FDA Label for Famciclovir
View Indications, Usage & Precautions
- 1.1 IMMUNOCOMPETENT ADULT PATIENTS
- 1.2 HIV-INFECTED ADULT PATIENTS
- 1.3 LIMITATION OF USE
- 2 DOSAGE & ADMINISTRATION
- 2.1 DOSING RECOMMENDATION IN IMMUNOCOMPETENT ADULT PATIENTS
- 2.2 DOSING RECOMMENDATION IN HIV-INFECTED ADULT PATIENTS
- 2.3 DOSING RECOMMENDATION IN PATIENTS WITH RENAL IMPAIRMENT
- 3 DOSAGE FORMS & STRENGTHS
- 4 CONTRAINDICATIONS
- 5 WARNINGS AND PRECAUTIONS
- 6 ADVERSE REACTIONS
- 6.1 CLINICAL TRIALS EXPERIENCE IN ADULT PATIENTS
- 6.2 POSTMARKETING EXPERIENCE
- 7.1 POTENTIAL FOR FAMCICLOVIR TO AFFECT OTHER DRUGS
- 7.2 POTENTIAL FOR OTHER DRUGS TO AFFECT PENCICLOVIR
- 8.1 PREGNANCY
- 8.3 NURSING MOTHERS
- 8.4 PEDIATRIC USE
- 8.5 GERIATRIC USE
- 8.6 PATIENTS WITH RENAL IMPAIRMENT
- 8.7 PATIENTS WITH HEPATIC IMPAIRMENT
- 8.8 BLACK AND AFRICAN AMERICAN PATIENTS
- 10 OVERDOSAGE
- 11 DESCRIPTION
- 12.1 MECHANISM OF ACTION
- 12.3 PHARMACOKINETICS
- 12.4 MICROBIOLOGY
- 13.1 CARCINOGENESIS & MUTAGENESIS & IMPAIRMENT OF FERTILITY
- 14.1 HERPES LABIALIS (COLD SORES)
- 14.2 GENITAL HERPES
- 14.3 RECURRENT OROLABIAL OR GENITAL HERPES IN HIV-INFECTED PATIENTS
- 16 HOW SUPPLIED/STORAGE AND HANDLING
- 17 PATIENT COUNSELING INFORMATION
- PATIENT INFORMATION
- PACKAGE LABEL.PRINCIPAL DISPLAY PANEL
Famciclovir Product Label
The following document was submitted to the FDA by the labeler of this product Camber Pharmaceuticals, Inc.. The document includes published materials associated whith this product with the essential scientific information about this product as well as other prescribing information. Product labels may durg indications and usage, generic names, contraindications, active ingredients, strength dosage, routes of administration, appearance, warnings, inactive ingredients, etc.
1.1 Immunocompetent Adult Patients
Herpes labialis (cold sores): Famciclovir tablets are indicated for the treatment of recurrent herpes labialis.
Genital herpes:
Recurrent episodes: Famciclovir tablets are indicated for the treatment of recurrent episodes of genital herpes. The efficacy of famciclovir tablets when initiated more than 6 hours after onset of symptoms or lesions has not been established.
Suppressive therapy: Famciclovir tablets are indicated for chronic suppressive therapy of recurrent episodes of genital herpes. The efficacy and safety of famciclovir tablets for the suppression of recurrent genital herpes beyond 1 year have not been established.
1.2 Hiv-Infected Adult Patients
Recurrent orolabial or genital herpes: Famciclovir tablets are indicated for the treatment of recurrent episodes of orolabial or genital herpes in HIV-infected adults. The efficacy of famciclovir tablets when initiated more than 48 hours after onset of symptoms or lesions has not been established.
1.3 Limitation Of Use
The efficacy and safety of famciclovir tablets have not been established for:
• Patients <18 years of age
• Patients with first episode of genital herpes
• Immunocompromised patients other than for the treatment of recurrent orolabial or genital herpes in HIV-infected patients
• Black and African American patients with recurrent genital herpes
2 Dosage & Administration
Famciclovir tablets may be taken with or without food.
2.1 Dosing Recommendation In Immunocompetent Adult Patients
Herpes labialis (cold sores): The recommended dosage of famciclovir tablets for the treatment of recurrent herpes labialis is 1500 mg as a single dose. Therapy should be initiated at the first sign or symptom of herpes labialis (e.g., tingling, itching, burning, pain, or lesion).
Genital herpes:
Recurrent episodes: The recommended dosage of famciclovir tablets for the treatment of recurrent episodes of genital herpes is 1000 mg twice daily for 1 day. Therapy should be initiated at the first sign or symptom of a recurrent episode (e.g., tingling, itching, burning, pain, or lesion).
Suppressive therapy: The recommended dosage of famciclovir tablets for chronic suppressive therapy of recurrent episodes of genital herpes is 250 mg twice daily.
2.2 Dosing Recommendation In Hiv-Infected Adult Patients
Recurrent orolabial or genital herpes: The recommended dosage of famciclovir tablets for the treatment of recurrent orolabial or genital herpes in HIV-infected patients is 500 mg twice daily for 7 days. Therapy should be initiated at the first sign or symptom of a recurrent episode (e.g., tingling, itching, burning, pain, or lesion).
2.3 Dosing Recommendation In Patients With Renal Impairment
Dosage recommendations for adult patients with renal impairment are provided in Table 1 [see Use in Specific Populations (8.6), Clinical Pharmacology (12.3)].
Table 1 Dosage Recommendations for Adult Patients with Renal Impairment
| Indication and Normal Dosage Regimen | Creatinine Clearance (mL/min) | Adjusted Dosage Regimen Dose (mg) | Dosing Interval |
| Single-Day Dosing Regimens Recurrent Genital Herpes 1000 mg every 12 hours for1 day | ≥60 | 1000 | every 12 hours for 1 day |
| 40-59 | 500 | every 12 hours for 1 day | |
| 20-39 | 500 | single dose | |
| <20 | 250 | single dose | |
| HD* | 250 | single dose following dialysis | |
| Recurrent Herpes Labialis 1500 mg single dose | ≥60 | 1500 | single dose |
| 40-59 | 750 | single dose | |
| 20-39 | 500 | single dose | |
| <20 | 250 | single dose | |
| HD* | 250 | single dose following dialysis | |
| Multiple-Day Dosing Regimens Suppression of Recurrent Genital Herpes 250 mg every 12 hours | ≥40 | 250 | every 12 hours |
| 20-39 | 125 | every 12 hours | |
| <20 | 125 | every 24 hours | |
| HD* | 125 | following each dialysis | |
| Recurrent Orolabial or Genital Herpes in HIV-Infected Patients 500 mg every 12 hours | ≥40 | 500 | every 12 hours |
| 20-39 | 500 | every 24 hours | |
| <20 | 250 | every 24 hours | |
| HD* | 250 | following each dialysis |
*Hemodialysis
3 Dosage Forms & Strengths
Famciclovir tablets are available in 3 strengths:
• 125 mg : Off white, round, biconvex, film coated tablets, debossed with 'I' on one side and '50' on the other side
• 250 mg: Off white, round, biconvex, film coated tablets, debossed with 'I' on one side and '49' on the other side
• 500 mg: Off white, oval, film coated, biconvex tablets, debossed with 'I' on one side and '48' on the other side
4 Contraindications
Famciclovir tablets are contraindicated in patients with known hypersensitivity to the product, its components, or penciclovir cream.
5 Warnings And Precautions
Acute renal failure: Cases of acute renal failure have been reported in patients with underlying renal disease who have received inappropriately high doses of famciclovir for their level of renal function. Dosage reduction is recommended when administering famciclovir to patients with renal impairment [see Dosage and Administration (2.3), Use in Specific Populations (8.6)].
6 Adverse Reactions
Acute renal failure is discussed in greater detail in other sections of the label [see Warnings and Precautions (5)].
The most common adverse events reported in at least 1 indication by >10% of adult patients treated with famciclovir are headache and nausea.
6.1 Clinical Trials Experience In Adult Patients
Because clinical trials are conducted under widely varying conditions, adverse reaction rates observed in the clinical trials of a drug cannot be directly compared with rates in the clinical trials of another drug and may not reflect the rates observed in practice.
Immunocompetent patients: The safety of famciclovir has been evaluated in active- and placebo-controlled clinical studies involving 163 famciclovir-treated patients with recurrent genital herpes (Famciclovir, 1000 mg twice daily); 1,197 patients with recurrent genital herpes treated with famciclovir as suppressive therapy (125 mg once daily to 250 mg three times daily) of which 570 patients received famciclovir (open-labeled and/or double-blind) for at least 10 months; and 447 famciclovir-treated patients with herpes labialis (Famciclovir, 1500 mg once daily or 750 mg twice daily). Table 2 lists selected adverse events.
Table 2 Selected Adverse Events (all grades and without regard to causality) Reported by ≥ 2% of Patients in Placebo-Controlled Famciclovir Trials*
| Incidence | |||||||||
| Events | Recurrent Genital Herpes‡ | Genital Herpes- Suppression§ | Herpes Labialis‡ | ||||||
| Famciclovir (n=163) % | Placebo (n=166) % | Famciclovir (n=458) % | Placebo (n=63) % | Famciclovir (n=447) % | Placebo (n=254) % | ||||
| Nervous System | | | | | | ||||
| Headache | 13.5 | 5.4 | 39.3 | 42.9 | 8.5 | 6.7 | |||
| Paresthesia | 0.0 | 0.0 | 0.9 | 0.0 | 0.0 | 0.0 | |||
| Migraine | 0.6 | 0.6 | 3.1 | 0.0 | 0.2 | 0.0 | |||
| Gastrointestinal | | | | | | | |||
| Nausea | 2.5 | 3.6 | 7.2 | 9.5 | 2.2 | 3.9 | |||
| Diarrhea | 4.9 | 1.2 | 9.0 | 9.5 | 1.6 | 0.8 | |||
| Vomiting | 1.2 | 0.6 | 3.1 | 1.6 | 0.7 | 0.0 | |||
| Flatulence | 0.6 | 0.0 | 4.8 | 1.6 | 0.2 | 0.0 | |||
| Abdominal Pain | 0.0 | 1.2 | 7.9 | 7.9 | 0.2 | 0.4 | |||
| Body as a Whole | | | | | | | |||
| Fatigue | 0.6 | 0.0 | 4.8 | 3.2 | 1.6 | 0.4 | |||
| Skin and Appendages | | | | | | | |||
| Pruritus | 0.0 | 0.6 | 2.2 | 0.0 | 0.0 | 0.0 | |||
| Incidence | |||||||||
| Events | Recurrent Genital Herpes‡ | Genital Herpes- Suppression§ | Herpes Labialis‡ | ||||||
| Famciclovir (n=163) % | Placebo (n=166) % | Famciclovir (n=458) % | Placebo (n=63) % | Famciclovir (n=447) % | Placebo (n=254) % | ||||
| Rash | 0.0 | 0.0 | 3.3 | 1.6 | 0.0 | 0.0 | |||
| Reproductive (Female) | | | | | | | |||
| Dysmenorrhea | 1.8 | 0.6 | 7.6 | 6.3 | 0.4 | 0.0 | |||
*Patients may have entered into more than one clinical trial.
‡ 1 day of treatment
§ daily treatment
Table 3 lists selected laboratory abnormalities in genital herpes suppression trials.
Table 3 Selected Laboratory Abnormalities in Genital Herpes Suppression Studies*
| Parameter | Famciclovir (n = 660)† % | Placebo (n = 210)† % |
| Anemia (<0.8 x NRL) | 0.1 | 0.0 |
| Leukopenia (<0.75 x NRL) | 1.3 | 0.9 |
| Neutropenia (<0.8 x NRL) | 3.2 | 1.5 |
| AST (SGOT) (>2 x NRH) | 2.3 | 1.2 |
| ALT (SGPT) (>2 x NRH) | 3.2 | 1.5 |
| Total Bilirubin (>1.5 x NRH) | 1.9 | 1.2 |
| Serum Creatinine (>1.5 x NRH) | 0.2 | 0.3 |
| Amylase (>1.5 x NRH) | 1.5 | 1.9 |
| Lipase (>1.5 x NRH) | 4.9 | 4.7 |
*Percentage of patients with laboratory abnormalities that were increased or decreased from baseline and were outside of specified ranges.
†n values represent the minimum number of patients assessed for each laboratory parameter.
NRH = Normal Range High.
NRL = Normal Range Low.
HIV-infected patients: In HIV-infected patients, the most frequently reported adverse events for famciclovir (500 mg twice daily; n=150) and acyclovir (400 mg, 5x/day; n=143), respectively, were headache (17% vs. 15%), nausea (11% vs. 13%), diarrhea (7% vs. 11%), vomiting (5% vs. 4%), fatigue (4% vs. 2%), and abdominal pain (3% vs. 6%).
6.2 Postmarketing Experience
The adverse events listed below have been reported during postapproval use of famciclovir. Because these events are reported voluntarily from a population of uncertain size, it is not always possible to reliably estimate their frequency or establish a causal relationship to drug exposure:
Blood and lymphatic system disorders: Thrombocytopenia
Hepatobiliary disorders: Abnormal liver function tests, cholestatic jaundice
Immune system disorders: Anaphylactic shock, anaphylactic reaction
Nervous system disorders: Dizziness, somnolence, seizure
Psychiatric disorders: Confusion (including delirium, disorientation, and confusional state occurring predominantly in the elderly), hallucinations
Skin and subcutaneous tissue disorders: Urticaria, erythema multiforme, Stevens-Johnson syndrome, toxic epidermal necrolysis, angioedema (e.g., face, eyelid, periorbital, and pharyngeal edema), hypersensitivity vasculitis
Cardiac disorders: Palpitations
7.1 Potential For Famciclovir To Affect Other Drugs
The steady-state pharmacokinetics of digoxin were not altered by concomitant administration of multiple doses of famciclovir (500 mg three times daily). No clinically significant effect on the pharmacokinetics of zidovudine, its metabolite zidovudine glucuronide, or emtricitabine was observed following a single oral dose of 500 mg famciclovir coadministered with zidovudine or emtricitabine.
An in vitro study using human liver microsomes suggests that famciclovir is not an inhibitor of CYP3A4 enzymes.
7.2 Potential For Other Drugs To Affect Penciclovir
No clinically significant alterations in penciclovir pharmacokinetics were observed following single-dose administration of 500 mg famciclovir after pretreatment with multiple doses of allopurinol, cimetidine, theophylline, zidovudine, promethazine, when given shortly after an antacid (magnesium and aluminum hydroxide), or concomitantly with emtricitabine. No clinically significant effect on penciclovir pharmacokinetics was observed following multiple-dose (three times daily) administration of famciclovir (500 mg) with multiple doses of digoxin.
Concurrent use with probenecid or other drugs significantly eliminated by active renal tubular secretion may result in increased plasma concentrations of penciclovir.
The conversion of 6-deoxy penciclovir to penciclovir is catalyzed by aldehyde oxidase. Interactions with other drugs metabolized by this enzyme and/or inhibiting this enzyme could potentially occur. Clinical interaction studies of famciclovir with cimetidine and promethazine, in vitro inhibitors of aldehyde oxidase, did not show relevant effects on the formation of penciclovir. Raloxifene, a potent aldehyde oxidase inhibitor in vitro, could decrease the formation of penciclovir. However, a clinical drug-drug interaction study to determine the magnitude of interaction between penciclovir and raloxifene has not been conducted.
8.1 Pregnancy
Teratogenic Effects:
Pregnancy category B. After oral administration, famciclovir (prodrug) is converted to penciclovir (active drug). There are no adequate and well-controlled studies of famciclovir or penciclovir use in pregnant women. No adverse effects on embryofetal development were observed in animal reproduction studies using famciclovir and penciclovir at doses higher than the maximum recommended human dose (MRHD) and human exposure. Because animal reproduction studies are not always predictive of human response, famciclovir should be used during pregnancy only if needed.
In animal reproduction studies, pregnant rats and rabbits received oral famciclovir at doses (up to 1000 mg/kg/day) that provided 2.7 to 10.8 times (rats) and 1.4 to 5.4 times (rabbits) the human systemic exposure based on AUC. No adverse effects were observed on embryo-fetal development. In other studies, pregnant rats and rabbits received intravenous famciclovir at doses (360 mg/kg/day) 1.5 to 6 times (rats) and (120 mg/kg/day) 1.1 to 4.5 times (rabbits) or penciclovir at doses (80 mg/kg/day) 0.3 to 1.3 times (rats) and (60 mg/kg/day) 0.5 to 2.1 times (rabbits) the MRHD based on body surface area comparisons. No adverse effects were observed on embryo-fetal development.
8.3 Nursing Mothers
It is not known whether famciclovir (prodrug) or penciclovir (active drug) are excreted in human milk. Following oral administration of famciclovir to lactating rats, penciclovir was excreted in breast milk at concentrations higher than those seen in the plasma. There are no data on the safety of famciclovir in infants. Famciclovir should not be used in nursing mothers unless the potential benefits are considered to outweigh the potential risks associated with treatment.
8.4 Pediatric Use
The efficacy of famciclovir tablets have not been established in pediatric patients. The pharmacokinetic profile and safety of famciclovir (experimental granules mixed with OraSweet® or tablets) were studied in 2 open-label studies.
Study 1 was a single-dose pharmacokinetic and safety study in infants 1 month to <1 year of age who had an active herpes simplex virus (HSV) infection or who were at risk for HSV infection. Eighteen subjects were enrolled and received a single dose of famciclovir experimental granules mixed with OraSweet based on the patient’s body weight (doses ranged from 25 mg to 175 mg). These doses were selected to provide penciclovir systemic exposures similar to the penciclovir systemic exposures observed in adults after administration of 500 mg famciclovir. The efficacy and safety of famciclovir have not been established as suppressive therapy in infants following neonatal HSV infections. In addition, the efficacy cannot be extrapolated from adults to infants because there is no similar disease in adults. Therefore, famciclovir is not recommended in infants.
Study 2 was an open-label, single-dose pharmacokinetic, multiple-dose safety study of famciclovir experimental granules mixed with OraSweet in children 1 to <12 years of age with clinically suspected HSV infection. Fifty-one subjects were enrolled in the pharmacokinetic part of the study and received a single body weight adjusted dose of famciclovir (doses ranged from 125 mg to 500 mg). These doses were selected to provide penciclovir systemic exposures similar to the penciclovir systemic exposures observed in adults after administration of 500 mg famciclovir. Based on the pharmacokinetic data observed with these doses in children, a new weight-based dosing algorithm was designed and used in the multiple-dose safety part of the study. Pharmacokinetic data were not obtained with the revised weight-based dosing algorithm.
A total of 100 patients were enrolled in the multiple-dose safety part of the study; 47 subjects with active or latent HSV infection and 53 subjects with chickenpox. Patients with active or latent HSV infection received famciclovir twice a day for 7 days. The daily dose of famciclovir ranged from 150 mg to 500 mg twice daily depending on the patient’s body weight. Patients with chickenpox received famciclovir three times daily for 7 days. The daily dose of famciclovir ranged from 150 mg to 500 mg three times daily depending on the patient’s body weight. The clinical adverse events and laboratory test abnormalities observed in this study were similar to these seen in adults. The available data are insufficient to support the use of famciclovir for the treatment of children 1 to <12 years of age with chickenpox or infections due to HSV for the following reasons:
Chickenpox: The efficacy of famciclovir for the treatment of chickenpox has not been established in either pediatric or adult patients.
Genital herpes: Clinical information on genital herpes in children is limited. Therefore, efficacy data from adults cannot be extrapolated to this population. Further, famciclovir has not been studied in children 1 to <12 years of age with recurrent genital herpes. None of the children in Study 2 had genital herpes.
Herpes labialis: There are no pharmacokinetic and safety data in children 1 to <12 years of age to support a famciclovir dose that provides penciclovir systemic exposures comparable to the penciclovir systemic exposures in adults after a single dose administration of 1500 mg. Moreover, no efficacy data have been obtained in children 1 to <12 years of age with recurrent herpes labialis.
Labeling describing additional clinical pharmacokinetic, safety, and antiviral activity studies in pediatric patients (ages of 12 years to < 18 years) is approved for Novartis Pharmaceutical Corporation's Famvir® Tablets. However, due to Novartis Pharmaceutical Corporation's marketing exclusivity rights, a description of those studies is not approved for this famciclovir tablet product.
8.5 Geriatric Use
Of 610 patients with recurrent herpes simplex (type 1 or type 2) in clinical studies who were treated with famciclovir, 26 (4.3%) were >65 years of age and 7 (1.1%) were >75 years of age. Clinical studies of famciclovir in patients with recurrent genital herpes did not include sufficient numbers of subjects aged 65 and over to determine whether they respond differently compared to younger subjects.
No famciclovir dosage adjustment based on age is recommended unless renal function is impaired [see Dosage and Administration (2.3), Clinical Pharmacology (12.3)]. In general, appropriate caution should be exercised in the administration and monitoring of famciclovir in elderly patients reflecting the greater frequency of decreased renal function and concomitant use of other drugs.
8.6 Patients With Renal Impairment
Apparent plasma clearance, renal clearance, and the plasma-elimination rate constant of penciclovir decreased linearly with reductions in renal function. After the administration of a single 500 mg famciclovir oral dose (n=27) to healthy volunteers and to volunteers with varying degrees of renal impairment (CLCR ranged from 6.4 to 138.8 mL/min), the following results were obtained (Table 4):
Table 4 Pharmacokinetic Parameters of Penciclovir in Subjects with Different Degrees of Renal Impairment
| Parameter (mean ± S.D.) | CLCR† ≥60 (mL/min) (n=15) | CLCR 40-59 (mL/min) (n=5) | CLCR 20-39 (mL/min) (n=4) | CLCR <20 (mL/min) (n=3) |
| CLCR (mL/min) | 88.1 ± 20.6 | 49.3 ± 5.9 | 26.5 ± 5.3 | 12.7 ± 5.9 |
| CLR (L/hr) | 30.1 ± 10.6 | 13.0 ± 1.3‡ | 4.2 ± 0.9 | 1.6 ± 1.0 |
| CL/F§ (L/hr) | 66.9 ± 27.5 | 27.3 ± 2.8 | 12.8 ± 1.3 | 5.8 ± 2.8 |
| Half-life (hr) | 2.3 ± 0.5 | 3.4 ± 0.7 | 6.2 ± 1.6 | 13.4 ± 10.2 |
†CLCR is measured creatinine clearance.
‡ n=4.
§ CL/F consists of bioavailability factor and famciclovir to penciclovir conversion factor.
In a multiple-dose study of famciclovir conducted in subjects with varying degrees of renal impairment (n=18), the pharmacokinetics of penciclovir were comparable to those after single doses.
A dosage adjustment is recommended for patients with renal impairment [see Dosage and Administration (2.3)].
8.7 Patients With Hepatic Impairment
Mild or moderate hepatic impairment (chronic hepatitis [n=6], chronic ethanol abuse [n=8], or primary biliary cirrhosis [n=1]) had no effect on the extent of availability (AUC) of penciclovir following a single dose of 500 mg famciclovir. However, there was a 44% decrease in penciclovir mean maximum plasma concentration (Cmax) and the time to maximum plasma concentration (tmax) was increased by 0.75 hours in patients with hepatic impairment compared to normal volunteers. No dosage adjustment is recommended for patients with mild or moderate hepatic impairment. The pharmacokinetics of penciclovir has not been evaluated in patients with severe hepatic impairment. Conversion of famciclovir to the active metabolite penciclovir may be impaired in these patients resulting in a lower penciclovir plasma concentrations, and thus possibly a decrease of efficacy of famciclovir [see Clinical Pharmacology (12)].
8.8 Black And African American Patients
In a randomized, double-blind, placebo-controlled trial conducted in 304 immunocompetent black and African American adults with recurrent genital herpes there was no difference in median time to healing between patients receiving famciclovir or placebo. In general, the adverse reaction profile was similar to that observed in other famciclovir clinical trials for adult patients [see Adverse Reactions (6.1)]. The relevance of these study results to other indications in black and African American patients is unknown [see Clinical Studies (14.2)].
10 Overdosage
Appropriate symptomatic and supportive therapy should be given. Penciclovir is removed by hemodialysis.
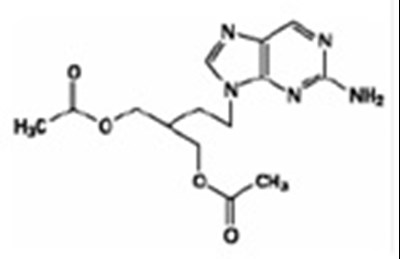
11 Description
The active ingredient in famciclovir tablets is famciclovir, USP, an orally administered prodrug of the antiviral agent penciclovir. Chemically, famciclovir, USP is known as 2-[2-(2-amino-9H-purin-9-yl)ethyl]-1,3-propanediol diacetate. Its molecular formula is C14H19N5O4; its molecular weight is 321.3. It is a synthetic acyclic guanine derivative and has the following structure
Famciclovir, USP
Famciclovir, USP is a white to pale yellow solid. It is freely soluble in acetone and methanol, and sparingly soluble in ethanol and isopropanol. At 25°C famciclovir, USP is freely soluble (>25% w/v) in water initially, but rapidly precipitates as the sparingly soluble (2% to 3% w/v) monohydrate. Famciclovir, USP is not hygroscopic below 85% relative humidity. Partition coefficients are: octanol/water (pH 4.8) P=1.09 and octanol/phosphate buffer (pH 7.4) P=2.08.
Famciclovir tablets contain 125 mg, 250 mg or 500 mg of famciclovir, USP, together with the following inactive ingredients: hydroxypropyl cellulose, lactose monohydrate, magnesium stearate and sodium starch glycolate. The tablets are coated with opadry white which contains hypromellose, polyethylene glycol, polysorbate 80 and titanium dioxide.
12.1 Mechanism Of Action
Famciclovir is an orally administered prodrug of the antiviral agent penciclovir [see Microbiology (12.4)].
12.3 Pharmacokinetics
Famciclovir is the diacetyl 6-deoxy analog of the active antiviral compound penciclovir. Following oral administration famciclovir undergoes rapid and extensive metabolism to penciclovir and little or no famciclovir is detected in plasma or urine. Penciclovir is predominantly eliminated unchanged by the kidney. Therefore, the dose of famciclovir needs to be adjusted in patients with different degrees of renal impairment [see Dosage and Administration (2.3)].
Pharmacokinetics in adults:
Absorption and Bioavailability: The absolute bioavailability of penciclovir is 77 ± 8% as determined following the administration of a 500 mg famciclovir oral dose and a 400 mg penciclovir intravenous dose to 12 healthy male subjects.
Penciclovir concentrations increased in proportion to dose over a famciclovir dose range of 125 mg to 1000 mg administered as a single dose. Table 5 shows the mean pharmacokinetic parameters of penciclovir after single administration of famciclovir to healthy male volunteers.
Table 5 Mean Pharmacokinetic Parameters of Penciclovir in Healthy Adult Subjects*
| Dose | AUC (0-inf)†(mcg hr/mL) | Cmax‡ (mcg/mL) | tmax§ (h) |
| 125 mg | 2.24 | 0.8 | 0.9 |
| 250 mg | 4.48 | 1.6 | 0.9 |
| 500 mg | 8.95 | 3.3 | 0.9 |
| Dose | AUC (0-inf)†(mcg hr/mL) | Cmax‡ (mcg/mL) | tmax§ (h) |
| 1000 mg | 17.9 | 6.6 | 0.9 |
* Based on pharmacokinetic data from 17 studies
† AUC (0-inf) (mcg hr/mL) =area under the plasma concentration-time profile extrapolated to infinity.
‡ Cmax (mcg/mL) = maximum observed plasma concentration.
§ tmax (h) = time to Cmax.
There is no accumulation of penciclovir after the administration of 500 mg famciclovir three times daily for 7 days.
Penciclovir Cmax decreased approximately 50% and tmax was delayed by 1.5 hours when a capsule formulation of famciclovir was administered with food (nutritional content was approximately 910 Kcal and 26% fat). There was no effect on the extent of availability (AUC) of penciclovir. There was an 18% decrease in Cmax and a delay in tmax of about 1 hour when famciclovir was given 2 hours after a meal as compared to its administration 2 hours before a meal. Because there was no effect on the extent of systemic availability of penciclovir, famciclovir can be taken without regard to meals.
Distribution: The volume of distribution (Vdβ) was 1.08 ± 0.17 L/kg in 12 healthy male subjects following a single intravenous dose of penciclovir at 400 mg administered as a 1-hour intravenous infusion. Penciclovir is <20% bound to plasma proteins over the concentration range of 0.1 to 20 mcg/mL. The blood/plasma ratio of penciclovir is approximately 1.
Metabolism: Following oral administration, famciclovir is deacetylated and oxidized to form penciclovir. Metabolites that are inactive include 6-deoxy penciclovir, monoacetylated penciclovir, and 6-deoxy monoacetylated penciclovir (5%, <0.5% and <0.5% of the dose in the urine, respectively). Little or no famciclovir is detected in plasma or urine. An in vitro study using human liver microsomes demonstrated that cytochrome P450 does not play an important role in famciclovir metabolism. The conversion of 6-deoxy penciclovir to penciclovir is catalyzed by aldehyde oxidase. Cimetidine and promethazine, in vitro inhibitors of aldehyde oxidase, did not show relevant effects on the formation of penciclovir in vivo [see Drug Interactions (7.2)].
Elimination: Approximately 94% of administered radioactivity was recovered in urine over 24 hours (83% of the dose was excreted in the first 6 hours) after the administration of 5 mg/kg radiolabeled penciclovir as a 1-hour infusion to 3 healthy male volunteers. Penciclovir accounted for 91% of the radioactivity excreted in the urine.
Following the oral administration of a single 500 mg dose of radiolabeled famciclovir to 3 healthy male volunteers, 73% and 27% of administered radioactivity were recovered in urine and feces over 72 hours, respectively. Penciclovir accounted for 82% and 6-deoxy penciclovir accounted for 7% of the radioactivity excreted in the urine. Approximately 60% of the administered radiolabeled dose was collected in urine in the first 6 hours.
After intravenous administration of penciclovir in 48 healthy male volunteers, mean ± SD total plasma clearance of penciclovir was 36.6 ± 6.3 L/hr (0.48 ± 0.09 L/hr/kg). Penciclovir renal clearance accounted for 74.5 ± 8.8% of total plasma clearance.
Renal clearance of penciclovir following the oral administration of a single 500 mg dose of famciclovir to 109 healthy male volunteers was 27.7 ± 7.6 L/hr. Active tubular secretion contributes to the renal elimination of penciclovir.
The plasma elimination half-life of penciclovir was 2.0 ± 0.3 hours after intravenous administration of penciclovir to 48 healthy male volunteers and 2.3 ± 0.4 hours after oral administration of 500 mg famciclovir to 124 healthy male volunteers.
Special populations:
Geriatric patients: Based on cross study comparison, penciclovir AUC was 40% higher and penciclovir renal clearance was 22% lower in elderly subjects (n=18, age 65 to 79 years) as compared with younger subjects. Some of this difference may be due to differences in renal function between the 2 groups. No famciclovir dosage adjustment based on age is recommended unless renal function is impaired [see Dosage and Administration (2.3), Use in Specific Populations (8.5)].
Patients with renal impairment: In subjects with varying degrees of renal impairment, apparent plasma clearance, renal clearance, and the plasma-elimination rate constant of penciclovir decreased linearly with reductions in renal function, after both single and repeated dosing [see Use in Specific Populations (8.6)]. A dosage adjustment is recommended for patients with renal impairment [see Dosage and Administration (2.3)].
Patients with hepatic impairment: Mild or moderate hepatic impairment had no effect on the extent of availability (AUC) of penciclovir [see Use in Specific Populations ( 8.7)]. No dosage adjustment is recommended for patients with mild or moderate hepatic impairment. The effect of severe hepatic impairment on the pharmacokinetics of penciclovir has not been evaluated.
HIV-infected patients: Following oral administration of a single dose of 500 mg famciclovir to HIV-positive patients, the pharmacokinetic parameters of penciclovir were comparable to those observed in healthy subjects.
Gender: The pharmacokinetics of penciclovir were evaluated in 18 healthy male and 18 healthy female volunteers after single-dose oral administration of 500 mg famciclovir. AUC of penciclovir was 9.3±1.9 mcg hr/mL and 11.1± 2.1 mcg hr/mL in males and females, respectively. Penciclovir renal clearance was 28.5 ± 8.9 L/hr and 21.8 ± 4.3 L/hr, respectively. These differences were attributed to differences in renal function between the 2 groups. No famciclovir dosage adjustment based on gender is recommended.
Race: A retrospective evaluation was performed to compare the pharmacokinetic parameters obtained in black and Caucasian subjects after single and repeat once-daily, twice-daily, or three times-daily administration of famciclovir 500 mg. Data from a study in healthy volunteers (single dose), a study in subjects with varying degrees of renal impairment (single and repeat dose) and a study in subjects with hepatic impairment (single dose) did not indicate any significant differences in the pharmacokinetics of penciclovir between black and Caucasian subjects.
12.4 Microbiology
Mechanism of action: Famciclovir is a prodrug of penciclovir, which has demonstrated inhibitory activity against herpes simplex virus types 1 (HSV-1) and 2 (HSV-2). In cells infected with HSV-1 or HSV-2 the viral thymidine kinase phosphorylates penciclovir to a monophosphate form that, in turn, is converted by cellular kinases to the active form penciclovir triphosphate. Biochemical studies demonstrate that penciclovir triphosphate inhibits HSV-2 DNA polymerase competitively with deoxyguanosine triphosphate. Consequently, herpes viral DNA synthesis and, therefore, replication are selectively inhibited. Penciclovir triphosphate has an intracellular half-life of 10 hours in HSV-1- and 20 hours in HSV-2-infected cells grown in culture. However, the clinical significance of the intracellular half-life is unknown.
Antiviral activity: In cell culture studies, penciclovir is inhibitory to the following herpes viruses: HSV-1 and HSV-2. The antiviral activity of penciclovir against wild type strains grown on human foreskin fibroblasts was assessed with a plaque reduction assay and staining with crystal violet 3 days postinfection for HSV. The median EC50 values of penciclovir against laboratory and clinical isolates of HSV-1 and HSV-2, were 2 μM (range 1.2 to 2.4 μM, n = 7), and 2.6 μM (range 1.6 to 11 μM, n = 6) respectively.
Resistance: Penciclovir-resistant mutants of HSV can result from mutations in the viral thymidine kinase (TK) and DNA polymerase genes. Mutations in the viral TK gene may lead to complete loss of TK activity (TK negative), reduced levels of TK activity (TK partial), or alteration in the ability of viral TK to phosphorylate the drug without an equivalent loss in the ability to phosphorylate thymidine (TK altered). The median EC50 values observed in a plaque reduction assay with penciclovir resistant HSV-1 and HSV-2 were 69 μM (range 14 to 115 μM, n = 6) and 46 μM (range 4 to >395 μM, n = 9), respectively. The possibility of viral resistance to penciclovir should be considered in patients who fail to respond or experience recurrent viral shedding during therapy.
Cross-resistance: Cross-resistance has been observed among HSV DNA polymerase inhibitors. The most commonly encountered acyclovir resistant mutants that are TK negative are also resistant to penciclovir.
13.1 Carcinogenesis & Mutagenesis & Impairment Of Fertility
Carcinogenesis: Two-year dietary carcinogenicity studies with famciclovir were conducted in rats and mice. An increase in the incidence of mammary adenocarcinoma (a common tumor in animals of this strain) was seen in female rats receiving the high dose of 600 mg/kg/day (1.1 to 4.5x the human systemic exposure at the recommended total daily oral dose ranging between 500 mg and 2000 mg, based on area under the plasma concentration curve comparisons [24 hr AUC] for penciclovir). No increases in tumor incidence were reported in male rats treated at doses up to 240 mg/kg/day (0.7 to 2.7x the human AUC), or in male and female mice at doses up to 600 mg/kg/day (0.3 to 1.2x the human AUC).
Mutagenesis: Famciclovir and penciclovir (the active metabolite of famciclovir) were tested for genotoxic potential in a battery of in vitro and in vivo assays. Famciclovir and penciclovir were negative in in vitro tests for gene mutations in bacteria (S. typhimurium and E. coli) and unscheduled DNA synthesis in mammalian HeLa 83 cells (at doses up to 10,000 and 5,000 mcg/plate, respectively). Famciclovir was also negative in the L5178Y mouse lymphoma assay (5000 mcg/mL), the in vivo mouse micronucleus test (4800 mg/kg), and rat dominant lethal study (5000 mg/kg). Famciclovir induced increases in polyploidy in human lymphocytes in vitro in the absence of chromosomal damage (1200 mcg/mL). Penciclovir was positive in the L5178Y mouse lymphoma assay for gene mutation/chromosomal aberrations, with and without metabolic activation (1000 mcg/mL). In human lymphocytes, penciclovir caused chromosomal aberrations in the absence of metabolic activation (250 mcg/mL). Penciclovir caused an increased incidence of micronuclei in mouse bone marrow in vivo when administered intravenously at doses highly toxic to bone marrow (500 mg/kg), but not when administered orally.
Impairment of fertility: Testicular toxicity was observed in rats, mice, and dogs following repeated administration of famciclovir or penciclovir. Testicular changes included atrophy of the seminiferous tubules, reduction in sperm count, and/or increased incidence of sperm with abnormal morphology or reduced motility. The degree of toxicity to male reproduction was related to dose and duration of exposure. In male rats, decreased fertility was observed after 10 weeks of dosing at 500 mg/kg/day (1.4 to 5.7x the human AUC). The no observable effect level for sperm and testicular toxicity in rats following chronic administration (26 weeks) was 50 mg/kg/day (0.15 to 0.6x the human systemic exposure based on AUC comparisons). Testicular toxicity was observed following chronic administration to mice (104 weeks) and dogs (26 weeks) at doses of 600 mg/kg/day (0.3 to 1.2x the human AUC) and 150 mg/kg/day (1.3 to 5.1x the human AUC), respectively.
Famciclovir had no effect on general reproductive performance or fertility in female rats at doses up to 1000 mg/kg/day (2.7 to 10.8x the human AUC).
Two placebo-controlled studies in a total of 130 otherwise healthy men with a normal sperm profile over an 8-week baseline period and recurrent genital herpes receiving oral famciclovir (250 mg twice daily) (n=66) or placebo (n=64) therapy for 18 weeks showed no evidence of significant effects on sperm count, motility or morphology during treatment or during an 8-week follow-up.
14.1 Herpes Labialis (Cold Sores)
A randomized, double-blind, placebo-controlled trial was conducted in 701 immunocompetent adults with recurrent herpes labialis. Patients self-initiated therapy within 1 hour of first onset of signs or symptoms of a recurrent herpes labialis episode with famciclovir 1500 mg as a single dose (n=227), famciclovir 750 mg twice daily (n=220) or placebo (n=254) for 1 day. The median time to healing among patients with non-aborted lesions (progressing beyond the papule stage) was 4.4 days in the famciclovir 1500 mg single-dose group (n=152) as compared to 6.2 days in the placebo group (n=168). The median difference in time to healing between the placebo and famciclovir 1500 mg treated groups was 1.3 days (95% CI: 0.6 to 2.0). No differences in proportion of patients with aborted lesions (not progressing beyond the papule stage) were observed between patients receiving famciclovir or placebo: 33% for famciclovir 1500 mg single dose and 34% for placebo. The median time to loss of pain and tenderness was 1.7 days in famciclovir 1500 mg single dose-treated patients vs. 2.9 days in placebo-treated patients.
14.2 Genital Herpes
Recurrent episodes: A randomized, double-blind, placebo-controlled trial was conducted in 329 immunocompetent adults with recurrent genital herpes. Patients self-initiated therapy within 6 hours of the first sign or symptom of a recurrent genital herpes episode with either famciclovir 1000 mg twice daily (n=163) or placebo (n=166) for 1 day. The median time to healing among patients with non-aborted lesions (progressing beyond the papule stage) was 4.3 days in famciclovir-treated patients (n=125) as compared to 6.1 days in placebo-treated patients (n=145). The median difference in time to healing between the placebo and famciclovir-treated groups was 1.2 days (95% CI: 0.5 to 2.0). Twenty-three percent of famciclovir-treated patients had aborted lesions (no lesion development beyond erythema) vs. 13% in placebo-treated patients. The median time to loss of all symptoms (e.g., tingling, itching, burning, pain, or tenderness) was 3.3 days in famciclovir-treated patients vs. 5.4 days in placebo-treated patients.
A randomized (2:1), double-blind, placebo-controlled trial was conducted in 304 immunocompetent black and African American adults with recurrent genital herpes. Patients self-initiated therapy within 6 hours of the first sign or symptom of a recurrent genital herpes episode with either famciclovir 1000 mg twice daily (n=206) or placebo (n=98) for 1 day. The median time to healing among patients with non-aborted lesions was 5.4 days in famciclovir-treated patients (n=152) as compared to 4.8 days in placebo-treated patients (n=78). The median difference in time to healing between the placebo and famciclovir-treated groups was -0.26 days (95% CI: -0.98 to 0.40).
Suppressive therapy: Two randomized, double-blind, placebo-controlled, 12-month trials were conducted in 934 immunocompetent adults with a history of 6 or more recurrences of genital herpes episodes per year. Comparisons included famciclovir 125 mg three times daily, 250 mg twice daily, 250 mg three times daily, and placebo. At 12 months, 60% to 65% of patients were still receiving famciclovir and 25% were receiving placebo treatment. Recurrence rates at 6 and 12 months in patients treated with the 250 mg twice daily dose are shown in Table 6.
Table 6 Recurrence Rates at 6 and 12 Months in Adults with Recurrent Genital Herpes on Suppressive Therapy
| | Recurrence Rates at 6 Months | Recurrence Rates at 12 Months | ||
| | Famciclovir 250 mg twice daily (n=236) | Placebo (n=233) | Famciclovir 250 mg twice daily (n=236) | Placebo (n=233) |
| Recurrence-free | 39% | 10% | 29% | 6% |
| Recurrences† | 47% | 74% | 53% | 78% |
| Lost to follow-up‡ | 14% | 16% | 17% | 16% |
†Based on patient reported data; not necessarily confirmed by a physician.
‡Patients recurrence-free at time of last contact prior to withdrawal.
Famciclovir-treated patients had approximately 1/5 the median number of recurrences as compared to placebo-treated patients. Higher doses of famciclovir were not associated with an increase in efficacy.
14.3 Recurrent Orolabial Or Genital Herpes In Hiv-Infected Patients
A randomized, double-blind trial compared famciclovir 500 mg twice daily for 7 days (n=150) with oral acyclovir 400 mg 5 times daily for 7 days (n=143) in HIV-infected patients with recurrent orolabial or genital herpes treated within 48 hours of lesion onset. Approximately 40% of patients had a CD4+ count below 200 cells/mm3, 54% of patients had anogenital lesions and 35% had orolabial lesions. Famciclovir therapy was comparable to oral acyclovir in reducing new lesion formation and in time to complete healing.
16 How Supplied/Storage And Handling
•Famciclovir Tablets 125 mg: Off white, round, biconvex, film coated tablets, debossed with 'I' on one side and '50' on the other side. They are available as follows
Bottles of 30 tablets NDC 31722-706-30
Bottles of 60 tablets NDC 31722-706-60
Bottles of 100 tablets NDC31722-706-01
Bottles of 500 tablets NDC 31722-706-05
Bottles of 1000 tablets NDC 31722-706-10
•Famciclovir Tablets 250 mg: Off white, round, biconvex, film coated tablets, debossed with 'I' on one side and '49' on the other side. They are available as follows
Bottles of 30 tablets NDC 31722-707-30
Bottles of 60 tablets NDC 31722-707-60
Bottles of 100 tablets NDC 31722-707-01
Bottles of 500 tablets NDC 31722-707-05
Bottles of 1000 tablets NDC 31722-707-10
•Famciclovir Tablets 500 mg: Off white, oval, film coated, biconvex tablets, debossed with 'I' on one side and '48' on the other side. They are available as follows
Bottles of 30 tablets NDC 31722-708-30
Bottles of 60 tablets NDC 31722-708-60
Bottles of 100 tablets NDC 31722-708-01
Bottles of 500 tablets NDC 31722-708-05
Bottles of 1000 tablets NDC 31722-708-10
Store at 20° to 25°C (68° to 77°F) [see USP Controlled Room Temperature].
17 Patient Counseling Information
Advise the patient to read the FDA-approved patient labeling (Patient Information).
There is no evidence that famciclovir will affect the ability of a patient to drive or to use machines. However, patients who experience dizziness, somnolence, confusion or other central nervous system disturbances while taking famciclovir should refrain from driving or operating machinery.
Because famciclovir contains lactose (famciclovir 125 mg, 250 mg and 500 mg tablets contain lactose 23.5 mg, 47.1 mg and 94.2 mg, respectively), patients with rare hereditary problems of galactose intolerance, a severe lactase deficiency or glucose-galactose malabsorption should be advised to discuss with their healthcare provider before taking famciclovir.
Herpes Labialis (Cold Sores)
Patients should be advised to initiate treatment at the earliest sign or symptom of a recurrence of cold sores (e.g., tingling, itching, burning, pain, or lesion). Patients should be instructed that treatment for cold sores should not exceed 1 dose. Patients should be informed that famciclovir is not a cure for cold sores.
Genital Herpes
Patients should be informed that famciclovir is not a cure for genital herpes. There are no data evaluating whether famciclovir will prevent transmission of infection to others. Because genital herpes is a sexually transmitted disease, patients should avoid contact with lesions or intercourse when lesions and/or symptoms are present to avoid infecting partners. Genital herpes is frequently transmitted in the absence of symptoms through asymptomatic viral shedding. Therefore, patients should be counseled to use safer sex practices.
If episodic therapy for recurrent genital herpes is indicated, patients should be advised to initiate therapy at the first sign or symptom of an episode.
There are no data on safety or effectiveness of chronic suppressive therapy of longer than 1-year duration.
Patient Information
Famciclovir (fam SYE klo veer)
Tablets
Read this Patient Information before you start taking famciclovir and each time you get a refill. There may be new information. This information does not take the place of talking with your healthcare provider about your medical condition or treatment.
What is famciclovir?
Famciclovir is a prescription antiviral medicine used to:
- treat outbreaks of cold sores (fever blisters) in healthy adults
- treat outbreaks of genital herpes in healthy adults
- decrease the number of outbreaks of genital herpes in healthy adults
- treat outbreaks of herpes simplex lesions in or around the mouth, genitals, and anal area in people infected with HIV
- have kidney or liver problems
- have a rare genetic problem with galactose intolerance, a severe lactase deficiency or you do not absorb glucose-galactose (malabsorption)
- are pregnant or planning to become pregnant. It is not known if famciclovir will harm your unborn baby
- are breastfeeding or plan to breastfeed.
- any other medicines and products you use to treat herpes outbreaks
- probenecid (Probalan)
- Take famciclovir exactly as prescribed
- Your healthcare provider will tell you how many famciclovir to take and when to take them. Your dose of famciclovir and how often you take it may be different depending on your condition
- Famciclovir can be taken with or without food
- It is important for you to finish all of the medicine as prescribed, even if you begin to feel better
- Your symptoms may continue even after you finish all of your famciclovir. This does not mean that you need more medicine, since you have already finished a full course of famciclovir and it will continue to work in your body. Talk to your healthcare provider if you have any questions about your condition and your treatment.
- headache
- nausea
It is not known if famciclovir is safe and effective in children younger than 18 years of age.
Famciclovir is not a cure for herpes. It is not known if famciclovir can stop the spread of herpes to others. If you are sexually active, you can pass herpes to your partner even if you are taking famciclovir. Herpes can be transmitted even if you do not have active symptoms. You should continue to practice safer sex to lower the chances of spreading genital herpes to others. Do not have sexual contact with your partner during an outbreak of genital herpes or if you have any symptoms of genital herpes. Use a condom made of latex or polyurethane when you have a sexual contact. Ask your healthcare provider for more information about safer sex practices.
Who should not take famciclovir?
Do not take famciclovir if you are allergic to any of its ingredients or to penciclovir cream. See the end of this Patient Information leaflet for a complete list of ingredients in famciclovir.
What should I tell my healthcare provider before taking famciclovir?
Before you start taking famciclovir, tell your healthcare provider if you:
Tell your healthcare provider about all the medicines you take, including prescription and nonprescription medicines, vitamins, and herbal supplements. Especially tell your healthcare provider if you take:
Know the medicines you take. Keep a list of them with you to show to your healthcare provider and pharmacist every time you get a new medicine.
How should I take famciclovir?
What are the possible side effects of famciclovir?
The most common side effects of famciclovir include:
Talk to your healthcare provider if you have any side effect that bothers you or that does not go away.
These are not all the possible side effects of famciclovir. Ask your healthcare provider or pharmacist for more information.
Call your healthcare provider for medical advice about side effects. You may report side effects to FDA at 1-800-FDA-1088.
How should I store famciclovir?
• Store famciclovir at room temperature between 20° to 25°C (68° to 77°F).
Keep famciclovir and all medicines out of reach from children.
General information about famciclovir
Medicines are sometimes prescribed for purposes other than those listed in Patient Information leaflets. Do not use famciclovir for a condition for which it was not prescribed. Do not give famciclovir to other people, even if they have the same symptoms you have. It may harm them.
This leaflet summarizes the most important information about famciclovir. If you would like more information, talk with your healthcare provider. Your healthcare provider or pharmacist can give you information about famciclovir that is written for health professionals.
What are the ingredients in famciclovir tablets?
Active ingredient: famciclovir, USP
Inactive ingredients: hydroxypropyl cellulose, lactose monohydrate, magnesium stearate and sodium starch glycolate. The tablets are coated with opadry white which contains hypromellose, polyethylene glycol, polysorbate 80 and titanium dioxide.
Manufactured for:
Camber Pharmaceuticals Inc.
Piscataway, NJ 08854
By: HETEROTM
Hetero Labs Limited Unit V, Polepally, 2038295
Jadcherla, Mahaboob Nagar – 509 301, India.
Barcode
Revised: October 2016
Package Label.Principal Display Panel
Famciclovir Tablets 125 mg - 30's Count Container Label
Famciclovir Tablets 250 mg - 30's Count Container Label
Famciclovir Tablets 500 mg - 30's Count Container Label
* Please review the disclaimer below.
