FDA Label for Nystatin
View Indications, Usage & Precautions
- DESCRIPTION
- PHARMACOKINETICS
- MICROBIOLOGY
- INDICATIONS AND USAGE
- CONTRAINDICATIONS
- GENERAL
- INFORMATION FOR PATIENT
- LABORATORY TESTS
- CARCINOGENESIS & MUTAGENESIS & IMPAIRMENT OF FERTILITY
- PREGNANCY
- NURSING MOTHERS
- PEDIATRIC USE
- GERIATRIC USE
- ADVERSE REACTIONS
- DOSAGE AND ADMINISTRATION
- ADULTS AND PEDIATRIC PATIENTS (NEONATES AND OLDER)
- HOW SUPPLIED
- STORAGE
- PACKAGE LABEL.PRINCIPAL DISPLAY PANEL
Nystatin Product Label
The following document was submitted to the FDA by the labeler of this product Lupin Pharmaceuticals,inc.. The document includes published materials associated whith this product with the essential scientific information about this product as well as other prescribing information. Product labels may durg indications and usage, generic names, contraindications, active ingredients, strength dosage, routes of administration, appearance, warnings, inactive ingredients, etc.
Description
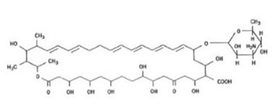
Nystatin is a polyene antifungal antibiotic obtained from Streptomyces noursei. The molecular formula for Nystatin is C47H75NO17. The molecular weight of Nystatin is 926.1.
Structural formula:
Nystatin topical powder is for dermatologic use.
Nystatin topical powder contains 100,000 USP nystatin units per gram dispersed in talc.
Pharmacokinetics
Nystatin is not absorbed from intact skin or mucous membrane.
Microbiology
Fluocinolone Acetonide Topical Solution USP, 0.01% is generally applied to the affected area as a thin film from two to four times daily depending on the severity of the condition. In hairy sites, the hair should be parted to allow direct contact with the lesion.
Occlusive dressing may be used for the management of psoriasis or recalcitrant conditions.
If an infection develops, the use of occlusive dressings should be discontinued and appropriate antimicrobial therapy instituted.
Indications And Usage
Nystatin topical powder is indicated in the treatment of cutaneous or mucocutaneous mycotic infections caused by Candida albicans and other susceptible Candida species.
Nystatin topical powder is not indicated for systemic, oral, intravaginal or ophthalmic use.
Contraindications
Nystatin topical powder is contraindicated in patients with a history of hypersensitivity to any of its components.
General
Nystatin topical powder should not be used for the treatment of systemic, oral, intravaginal or ophthalmic infections.
If irritation or sensitization develops, treatment should be discontinued and appropriate measures taken as indicated. It is recommended that KOH smears, cultures, or other diagnostic methods be used to confirm the diagnosis of cutaneous or mucocutaneous candidiasis and to rule out infection caused by other pathogens.
Information For Patient
Patients using this medication should receive the following information and instructions:
- The patient should be instructed to use this medication as directed (including the replacement of missed doses). This medication is not for any disorder other than that for which it is prescribed.
- Even if symptomatic relief occurs within the first few days of treatment, the patient should be advised not to interrupt or discontinue therapy until the prescribed course of treatment is completed.
- If symptoms of irritation develop, the patient should be advised to notify the physician promptly.
Laboratory Tests
If there is lack of therapeutic response, KOH smears, cultures, or other diagnostic methods should be repeated.
Carcinogenesis & Mutagenesis & Impairment Of Fertility
No long-term animal studies have been performed to evaluate the carcinogenic potential of nystatin. No studies have been performed to determine the mutagenicity of nystatin or its effects on male or female fertility.
Pregnancy
Teratogenic Effects
Category C
Animal reproduction studies have not been conducted with any nystatin topical preparation. It also is not known whether these preparations can cause fetal harm when used by a pregnant woman or can affect reproductive capacity. Nystatin topical powder should be prescribed for a pregnant woman only if the potential benefit to the mother outweighs the potential risk to the fetus.
Nursing Mothers
It is not known whether nystatin is excreted in human milk. Caution should be exercised when nystatin is prescribed for a nursing woman.
Pediatric Use
Safety and effectiveness have been established in the pediatric population from birth to 16 years. (See DOSAGE AND ADMINISTRATION.)
Geriatric Use
Clinical studies with nystatin topical powder did not include sufficient numbers of subjects aged 65 years and older to determine whether they respond differently than younger subjects. Other reported clinical experience has not identified differences in responses between elderly and younger patients, but greater sensitivity of some older individuals cannot be ruled out.
Adverse Reactions
The frequency of adverse events reported in patients using nystatin topical powder is less than 0.1%. The more common events that were reported include allergic reactions, burning, itching, rash, eczema, and pain on application. (See PRECAUTIONS, General.)
Dosage And Administration
Very moist lesions are best treated with the topical dusting powder.
Adults And Pediatric Patients (Neonates And Older)
Apply to candidal lesions two or three times daily until healing is complete. For fungal infection of the feet caused by Candida species, the powder should be dusted on the feet, as well as, in all foot wear.
How Supplied
Nystatin topical powder, USP is supplied as 100,000 units nystatin per gram in plastic squeeze bottles:
15 g (NDC 43386-530-01)
30 g (NDC 43386-530-02)
56.7 g (NDC 43386-530-05)
60 g (NDC 43386-530-06)
Storage
Store at 20°C to 25°C (68°F to 77°F)[see USP Controlled Room Temperature]; avoid excessive heat (40°C/104°F).
Keep tightly closed.
Manufactured by:
Novel Laboratories, Inc.
Somerset, NJ 08873 USA
Distributed by:
Lupin Pharmaceuticals, Inc.
Somerset, NJ 08873 USA
Rev. 06/2017
Package Label.Principal Display Panel
15 g
NDC 43386-530-01
30 g
NDC 43386-530-02
60 g
NDC 43386-530-06
* Please review the disclaimer below.

