Product Images Ethosuximide

View Photos of Packaging, Labels & Appearance

Product Label Images

The following 2 images provide visual information about the product associated with Ethosuximide NDC 42806-708 by Epic Pharma, Llc, such as packaging, labeling, and the appearance of the drug itself. This resource could be helpful for medical professionals, pharmacists, and patients seeking to verify medication information and ensure they have the correct product.

250mg-100ct.jpg - 250mg 100ct

250mg-100ct.jpg - 250mg 100ct

This text describes the dosage and storage instructions for Ethosuximide capsules, USP, manufactured by Humanwell PuraCap Pharmaceutical in China and distributed by Epic Pharma in NY. The medication is available in a container of 100 capsules with each capsule containing 250mg of Ethosuximide. The pharmacist should dispense a medication guide to each patient along with the medication, and it should be kept in a tightly closed, light-resistant container out of the reach of children. The NDC number for this medication is 42806-708-01.*

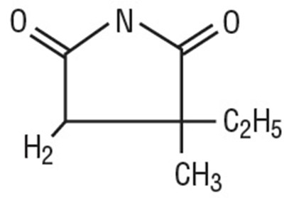
structure-formula.jpg - image 01

structure-formula.jpg - image 01

* The product label images have been analyzed using a combination of traditional computing and machine learning techniques. It should be noted that the descriptions provided may not be entirely accurate as they are experimental in nature. Use the information in this page at your own discretion and risk.