Product Images Ampicillin And Sulbactam

View Photos of Packaging, Labels & Appearance

Product Label Images

The following 7 images provide visual information about the product associated with Ampicillin And Sulbactam NDC 36000-094 by Claris Life Sciences Inc., such as packaging, labeling, and the appearance of the drug itself. This resource could be helpful for medical professionals, pharmacists, and patients seeking to verify medication information and ensure they have the correct product.

1.5 g vial label - 1.5 g label spl

1.5 g vial label - 1.5 g label spl

This is a medical product description for Sulbactam for Injection, USP, a sterile solution for intravenous use, with a combined dose of 1.5g, containing 1g of ampicillin and 0.5g of sulbactam as the sodium salt. Each vial contains about 115mg of sodium and the product has an NDC code of 36000-094-10.*

1.5g Carton - 2015 12 14 Ampi sulba 1.5g carton

1.5g Carton - 2015 12 14 Ampi sulba 1.5g carton

3g Carton - 2015 12 14 Ampi sulba 3g carton

3g Carton - 2015 12 14 Ampi sulba 3g carton

This is a description of a medication called Ampicillin and Sulbactam for Injection, USP. The usual adult dosage is 1.5 g to 3 g every six hours, corresponding to 1 g ampicillin as the sodium salt plus 0.5 g Sulbactam. The medication is sterile and comes in vials produced at a facility in North Brunswick, New Jersey.*

3g vial label - 3 g label spl

3g vial label - 3 g label spl

Sulbactam is a medicine that comes in a vial containing 3g of sterile solution. It is a USP injection that combines 2g of ampicillin as the sodium salt and 1g of sulbactam as the sodium salt, which together help fight bacterial infections. It is important to note that one vial of this medicine contains 230mg of sodium.*

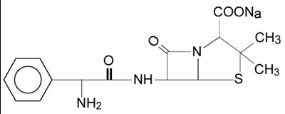
Chemical Structure - ampsalb 01

Chemical Structure - ampsalb 01

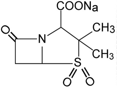
Chemical Structure - ampsalb 02

Chemical Structure - ampsalb 02

Distributor - ampsalb 03

Distributor - ampsalb 03

* The product label images have been analyzed using a combination of traditional computing and machine learning techniques. It should be noted that the descriptions provided may not be entirely accurate as they are experimental in nature. Use the information in this page at your own discretion and risk.