FDA Label for Synalar
View Indications, Usage & Precautions
- OTHER
- DESCRIPTION
- CLINICAL PHARMACOLOGY
- PHARMACOKINETICS
- INDICATIONS AND USAGE
- CONTRAINDICATIONS
- GENERAL
- INFORMATION FOR THE PATIENT
- LABORATORY TESTS
- CARCINOGENESIS, MUTAGENESIS, AND IMPAIRMENT OF FERTILITY
- PREGNANCY CATEGORY C
- NURSING MOTHERS
- PEDIATRIC USE
- ADVERSE REACTIONS
- OVERDOSAGE
- DOSAGE AND ADMINISTRATION
- HOW SUPPLIED
- STORAGE
- PRINCIPAL DISPLAY PANEL - 120 G TUBE CARTON
- PRINCIPAL DISPLAY PANEL - KIT CARTON
Synalar Product Label
The following document was submitted to the FDA by the labeler of this product Medimetriks Pharmaceuticals, Inc.. The document includes published materials associated whith this product with the essential scientific information about this product as well as other prescribing information. Product labels may durg indications and usage, generic names, contraindications, active ingredients, strength dosage, routes of administration, appearance, warnings, inactive ingredients, etc.
Other
Rx Only
Manufactured for:
MEDIMETRIKS
PHARMACEUTICALS, INC.
383 Route 46 West, Fairfield, NJ 07004-2402 USA
www.medimetriks.com
Manufactured by: Teligent Pharma, Inc., Buena, NJ 08310
IP029-R2
Rev. 11/16
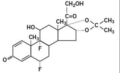
Description
SYNALAR® (fluocinolone acetonide) Ointment 0.025% is intended for topical administration. The active component is the corticosteroid fluocinolone acetonide, which has the chemical name pregna-1,4-diene-3,20-dione,6,9-difluoro-11,21-dihydroxy-16,17-[(1-methylethylidene)bis (oxy)]-,(6α,11β,16α)-. It has the following chemical structure:
SYNALAR® Ointment contains fluocinolone acetonide 0.25 mg/g in a white petrolatum USP vehicle.
Clinical Pharmacology
Topical corticosteroids share anti-inflammatory, anti-pruritic and vasoconstrictive actions.
The mechanism of anti-inflammatory activity of the topical corticosteroids is unclear. Various laboratory methods, including vasoconstrictor assays, are used to compare and predict potencies and/or clinical efficacies of the topical corticosteroids. There is some evidence to suggest that a recognizable correlation exists between vasoconstrictor potency and therapeutic efficacy in man.
Pharmacokinetics
The extent of percutaneous absorption of topical corticosteroids is determined by many factors including the vehicle, the integrity of the epidermal barrier, and the use of occlusive dressings.
Topical corticosteroids can be absorbed from normal intact skin. Inflammation and/or other disease processes in the skin increase percutaneous absorption. Occlusive dressings substantially increase the percutaneous absorption of topical corticosteroids. Thus, occlusive dressings may be a valuable therapeutic adjunct for treatment of resistant dermatoses (see DOSAGE AND ADMINISTRATION).
Once absorbed through the skin, topical corticosteroids are handled through pharmacokinetic pathways similar to systemically administered corticosteroids. Corticosteroids are bound to plasma proteins in varying degrees. Corticosteroids are metabolized primarily in the liver and are then excreted by the kidneys. Some of the topical corticosteroids and their metabolites are also excreted into the bile.
Indications And Usage
SYNALAR® Ointment is indicated for the relief of the inflammatory and pruritic manifestations of corticosteriod-responsive dermatoses.
Contraindications
Topical corticosteroids are contraindicated in those patients with a history of hypersensitivity to any of the components of the preparation.
General
Systemic absorption of topical corticosteroids has produced reversible hypothalamic-pituitary-adrenal (HPA) axis suppression, manifestations of Cushing's syndrome, hyperglycemia, and glucosuria in some patients.
Conditions which augment systemic absorption include the application of the more potent steroids, use over large surface areas, prolonged use, and the addition of occlusive dressings.
Therefore, patients receiving a large dose of a potent topical steroid applied to a large surface area or under an occlusive dressing should be evaluated periodically for evidence of HPA axis suppression by using the urinary free cortisol and ACTH stimulation tests. If HPA axis suppression is noted, an attempt should be made to withdraw the drug, to reduce the frequency of application, or to substitute a less potent steroid.
Recovery of HPA axis function is generally prompt and complete upon discontinuation of the drug. Infrequently, signs and symptoms of steroid withdrawal may occur, requiring supplemental systemic corticosteroids.
Children may absorb proportionally larger amounts of topical corticosteroids and thus be more susceptible to systemic toxicity (see PRECAUTIONS—Pediatric Use).
If irritation develops, topical corticosteroids should be discontinued and appropriate therapy instituted.
As with any topical corticosteroid product, prolonged use may produce atrophy of the skin and subcutaneous tissues. When used on intertriginous or flexor areas, or on the face, this may occur even with short-term use.
In the presence of dermatological infections, the use of an appropriate antifungal or antibacterial agent should be instituted. If a favorable response does not occur promptly, the corticosteroid should be discontinued until the infection has been adequately controlled.
Information For The Patient
Patients using topical corticosteroids should receive the following information and instructions:
- This medication is to be used as directed by the physician. It is for external use only. Avoid contact with the eyes.
- Patients should be advised not to use this medication for any disorder other than that for which it was prescribed.
- The treated skin area should not be bandaged or otherwise covered or wrapped as to be occlusive unless directed by the physician.
- Patients should report any signs of local adverse reactions, especially under occlusive dressing.
- Parents of pediatric patients should be advised not to use tight-fitting diapers or plastic pants on a child being treated in the diaper area, as these garments may constitute occlusive dressings.
Laboratory Tests
The following tests may be helpful in evaluating the HPA axis suppression:
Urinary free cortisol test ACTH stimulation test
Carcinogenesis, Mutagenesis, And Impairment Of Fertility
Long-term animal studies have not been performed to evaluate the carcinogenic potential or the effect on fertility of topical corticosteroids.
Studies to determine mutagenicity with prednisolone and hydrocortisone have revealed negative results.
Pregnancy Category C
Corticosteroids are generally teratogenic in laboratory animals when administered systemically at relatively low dosage levels. The more potent corticosteroids have been shown to be teratogenic after dermal application in laboratory animals. There are no adequate and well-controlled studies in pregnant women on teratogenic effects from topically applied corticosteroids. Therefore, topical corticosteroids should be used during pregnancy only if the potential benefit justifies the potential risk to the fetus. Drugs of this class should not be used extensively on pregnant patients, in large amounts, or for prolonged periods of time.
Nursing Mothers
It is not known whether topical administration of corticosteroids could result in sufficient systemic absorption to produce detectable quantities in breast milk. Systemically administered corticosteroids are secreted into breast milk in quantities not likely to have a deleterious effect on the infant. Nevertheless, caution should be exercised when topical corticosteroids are administered to a nursing woman.
Pediatric Use
Pediatric patients may demonstrate greater susceptibility to topical corticosteroid-induced hypothalmic-pituitary-adrenal (HPA) axis suppression and Cushing's syndrome than mature patients because of a larger skin surface area to body weight ratio.
HPA axis suppression, Cushing's syndrome, and intracranial hypertension have been reported in children receiving topical corticosteroids. Manifestations of adrenal suppression in children include linear growth retardation, delayed weight gain, low plasma cortisol levels, and absence of response to ACTH stimulation. Manifestations of intracranial hypertension include bulging fontanelles, headaches, and bilateral papilledema.
Administration of topical corticosteroids to children should be limited to the least amount compatible with an effective therapeutic regimen. Chronic corticosteroid therapy may interfere with the growth and development of children.
Adverse Reactions
The following local adverse reactions are reported infrequently with topical corticosteroids, but may occur more frequently with the use of occlusive dressings. These reactions are listed in an approximate decreasing order of occurrence:
| Burning | Hypertrichosis | Maceration of the skin |
| Itching | Acneiform eruptions | Secondary infection |
| Irritation | Hypopigmentation | Skin atrophy |
| Dryness | Perioral dermatitis | Striae |
| Folliculitis | Allergic contact dermatitis | Miliaria |
Overdosage
Topically applied corticosteroids can be absorbed in sufficient amounts to produce systemic effects (see PRECAUTIONS).
Dosage And Administration
SYNALAR® Ointment is generally applied to the affected area as a thin film from two to four times daily depending on the severity of the condition. In hairy sites, the hair should be parted to allow direct contact with the lesion.
Occlusive dressing may be used for the management of psoriasis or recalcitrant conditions. Some plastic films may be flammable and due care should be exercised in their use. Similarly, caution should be employed when such films are used on children or left in their proximity, to avoid the possibility of accidental suffocation.
If an infection develops, the use of the occlusive dressings should be discontinued and appropriate antimicrobial therapy instituted.
How Supplied
SYNALAR® (fluocinolone acetonide) Ointment 0.025% is supplied in
60 g Tube – NDC 43538-910-60 120 g Tube – NDC 43538-910-12
Storage
Store at room temperature 15-25°C (59-77°F); avoid freezing and excessive heat above 40°C (104°F).
Principal Display Panel - 120 G Tube Carton
RX Only
NDC 43538-910-12
SYNALAR®
(fluocinolone acetonide)
Ointment, 0.025%
For Topical Use Only
Not For Ophthalmic Use
120 g
MEDIMETRIKS
PHARMACEUTICALS, INC.
Principal Display Panel - Kit Carton
NDC 43538-911-12
For Topical Use Only
Not For Ophthalmic Use
120 g
Rx Only
SYNALAR®
(fluocinolone acetonide)
Ointment, 0.025%
Ointment KIT
KIT CONTAINS:
1 - SYNALAR®
(fluocinolone acetonide)
Ointment, 0.025%
120 g Tube1 - Keradan® Cream
Net wt. 9 oz. (255 g) Tube
MEDIMETRIKS
PHARMACEUTICALS, INC.
* Please review the disclaimer below.


