Product Images Cardene Iv

View Photos of Packaging, Labels & Appearance

Product Label Images

The following 7 images provide visual information about the product associated with Cardene Iv NDC 43066-028 by Baxter Healthcare Corporation, such as packaging, labeling, and the appearance of the drug itself. This resource could be helpful for medical professionals, pharmacists, and patients seeking to verify medication information and ensure they have the correct product.

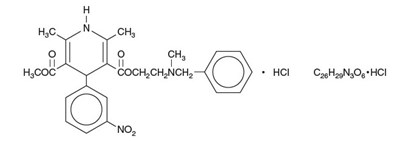
Cardene Structural Formula - image 01

Cardene Structural Formula - image 01

Representative 20 mg Container lbl panel 1 of 2 - image 02

Representative 20 mg Container lbl panel 1 of 2 - image 02

This is a description of a medical solution of Nicardipine Hydrochloride for intravenous use. The solution is contained in a single-use container coded 263447 and has a concentration of 0.1 mg/mL. It is made up of 0.1 mg Nicardipine Hydrochloride in 86 mg Sodium Chloride USP with additional components such as Citric Acid Anhydrous USP and Sorbitol NF. Hydrochloric Acid and/or Sodium Hydroxide may have been added to adjust pH. The dosage information is not available, but physicians should see the prescribing information. The solution should be checked for leaks and not used if it is not clear. The solution is not to be used in series connection and should be stored at a controlled room temperature of 20-25°C. The manufacturers of the solution are Barter Healthcare Corporation, and contact information is provided for reporting any adverse reactions.*

Representative 20 mg Container lbl panel 2 of 2 - image 03

Representative 20 mg Container lbl panel 2 of 2 - image 03

Representative 20 mg Carton lbl - image 04

Representative 20 mg Carton lbl - image 04

Representative Serialization 43066-026-10 - image 05

Representative Serialization 43066-026-10 - image 05

CARDENE’LV is a medication that contains Nicardipine Hydrochloride of 40mg in 200mL of 0.83% sodium chloride injection. It is used for intravenous use and each mL contains 0.2mg of Nicardipine Hydrochloride. It is advised not to add any additional medication and it must not be used in series connections. The solution should be checked for any minute leaks before use. CARDENE’LV is a registered trademark of Chies USA, Inc. The medication can be stored at controlled room temperate and must be protected from light and freezing. In case of suspected adverse reactions, contact Baxter Healthcare Corporation.*

Representative 40 mg Container panel 1 of 2 - image 06

Representative 40 mg Container panel 1 of 2 - image 06

Representative 40 mg Container panel 2 of 2 - image 07

Representative 40 mg Container panel 2 of 2 - image 07

This text is providing details about Nicardipine Hydrochloride drug available in CARDENE'I.V. form, which is an injection to treat high blood pressure. The drug comes in a 40 mg dose in 200 mL of 0.83% Sodium Chloride Injection. The concentration of Nicardipine Hydrochloride is 0.2 mg/mL that needs to be carefully checked during infusion. The information instructs users to discard any unused portion of the subject drug. The drug must be stored in its carton until it is ready to use. The text also provides instructions and warnings for users, such as keeping the drug at room temperature (20-25°C) and not using it after the expiration date. Finally, this text lists the manufacturer's name, patent numbers, product code, etc.*

* The product label images have been analyzed using a combination of traditional computing and machine learning techniques. It should be noted that the descriptions provided may not be entirely accurate as they are experimental in nature. Use the information in this page at your own discretion and risk.