Product Images Atenolol And Chlorthalidone

View Photos of Packaging, Labels & Appearance

Product Label Images

The following 3 images provide visual information about the product associated with Atenolol And Chlorthalidone NDC 33261-942 by Aidarex Pharmaceuticals Llc, such as packaging, labeling, and the appearance of the drug itself. This resource could be helpful for medical professionals, pharmacists, and patients seeking to verify medication information and ensure they have the correct product.

Structural formula of Antenolol - atenolol 50 mg chlorthalidone 25 mg for watson 1

Structural formula of Antenolol - atenolol 50 mg chlorthalidone 25 mg for watson 1

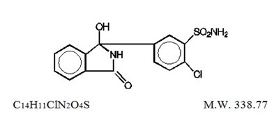
Structural formula for Chlorthalidone - atenolol 50 mg chlorthalidone 25 mg for watson 2

Structural formula for Chlorthalidone - atenolol 50 mg chlorthalidone 25 mg for watson 2

IMAGE LABEL - atenolol 50 mg chlorthalidone 25 mg for watson 3

IMAGE LABEL - atenolol 50 mg chlorthalidone 25 mg for watson 3

This is a cautionary label from Aidarex Pharmaceuticals for a drug called Atenolol/Chlorth. It warns that it can only be dispensed with a prescription and must be kept out of reach of children and stored at room temperature. The drug contains Atenolol and Chlorthalidone in doses of 50/25mg and is available in a box of 30 tablets. The label also indicates that the same drug is available in doses of 50/225mg and is manufactured by Watson Pharma Private Ltd in India.*

* The product label images have been analyzed using a combination of traditional computing and machine learning techniques. It should be noted that the descriptions provided may not be entirely accurate as they are experimental in nature. Use the information in this page at your own discretion and risk.