Product Images Lidocaine Hcl

View Photos of Packaging, Labels & Appearance

Product Label Images

The following 3 images provide visual information about the product associated with Lidocaine Hcl NDC 43305-1030 by Pearson Dental, such as packaging, labeling, and the appearance of the drug itself. This resource could be helpful for medical professionals, pharmacists, and patients seeking to verify medication information and ensure they have the correct product.

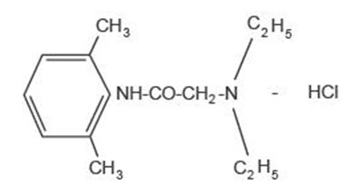
Chemical Structure - lidocaine 01

Chemical Structure - lidocaine 01

Chemical Structure - lidocaine 02

Chemical Structure - lidocaine 02

PRINCIPAL DISPLAY PANEL - 1.7 mL Cartridge Carton - pc

PRINCIPAL DISPLAY PANEL - 1.7 mL Cartridge Carton - pc

This is a description of the Lidocaine HCI 2% and Epinephrine 1:100,000 Injection. This medication is intended for use in dental block and infiltration only. Each Rx contains 50 cartridges with a minimum of 1.7mL each. The injection contains Lidocaine Hydrochloride 20mg, Epinephrine Bartate s base 1019. Other ingredients include Polssium Hetabguite 1209, el Dz 025m, Sodum fyioude 5 to st, and Water o njcton gs.ad 1l. The injection is distributed by Pearson Dental Supply Inc., and is made in Canada.*

* The product label images have been analyzed using a combination of traditional computing and machine learning techniques. It should be noted that the descriptions provided may not be entirely accurate as they are experimental in nature. Use the information in this page at your own discretion and risk.