Product Images Cardene Iv

View Photos of Packaging, Labels & Appearance

Product Label Images

The following 7 images provide visual information about the product associated with Cardene Iv NDC 43066-009 by Baxter Healthcare Corporation, such as packaging, labeling, and the appearance of the drug itself. This resource could be helpful for medical professionals, pharmacists, and patients seeking to verify medication information and ensure they have the correct product.

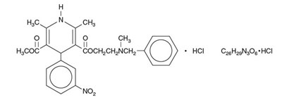
Cardene Structural Formula - image 01

Cardene Structural Formula - image 01

Cardene Representative Container Label 1 of 2 - image 02

Cardene Representative Container Label 1 of 2 - image 02

This is a description of QALAXY, a sodium chloride injection used intravenously, containing Nicardipine hydrochloride and other ingredients listed. The dosages, cautions, and storage instructions are also given. Baxter Healthcare Corporation manufactures it and registered trademarks include Gardene and Galaxy. The text appears to be a product label or user manual.*

Cardene Representative Container Label 2 of 2 - image 03

Cardene Representative Container Label 2 of 2 - image 03

Cardene Representative Carton Label 1 of 2 - image 04

Cardene Representative Carton Label 1 of 2 - image 04

Nicardipine Hydrochloride, is a treatment for high blood pressure that comes in 40mg dose, containing 200 ml, in 0.83% Sodium Chloride injection. It is vital to check the infusion rate visually and check for minute leaks by squeezing the container firmly. The solution must be clear before use, and supplemental medication is prohibited. The drug must be stored in a controlled room temperature avoiding freezing and exposure to high temperatures and sunlight. The label contains US patents and information for reporting adverse reactions. It is produced and marketed by Baxter Healthcare Corporation, at Illinois, USA.*

Cardene Representative Carton Label 2 of 2 - image 05

Cardene Representative Carton Label 2 of 2 - image 05

Nicardipine Hydrochloride is a drug solution that is designed to be used through intravenous injection. Each millimeter of the solution contains 0.1mg of Nicardipine Hydrochloride in addition to 86 mg of Sodium Chloride, 0.0192 mg of Citric Acid, and 1.92 mg of Sorbitol. The recommendation is to store it between 20° to 25°C (68° to 77°F) until ready to use but it is important to avoid excessive heat and light. It also states that any leaks in the bag containing the solution may result in reduced quality or impairment to its purity, and as such, they must be discarded if found. Baxter, Gardens, and Galaxy are all trademarks registered with their respective companies. For more advice, there is a US-based hotline available.*

Cardene Representative Shipper Label 1 of 2 - image 06

Cardene Representative Shipper Label 1 of 2 - image 06

Cardene Representative Shipper Label 2 of 2 - image 07

Cardene Representative Shipper Label 2 of 2 - image 07

* The product label images have been analyzed using a combination of traditional computing and machine learning techniques. It should be noted that the descriptions provided may not be entirely accurate as they are experimental in nature. Use the information in this page at your own discretion and risk.