Product Images Labetalol Hydrochloride

View Photos of Packaging, Labels & Appearance

Product Label Images

The following 7 images provide visual information about the product associated with Labetalol Hydrochloride NDC 33342-515 by Macleods Pharmaceuticals Limited, such as packaging, labeling, and the appearance of the drug itself. This resource could be helpful for medical professionals, pharmacists, and patients seeking to verify medication information and ensure they have the correct product.

111 - labetalol 100 mg 100s

111 - labetalol 100 mg 100s

This is a description for a medication called Labetalol hydrochloride. Each tablet contains 100 mg of the active ingredient. The packaging includes important information for dosage and administration. The recommended storage conditions are at room temperature. The product is manufactured in India by Macleods Pharmaceuticals.*

111 - labetalol 100 mg 500s

111 - labetalol 100 mg 500s

This text provides information about the medication Labetalol hydrochloride in 100 mg tablets. It includes details such as the National Drug Code (NDC), dosage instructions, storage recommendations, and manufacturing information. The product is made in India and distributed by Macleods Pharmaceuticals Ltd. It is important to keep this medication out of reach of children and store it within the recommended temperature range.*

111 - labetalol 200 mg 100s

111 - labetalol 200 mg 100s

This is a description of a medication called Labetalol Hydrochloride 200mg tablets. The text includes information about dosage and administration, storage conditions, manufacturer details, and the National Drug Code (NDC) number. It is important to keep this medication out of the reach of children. The tablets are manufactured in India by Macleods Pharma, with an address provided as well.*

111 - labetalol 200 mg 500s

111 - labetalol 200 mg 500s

This text provides information about Labetalol Hydrochloride Tablets, USP. Each tablet contains Labetalol hydrochloride, USP. It also advises to keep the medication out of the reach of children and to dispense it in a tight, light-resistant container. The text mentions the dosage and administration information available in the package insert. The product is from India and distributed by Medico Pama USA. The storage conditions are specified as a temperature range of 25°C to 30°C (68°F to 86°F). The provided contact address is Marocs Pramacestcss Ltd in India.*

111 - labetalol 300 mg 100s

111 - labetalol 300 mg 100s

This text provides information about a tablet containing Labetalol hydrochloride, USP 300 mg. The tablet is manufactured in India by Macleods Pharmaceuticals Ltd. The package insert should be referred to for dosage and administration instructions. Storage instructions indicate storing the tablets at 20°C to 25°C with excursions permitted to 15°C to 30°C. The product seems to come in a container that holds 100 tablets. There is also mention of a resistant closure for the tablets.*

111 - labetalol 300 mg 500s

111 - labetalol 300 mg 500s

This -processed text contains information about Labetalol, a medication in tablet form with a dosage of 300 mg. It provides guidance on storage conditions, instructing to keep the medication in a tight, light-resistant container at room temperature. The text also mentions manufacturing details, such as the product being manufactured in India for a pharmaceutical company based in the USA. Additionally, it includes a reference to a package insert for dosage and administration details.*

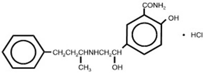
111 - labetalol structure

111 - labetalol structure

* The product label images have been analyzed using a combination of traditional computing and machine learning techniques. It should be noted that the descriptions provided may not be entirely accurate as they are experimental in nature. Use the information in this page at your own discretion and risk.