Product Images Yargesa

View Photos of Packaging, Labels & Appearance

Product Label Images

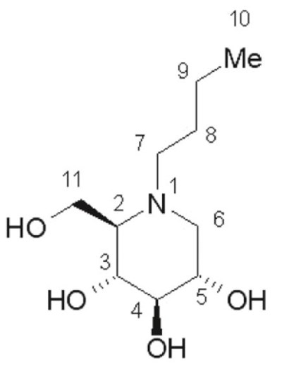
The following 2 images provide visual information about the product associated with Yargesa NDC 42799-709 by Edenbridge Pharmaceuticals Llc., such as packaging, labeling, and the appearance of the drug itself. This resource could be helpful for medical professionals, pharmacists, and patients seeking to verify medication information and ensure they have the correct product.

structure - miglustat structure

structure - miglustat structure

box - yargesa 15 ct

box - yargesa 15 ct