in subjects with mild hepatic impairment (Child-Pugh Class A). Results showed that there was a mean increase of 89% in the abacavir AUC and an increase of 58% in the half-life of abacavir after a single dose of 600 mg of abacavir. The AUCs of the metabolites were not modified by mild liver disease; however, the rates of formation and elimination of the metabolites were decreased [see Contraindications (4), Use in Specific Populations (8.6)].
Pregnancy: Abacavir: Abacavir pharmacokinetics were studied in 25 pregnant women during the last trimester of pregnancy receiving abacavir 300 mg twice daily. Abacavir exposure (AUC) during pregnancy was similar to those in postpartum and in HIV-infected non-pregnant historical controls. Consistent with passive diffusion of abacavir across the placenta, abacavir concentrations in neonatal plasma cord samples at birth were essentially equal to those in maternal plasma at delivery.
Pediatric Patients: The pharmacokinetics of abacavir have been studied after either single or repeat doses of abacavir in 169 pediatric subjects. Subjects receiving abacavir oral solution according to the recommended dosage regimen achieved plasma concentrations of abacavir similar to adults. Subjects receiving abacavir oral tablets achieved higher plasma concentrations of abacavir than subjects receiving oral solution.
The pharmacokinetics of abacavir dosed once daily in HIV-1-infected pediatric subjects aged 3 months through 12 years was evaluated in 3 trials (PENTA 13 [n = 14], PENTA 15 [n = 18], and ARROW [n = 36]). All 3 trials were 2-period, crossover, open-label pharmacokinetic trials of twice- versus once-daily dosing of abacavir and lamivudine. For the oral solution as well as the tablet formulation, these 3 trials demonstrated that once-daily dosing provides comparable AUC 0 to 24 to twice-daily dosing of abacavir at the same total daily dose. The mean Cmax was approximately 1.6- to 2.3-fold higher with abacavir once-daily dosing compared with twice-daily dosing.
Geriatric Patients: The pharmacokinetics of abacavir have not been studied in subjects older than 65 years.
Gender: A population pharmacokinetic analysis in HIV-1-infected male (n = 304) and female (n = 67) subjects showed no gender differences in abacavir AUC normalized for lean body weight.
Race: There are no significant or clinically relevant racial differences between blacks and whites in abacavir pharmacokinetics.
Drug Interactions
In human liver microsomes, abacavir did not inhibit cytochrome P450 isoforms (2C9, 2D6, 3A4). Based on these data, it is unlikely that clinically significant drug interactions will occur between abacavir and drugs metabolized through these pathways.
Lamivudine and/or Zidovudine: Fifteen HIV-1-infected subjects were enrolled in a crossover-designed drug interaction trial evaluating single doses of abacavir (600 mg), lamivudine (150 mg), and zidovudine (300 mg) alone or in combination. Analysis showed no clinically relevant changes in the pharmacokinetics of abacavir with the addition of lamivudine or zidovudine or the combination of lamivudine and zidovudine. Lamivudine exposure (AUC decreased 15%) and zidovudine exposure (AUC increased 10%) did not show clinically relevant changes with concurrent abacavir.
Ethanol: Abacavir has no effect on the pharmacokinetic properties of ethanol. Ethanol decreases the elimination of abacavir causing an increase in overall exposure. Due to the common metabolic pathways of abacavir and ethanol via alcohol dehydrogenase, the pharmacokinetic interaction between abacavir and ethanol was studied in 24 HIV-1-infected male subjects. Each subject received the following treatments on separate occasions: a single 600-mg dose of abacavir, 0.7 g per kg ethanol (equivalent to 5 alcoholic drinks), and abacavir 600 mg plus 0.7 g per kg ethanol. Coadministration of ethanol and abacavir resulted in a 41% increase in abacavir AUC∞ and a 26% increase in abacavir t1/2. Abacavir had no effect on the pharmacokinetic properties of ethanol, so no clinically significant interaction is expected in men. This interaction has not been studied in females.
Methadone: In a trial of 11 HIV-1-infected subjects receiving methadone-maintenance therapy (40 mg and 90 mg daily), with 600 mg of abacavir twice daily (twice the currently recommended dose), oral methadone clearance increased 22% (90% CI: 6% to 42%). This alteration will not result in a methadone dose modification in the majority of patients; however, an increased methadone dose may be required in a small number of patients [see Drug Interactions (7)]. The addition of methadone had no clinically significant effect on the pharmacokinetic properties of abacavir.
12.4 Microbiology
Abacavir is a carbocyclic synthetic nucleoside analogue. Abacavir is converted by cellular enzymes to the active metabolite, carbovir triphosphate (CBV-TP), an analogue of deoxyguanosine-5'-triphosphate (dGTP). CBV-TP inhibits the activity of HIV-1 reverse transcriptase (RT) both by competing with the natural substrate dGTP and by its incorporation into viral DNA.
Antiviral Activity
The antiviral activity of abacavir against HIV-1 was assessed in a number of cell lines including primary monocytes/macrophages and peripheral blood mononuclear cells (PBMCs). EC50 values ranged from 3.7 to 5.8 microM (1 microM = 0.28 mcg per mL) and 0.07 to 1 microM against HIV-1IIIB and HIV-1BaL, respectively, and the mean EC50 value was 0.26 ± 0.18 microM against 8 clinical isolates. The median EC50 values of abacavir were 344 nM (range: 14.8 to 676 nM), 16.9 nM (range: 5.9 to 27.9 nM), 8.1 nM (range: 1.5 to 16.7 nM), 356 nM (range: 35.7 to 396 nM), 105 nM (range: 28.1 to 168 nM), 47.6 nM (range: 5.2 to 200 nM), 51.4 nM (range: 7.1 to 177 nM), and 282 nM (range: 22.4 to 598 nM) against HIV-1 clades A-G and group O viruses (n = 3 except n = 2 for clade B), respectively. The EC50 values against HIV-2 isolates (n = 4), ranged from 0.024 to 0.49 microM. The antiviral activity of abacavir in cell culture was not antagonized when combined with the nucleoside reverse transcriptase inhibitors (NRTIs) didanosine, emtricitabine, lamivudine, stavudine, tenofovir, zalcitabine or zidovudine, the non-nucleoside reverse transcriptase inhibitor (NNRTI) nevirapine, or the protease inhibitor (PI) amprenavir. Ribavirin (50 microM) used in the treatment of chronic HCV infection had no effect on the anti–HIV-1 activity of abacavir in cell culture.
Resistance
HIV-1 isolates with reduced susceptibility to abacavir have been selected in cell culture. Genotypic analysis of isolates selected in cell culture and recovered from abacavir-treated subjects demonstrated that amino acid substitutions K65R, L74V, Y115F, and M184V/I emerged in HIV-1 RT. M184V or I substitutions resulted in an approximately 2-fold decrease in susceptibility to abacavir. Substitutions K65R, L74M, or Y115F with M184V or I conferred a 7- to 8-fold reduction in abacavir susceptibility, and combinations of three substitutions were required to confer more than an 8-fold reduction in susceptibility.
Thirty-nine percent (7 of 18) of the isolates from subjects who experienced virologic failure in the abacavir once-daily arm had a greater than 2.5-fold mean decrease in abacavir susceptibility with a median-fold decrease of 1.3 (range: 0.5 to 11) compared with 29% (5 of 17) of the failure isolates in the twice-daily arm with a median-fold decrease of 0.92 (range: 0.7 to 13).
Cross-Resistance
Cross-resistance has been observed among NRTIs. Isolates containing abacavir resistance-associated substitutions, namely, K65R, L74V, Y115F, and M184V, exhibited cross-resistance to didanosine, emtricitabine, lamivudine, and tenofovir in cell culture and in subjects. An increasing number of thymidine analogue mutation substitutions (TAMs: M41L, D67N, K70R, L210W, T215Y/F, K219E/R/H/Q/N) is associated with a progressive reduction in abacavir susceptibility.
13.1 Carcinogenesis, Mutagenesis, Impairment Of Fertility
Carcinogenicity
Abacavir was administered orally at 3 dosage levels to separate groups of mice and rats in 2-year carcinogenicity studies. Results showed an increase in the incidence of malignant and non-malignant tumors. Malignant tumors occurred in the preputial gland of males and the clitoral gland of females of both species, and in the liver of female rats. In addition, non-malignant tumors also occurred in the liver and thyroid gland of female rats. These observations were made at systemic exposures in the range of 6 to 32 times the human exposure at the recommended dose of 600 mg.
Mutagenicity
Abacavir induced chromosomal aberrations both in the presence and absence of metabolic activation in an in vitro cytogenetic study in human lymphocytes. Abacavir was mutagenic in the absence of metabolic activation, although it was not mutagenic in the presence of metabolic activation in an L5178Y mouse lymphoma assay. Abacavir was clastogenic in males and not clastogenic in females in an in vivo mouse bone marrow micronucleus assay.
Abacavir was not mutagenic in bacterial mutagenicity assays in the presence and absence of metabolic activation.
Impairment of Fertility
Abacavir did not affect male or female fertility in rats at a dose associated with exposures (AUC) approximately 3.3 times (male) or 4.1 times (female) those in humans at the clinically recommended dose.
13.2 Animal Toxicologyand/Or Pharmacology
Myocardial degeneration was found in mice and rats following administration of abacavir for 2 years. The systemic exposures were equivalent to 7 to 24 times the expected systemic exposure in humans at a dose of 600 mg. The clinical relevance of this finding has not been determined.
14.1 Adults Trials
Therapy-Naive Adults
CNA30024 was a multicenter, double-blind, controlled trial in which 649 HIV-1-infected, therapy-naive adults were randomized and received either abacavir (300 mg twice daily), lamivudine (150 mg twice daily), and efavirenz (600 mg once daily); or zidovudine (300 mg twice daily), lamivudine (150 mg twice daily), and efavirenz (600 mg once daily). The duration of double-blind treatment was at least 48 weeks. Trial participants were male (81%), white (51%), black (21%), and Hispanic (26%). The median age was 35 years; the median pretreatment CD4+ cell count was 264 cells per mm3, and median plasma HIV-1 RNA was 4.79 log10 copies per mL. The outcomes of randomized treatment are provided in Table 7.
Table 7. Outcomes of Randomized Treatment through Week 48 (CNA30024)
| Outcome | Abacavir plus Lamivudine plus Efavirenz (n = 324) | Zidovudine plus Lamivudine plus Efavirenz (n = 325) |
| Respondera | 69% (73%) | 69% (71%) |
| Virologic failuresb | 6% | 4% |
| Discontinued due to adverse reactions | 14% | 16% |
| Discontinued due to other reasonsc | 10% | 11% |
a Subjects achieved and maintained confirmed HIV-1 RNA less than or equal to 50 copies per mL (less than 400 copies per mL) through Week 48 (Roche AMPLICOR Ultrasensitive HIV-1 MONITOR® standard test 1.0 PCR).
b Includes viral rebound, insufficient viral response according to the investigator, and failure to achieve confirmed less than or equal to 50 copies per mL by Week 48.
c Includes consent withdrawn, lost to follow up, protocol violations, those with missing data, clinical progression, and other.
After 48 weeks of therapy, the median CD4+ cell count increases from baseline were 209 cells per mm3 in the group receiving abacavir and 155 cells per mm3 in the zidovudine group. Through Week 48, 8 subjects (2%) in the group receiving abacavir (5 CDC classification C events and 3 deaths) and 5 subjects (2%) on the zidovudine arm (3 CDC classification C events and 2 deaths) experienced clinical disease progression.
CNA3005 was a multicenter, double-blind, controlled trial in which 562 HIV-1-infected, therapy-naive adults were randomized to receive either abacavir (300 mg twice daily) plus COMBIVIR® (lamivudine 150 mg/zidovudine 300 mg twice daily), or indinavir (800 mg 3 times a day) plus COMBIVIR twice daily. The trial was stratified at randomization by pre-entry plasma HIV-1 RNA 10,000 to 100,000 copies per mL and plasma HIV-1 RNA greater than 100,000 copies per mL. Trial participants were male (87%), white (73%), black (15%), and Hispanic (9%). At baseline the median age was 36 years; the median baseline CD4+ cell count was 360 cells per mm3, and median baseline plasma HIV-1 RNA was 4.8 log10 copies per mL. Proportions of subjects with plasma HIV-1 RNA less than 400 copies per mL (using Roche AMPLICOR HIV-1 MONITOR Test) through 48 weeks of treatment are summarized in Table 8.
Table 8. Outcomes of Randomized Treatment through Week 48 (CNA3005)
| Outcome | Abacavir plus Lamivudine/Zidovudine (n = 262) | Indinavir plus Lamivudine/Zidovudine (n = 265) |
| Respondera | 49% | 50% |
| Virologic failureb | 31% | 28% |
| Discontinued due to adverse reactions | 10% | 12% |
| Discontinued due to other reasonsc | 11% | 10% |
a Subjects achieved and maintained confirmed HIV-1 RNA less than 400 copies per mL.
b Includes viral rebound and failure to achieve confirmed less than 400 copies per mL by Week 48.
c Includes consent withdrawn, lost to follow up, protocol violations, those with missing data, clinical progression, and other.
Treatment response by plasma HIV-1 RNA strata is shown in Table 9.
Table 9. Proportions of Responders through Week 48 by Screening Plasma HIV-1 RNA Levels (CNA3005)
| Screening HIV-1 RNA (copies/mL) | Abacavir plus Lamivudine/Zidovudine (n = 262) | Indinavir plus Lamivudine/Zidovudine (n = 265) | ||
| <400 copies/mL | n | <400 copies/mL | n | |
| ≥10,000 - ≤100,000 >100,000 | 50% 48% | 166 96 | 48% 52% | 165 100 |
In subjects with baseline viral load greater than 100,000 copies per mL, percentages of subjects with HIV-1 RNA levels less than 50 copies per mL were 31% in the group receiving abacavir versus 45% in the group receiving indinavir.
Through Week 48, an overall mean increase in CD4+ cell count of about 150 cells per mm3 was observed in both treatment arms. Through Week 48, 9 subjects (3.4%) in the group receiving abacavir (6 CDC classification C events and 3 deaths) and 3 subjects (1.5%) in the group receiving indinavir (2 CDC classification C events and 1 death) experienced clinical disease progression.
CNA30021 was an international, multicenter, double-blind, controlled trial in which 770 HIV-1-infected, therapy-naive adults were randomized and received either abacavir 600 mg once daily or abacavir 300 mg twice daily, both in combination with lamivudine 300 mg once daily and efavirenz 600 mg once daily. The double-blind treatment duration was at least 48 weeks. Trial participants had a mean age of 37 years; were male (81%), white (54%), black (27%), and American Hispanic (15%). The median baseline CD4+ cell count was 262 cells per mm3 (range: 21 to 918 cells per mm3) and the median baseline plasma HIV-1 RNA was 4.89 log10 copies per mL (range: 2.60 to 6.99 log10 copies per mL).
The outcomes of randomized treatment are provided in Table 10.
Table 10. Outcomes of Randomized Treatment through Week 48 (CNA30021)
Outcome | Abacavir 600 mg q.d. plus EPIVIR® plus Efavirenz (n = 384) | Abacavir 300 mg b.i.d. plus EPIVIR plus Efavirenz (n = 386) |
Respondera | 64% (71%) | 65% (72%) |
Virologic failureb | 11% (5%) | 11% (5%) |
Discontinued due to adverse reactions | 13% | 11% |
Discontinued due to other reasonsc | 11% | 13% |
a Subjects achieved and maintained confirmed HIV-1 RNA less than 50 copies per mL (less than 400 copies per mL) through Week 48 (Roche AMPLICOR Ultrasensitive HIV-1 MONITOR standard test version 1.0).
b Includes viral rebound, failure to achieve confirmed less than 50 copies per mL (less than 400 copies per mL) by Week 48, and insufficient viral load response.
c Includes consent withdrawn, lost to follow up, protocol violations, clinical progression, and other.
After 48 weeks of therapy, the median CD4+ cell count increases from baseline were 188 cells per mm3 in the group receiving abacavir 600 mg once daily and 200 cells per mm3 in the group receiving abacavir 300 mg twice daily. Through Week 48, 6 subjects (2%) in the group receiving abacavir 600 mg once daily (4 CDC classification C events and 2 deaths) and 10 subjects (3%) in the group receiving abacavir 300 mg twice daily (7 CDC classification C events and 3 deaths) experienced clinical disease progression. None of the deaths were attributed to trial medications.
14.2 Pediatric Trials
Therapy-Experienced Pediatric Subjects
CNA3006 was a randomized, double-blind trial comparing abacavir 8 mg per kg twice daily plus lamivudine 4 mg per kg twice daily plus zidovudine 180 mg per m2 twice daily versus lamivudine 4 mg per kg twice daily plus zidovudine 180 mg per m2 twice daily. Two hundred and five therapy-experienced pediatric subjects were enrolled: female (56%), white (17%), black (50%), Hispanic (30%), median age of 5.4 years, baseline CD4+ cell percent greater than 15% (median = 27%), and median baseline plasma HIV-1 RNA of 4.6 log10 copies per mL. Eighty percent and 55% of subjects had prior therapy with zidovudine and lamivudine, respectively, most often in combination. The median duration of prior nucleoside analogue therapy was 2 years. At 16 weeks the proportion of subjects responding based on plasma HIV-1 RNA less than or equal to 400 copies per mL was significantly higher in subjects receiving abacavir plus lamivudine plus zidovudine compared with subjects receiving lamivudine plus zidovudine, 13% versus 2%, respectively. Median plasma HIV-1 RNA changes from baseline were -0.53 log10 copies per mL in the group receiving abacavir plus lamivudine plus zidovudine compared with -0.21 log10 copies per mL in the group receiving lamivudine plus zidovudine. Median CD4+ cell count increases from baseline were 69 cells per mm3 in the group receiving abacavir plus lamivudine plus zidovudine and 9 cells per mm3 in the group receiving lamivudine plus zidovudine.
Once-Daily Dosing
ARROW (COL105677) was a 5-year randomized, multicenter trial which evaluated multiple aspects of clinical management of HIV-1 infection in pediatric subjects. HIV-1–infected, treatment-naïve subjects aged 3 months to 17 years were enrolled and treated with a first-line regimen containing abacavir and lamivudine, dosed twice daily according to World Health Organization recommendations. After a minimum of 36 weeks of treatment, subjects were given the option to participate in Randomization 3 of the ARROW trial, comparing the safety and efficacy of once-daily dosing with twice-daily dosing of abacavir and lamivudine, in combination with a third antiretroviral drug, for an additional 96 weeks. Of the 1,206 original ARROW subjects, 669 participated in Randomization 3. Virologic suppression was not a requirement for participation at baseline for Randomization 3 (following a minimum of 36 weeks of twice-daily treatment), 75% of subjects in the twice-daily cohort were virologically suppressed compared with 71% of subjects in the once-daily cohort.
The proportions of subjects with HIV-1 RNA less than 80 copies per mL through 96 weeks are shown in Table 11. The differences between virologic responses in the two treatment arms were comparable across baseline characteristics for gender and age.
Table 11. Virologic Outcome of Randomized Treatment at Week 96a (ARROW Randomization 3)
| Outcome | Abacavir plus Lamivudine Twice-Daily Dosing (n = 333) | Abacavir plus Lamivudine Once-daily Dosing (n = 336) |
| HIV-1 RNA <80 copies/mLb | 70% | 67% |
| HIV-1 RNA ≥80 copies/mLc | 28% | 31% |
| No virologic data | | |
| Discontinued due to adverse event or death | 1% | <1% |
| Discontinued study for other reasonsd | 0% | <1% |
| Missing data during window but on study | 1% | 1% |
a Analyses were based on the last observed viral load data within the Week 96 window.
b Predicted difference (95% CI) of response rate is -4.5% (-11% to 2%) at Week 96.
c Includes subjects who discontinued due to lack or loss of efficacy or for reasons other than an adverse event or death, and had a viral load value of greater than or equal to 80 copies per mL, or subjects who had a switch in background regimen that was not permitted by the protocol.
d Other includes reasons such as withdrew consent, loss to follow-up, etc. and the last available HIV-1 RNA less than 80 copies per mL (or missing).
16 How Supplied/Storage And Handling
Abacavir oral solution USP is a clear yellowish, strawberry-banana flavored liquid filled in 250 cc HDPE opaque bottles. Each mL of the solution contains abacavir sulfate USP equivalent to 20 mg of abacavir. They are supplied in:
Bottles of 240 mL with Induction Sealing FSE Wad (NDC 31722-562-24).
This product does not require reconstitution.
Store at 20° to 25°C (68° to 77°F) [see USP Controlled Room Temperature]. DO NOT FREEZE. May be refrigerated.
17 Patient Counseling Information
Advise the patient to read the FDA-approved patient labeling (Medication Guide).
Hypersensitivity Reactions
Inform patients:
• that a Medication Guide and Warning Card summarizing the symptoms of the abacavir hypersensitivity reaction and other product information will be dispensed by the pharmacist with each new prescription and refill of abacavir oral solution, and instruct the patient to read the Medication Guide and Warning Card every time to obtain any new information that may be present about abacavir. The complete text of the Medication Guide is reprinted at the end of this document.
• to carry the Warning Card with them.
• how to identify a hypersensitivity reaction [see Warnings and Precautions (5.1), Medication Guide].
• that if they develop symptoms consistent with a hypersensitivity reaction they should call their healthcare provider right away to determine if they should stop taking abacavir oral solution.
• that a hypersensitivity reaction can worsen and lead to hospitalization or death if abacavir is not immediately discontinued.
• to not restart abacavir oral solution or any other abacavir-containing product following a hypersensitivity reaction because more severe symptoms can occur within hours and may include life-threatening hypotension and death.
• that if they have a hypersensitivity reaction, they should dispose of any unused abacavir oral solution to avoid restarting abacavir.
• that a hypersensitivity reaction is usually reversible if it is detected promptly and abacavir oral solution is stopped right away.
• that if they have interrupted abacavir oral solution for reasons other than symptoms of hypersensitivity (for example, those who have an interruption in drug supply), a serious or fatal hypersensitivity reaction may occur with reintroduction of abacavir.
• to not restart abacavir oral solution or any other abacavir-containing product without medical consultation and only if medical care can be readily accessed by the patient or others.
Lactic Acidosis/Hepatomegaly with Steatosis
Advise patients that lactic acidosis and severe hepatomegaly with steatosis have been reported with use of nucleoside analogues and other antiretrovirals. Advise patients to stop taking abacavir oral solution if they develop clinical symptoms suggestive of lactic acidosis or pronounced hepatotoxicity [see Boxed Warning, Warnings and Precautions (5.2)].
Immune Reconstitution Syndrome
Advise patients to inform their healthcare provider immediately of any signs and symptoms of infection as inflammation from previous infection may occur soon after combination antiretroviral therapy, including when abacavir oral solution is started [see Warnings and Precautions (5.3)].
Redistribution/Accumulation of Body Fat
Inform patients that redistribution or accumulation of body fat may occur in patients receiving antiretroviral therapy and that the cause and long-term health effects of these conditions are not known at this time. [see Warnings and Precautions (5.4)].
Pregnancy Registry
Advise patients that there is a pregnancy exposure registry that monitors pregnancy outcomes in women exposed to abacavir during pregnancy [see Use in Specific Populations (8.1)].
Lactation
Instruct women with HIV-1 infection not to breastfeed because HIV-1 can be passed to the baby in the breast milk [see Use in Specific Populations (8.2)].
Missed Dose
Instruct patients that if they miss a dose of abacavir oral solution, to take it as soon as they remember. Advise patients not to double their next dose or take more than the prescribed dose [see Dosage and Administration (2)].
Availability of Medication Guide
Instruct patients to read the Medication Guide before starting abacavir oral solution and to re-read it each time the prescription is renewed. Instruct patients to inform their physician or pharmacist if they develop any unusual symptom, or if any known symptom persists or worsens.
The other brands listed are trademarks of their respective owners and are not trademarks of the Hetero Labs Limited. The makers of these brands are not affiliated with and do not endorse the Hetero Labs Limited or its products.
Manufactured for:
Camber Pharmaceuticals, Inc.
Piscataway, NJ 08854
Manufactured by:
HETERO LABS LIMITED
22-110, I.D.A., Jeedimetla,
Hyderabad – 500 055, India.
Barcode
Revised: August,2017
Medication Guide
Abacavir oral solution
(ah-BAH-kah-veer)
What is the most important information I should know about abacavir oral solution?
Abacavir can cause serious side effects, including:
• Serious allergic reaction (hypersensitivity reaction) that can cause death have happened with abacavir oral solution and other abacavir-containing products. Your risk of this allergic reaction is much higher if you have a gene variation called HLA-B*5701. Your healthcare provider can determine with a blood test if you have this gene variation.
If you get a symptom from 2 or more of the following groups while taking abacavir oral solution, call your healthcare provider right away to find out if you should stop taking abacavir oral solution.
| | Symptom(s) |
| Group 1 | Fever |
| Group 2 | Rash |
| Group 3 | Nausea, vomiting, diarrhea, abdominal (stomach area) pain |
| Group 4 | Generally ill feeling, extreme tiredness, or achiness |
| Group 5 | Shortness of breath, cough, sore throat |
A list of these symptoms is on the Warning Card your pharmacist gives you. Carry this Warning Card with you at all times.
If you stop abacavir oral solution because of an allergic reaction, never take abacavir oral solution or any other abacavir-containing medicine (EPZICOM®, TRIUMEQ®, and TRIZIVIR®) again.
• If you have an allergic reaction, dispose of any unused abacavir oral solution. Ask your pharmacist how to properly dispose of medicines.
• If you take abacavir oral solution or any other abacavir-containing medicine again after you have had an allergic reaction, within hours you may get life-threatening symptoms that may include very low blood pressure or death.
• If you stop abacavir oral solution for any other reason, even for a few days, and you are not allergic to abacavir, talk with your healthcare provider before taking it again. Taking abacavir oral solution again can cause a serious allergic or life-threatening reaction, even if you never had an allergic reaction to it before.
If your healthcare provider tells you that you can take abacavir oral solution again, start taking it when you are around medical help or people who can call a healthcare provider if you need one.
• Build-up of acid in your blood (lactic acidosis). Lactic acidosis can happen in some people who take abacavir oral solution. Lactic acidosis is a serious medical emergency that can cause death. Call your healthcare provider right away if you get any of the following symptoms that could be signs of lactic acidosis:
• feel very weak or tired • feel cold, especially in your arms and legs
• unusual (not normal) muscle pain • feel dizzy or light-headed
• trouble breathing • have a fast or irregular heartbeat
• stomach pain with nausea and vomiting
• Serious liver problems can happen in people who take abacavir. In some cases, these serious liver problems can lead to death. Your liver may become large (hepatomegaly) and you may develop fat in your liver (steatosis) when you take abacavir. Call your healthcare provider right away if you have any of the following signs of liver problems:
• your skin or the white part of your eyes turns yellow (jaundice) • loss of appetite for several days or longer
• dark or "tea-colored" urine • nausea
• light-colored stools (bowel movements) • pain, aching, or tenderness on the right side of your stomach area
You may be more likely to get lactic acidosis or serious liver problems if you are female, very overweight (obese), or have been taking nucleoside analogue medicines for a long time.
What is abacavir oral solution?
Abacavir oral solution is a prescription HIV-1 (Human Immunodeficiency Virus type 1) medicine used with other antiretroviral medicines to treat HIV-1 infection. HIV-1 is the virus that causes Acquired Immune Deficiency Syndrome (AIDS).
The safety and effectiveness of abacavir has not been established in children under 3 months of age.
When used with other antiretroviral medicines to treat HIV-1 infection, abacavir oral solution may help:
• reduce the amount of HIV-1 in your blood. This is called “viral load”.
• increase the number of CD4+ (T) cells in your blood, that help fight off other infections.
Reducing the amount of HIV-1 and increasing the CD4+ (T) cells in your blood may help improve your immune system. This may reduce your risk of death or getting infections that can happen when your immune system is weak (opportunistic infections).
Abacavir does not cure HIV-1 infection or AIDS. You must keep taking HIV-1 medicines to control HIV-1 infection and decrease HIV-related illnesses.
Who should not take abacavir oral solution?
Do not take abacavir oral solution if you:
• have a certain type of gene variation called the HLA-B*5701 allele. Your healthcare provider will test you for this before prescribing treatment with abacavir.
• are allergic to abacavir or any of the ingredients in abacavir oral solution. See the end of this Medication Guide for a complete list of ingredients in abacavir oral solution.
• have liver problems.
What should I tell my healthcare provider before taking abacavir oral solution?
Before you take abacavir oral solution, tell your healthcare providers if you:
• have been tested and know whether or not you have a particular gene variation called HLA-B*5701.
• have or have had liver problems, including hepatitis B or C virus infection.
• have heart problems, smoke, or have diseases that increase your risk of heart disease such as high blood pressure, high cholesterol, or diabetes.
• drink alcohol or take medicines that contain alcohol.
• are pregnant or plan to become pregnant. Talk to your healthcare provider if you are pregnant or plan to become pregnant.
• Pregnancy Registry. There is a pregnancy registry for women who take antiretroviral medicines during pregnancy. The purpose of this registry is to collect information about the health of you and your baby. Talk to your healthcare provider about how you can take part in this registry.
• are breastfeeding or plan to breastfeed. Do not breastfeed if you take abacavir.
• You should not breastfeed if you have HIV-1 because of the risk of passing HIV-1 to your baby.
Tell your healthcare provider about all the medicines you take, including prescription and over-the-counter medicines, vitamins, and herbal supplements.
Some medicines interact with abacavir. Keep a list of your medicines to show your healthcare provider and pharmacist. You can ask your healthcare provider or pharmacist for a list of medicines that interact with abacavir. Do not start taking a new medicine without telling your healthcare provider. Your healthcare provider can tell you if it is safe to take abacavir with other medicines.
Tell your healthcare provider if you take:
• any other medicine to treat HIV-1
• methadone
How should I take abacavir oral solution?
• Take abacavir oral solution exactly as your healthcare provider tells you.
• Do not change your dose or stop taking abacavir oral solution without talking with your healthcare provider. If you miss a dose of abacavir oral solution, take it as soon as you remember. Do not take 2 doses at the same time. If you are not sure about your dosing, call your healthcare provider.
• Stay under the care of a healthcare provider while taking abacavir.
• Abacavir oral solution may be taken with or without food.
• For children aged 3 months and older, your healthcare provider will prescribe a dose of abacavir oral solution based on your child’s body weight.
• Do not run out of abacavir. The virus in your blood may increase and the virus may become harder to treat. When your supply starts to run out, get more from your healthcare provider or pharmacy.
• If you take too much abacavir oral solution, call your healthcare provider or go to the nearest hospital emergency room right away.
What are the possible side effects of abacavir oral solution?
• Abacavir can cause serious side effects including:
• See "What is the most important information I should know about abacavir oral solution?"
• Changes in your immune system (Immune Reconstitution Syndrome) can happen when your start taking HIV-1 medicines. Your immune system may get stronger and begin to fight infections that have been hidden in your body for a long time. Tell your healthcare provider right away if you start having new symptoms after you start taking abacavir oral solution.
• Changes in body fat can happen in people who take HIV-1 medicines. These changes may include an increased amount of fat in the upper back and neck (“buffalo hump”), breast, and around the middle of your body (trunk). Loss of fat from the legs, arms, and face may also happen. The exact cause and long-term health effects of these conditions are not known.
• Heart attack (myocardial infarction). Some HIV-1 medicines including abacavir may increase your risk of heart attack.
The most common side effects of abacavir in adults include:
• nausea • tiredness
• headache • vomiting
• generally not feeling well • bad dreams or sleep problems
The most common side effects of abacavir in children include:
• fever and chills • rash
• nausea • ear, nose, or throat infections
• vomiting
Tell your healthcare provider if you have any side effect that bothers you or that does not go away.
These are not all the possible side effects of abacavir. For more information, ask your healthcare provider or pharmacist. Call your doctor for medical advice about side effects. You may report side effects to FDA at 1-800-FDA-1088.
How should I store abacavir oral solution?
• Store abacavir oral solution at room temperature, between 20° to 25°C (68° to 77°F).
• Do not freeze abacavir oral solution. You may store abacavir oral solution in a refrigerator.
Keep abacavir oral solution and all medicines out of the reach of children.
General information for safe and effective use of abacavir
Medicines are sometimes prescribed for purposes other than those listed in a Medication Guide. Do not use abacavir for a condition for which it was not prescribed. Do not give abacavir to other people, even if they have the same symptoms that you have. It may harm them.
If you would like more information, talk with your healthcare provider. You can ask your healthcare provider or pharmacist for the information about abacavir that is written for healthcare professionals.
What are the ingredients in abacavir oral solution?
Active ingredient: abacavir sulfate USP
Inactive ingredients: anhydrous citric acid, methylparaben and propylparaben (added as preservatives), propylene glycol, saccharin sodium, sodium citrate (dihydrate), noncrystallizing sorbitol solution, strawberry and banana flavors and water.
All brands listed are trademarks of their respective owners and are not trademarks of the Hetero Labs Limited.
Manufactured for:
Camber Pharmaceuticals, Inc.
Piscataway, NJ 08854
Manufactured by:
HETERO LABS LIMITED
22-110, I.D.A., Jeedimetla,
Hyderabad – 500 055, India.
This Medication Guide has been approved by the U.S. Food and Drug Administration.
Revised: 08/2017
Package Label.Principal Display Panel
Abacavir Oral solution Container
Abacavir Oral solution Carton
* Please review the disclaimer below.



