Product Images Penicillin V Potassium

View Photos of Packaging, Labels & Appearance

Product Label Images

The following 2 images provide visual information about the product associated with Penicillin V Potassium NDC 43063-704 by Pd-rx Pharmaceuticals, Inc., such as packaging, labeling, and the appearance of the drug itself. This resource could be helpful for medical professionals, pharmacists, and patients seeking to verify medication information and ensure they have the correct product.

43063704 Label - 43063704

43063704 Label - 43063704

This is a description of a medication named Penicilin VK, which comes in the form of 250mg coated tablets, with a bottle containing 28 tablets. The medication is to be taken as directed by the doctor, unless otherwise advised, and should not be stopped without consulting a physician. It is important to call a doctor for medical advice about side effects, and these side effects can also be reported to FDA. The tablets have some markings, such as a white color and "€8s" stamped on them. All technical information such as lot number, expiration date, and manufacturer information is also provided.*

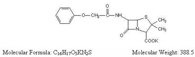
Chemical Structure - penicillin str

Chemical Structure - penicillin str

* The product label images have been analyzed using a combination of traditional computing and machine learning techniques. It should be noted that the descriptions provided may not be entirely accurate as they are experimental in nature. Use the information in this page at your own discretion and risk.