Product Images Lisinopril

View Photos of Packaging, Labels & Appearance

Product Label Images

The following 2 images provide visual information about the product associated with Lisinopril NDC 42708-096 by Qpharma, Inc., such as packaging, labeling, and the appearance of the drug itself. This resource could be helpful for medical professionals, pharmacists, and patients seeking to verify medication information and ensure they have the correct product.

42708 096 30

42708 096 30

This is a medication packaging label containing dosage instructions, precautions, and manufacturer details for 5% Lisinopril tablets. The package contains 30 tablets and provides instructions for taking the medication. The label also includes information about the distributor and a warning to keep the container tightly closed and out of reach of children.*

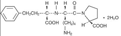
Chemical Structure - e299d477 a612 4af4 b6aa f5addc8a736d 01

Chemical Structure - e299d477 a612 4af4 b6aa f5addc8a736d 01

* The product label images have been analyzed using a combination of traditional computing and machine learning techniques. It should be noted that the descriptions provided may not be entirely accurate as they are experimental in nature. Use the information in this page at your own discretion and risk.