Product Images Clonidine Hydrochloride
View Photos of Packaging, Labels & Appearance
Product Label Images
The following 4 images provide visual information about the product associated with Clonidine Hydrochloride NDC 43547-565 by Solco Healthcare Llc, such as packaging, labeling, and the appearance of the drug itself. This resource could be helpful for medical professionals, pharmacists, and patients seeking to verify medication information and ensure they have the correct product.
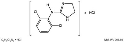
This is an image of the structural formula for clonidine hydrochloride. - clonid 1

This is a chemical compound reference that provides the molecular formula (CHCLN) and the molecular weight (266.56 g/mol).*
Container label 0.2 mg - image 02

This appears to be a partial list of ingredients for a medication. The name of the medication is not provided, but it contains Clonidine and Hydrochloride. The dosage instructions are not clear. Without more information, it is difficult to provide a useful description.*
Container label 0.3 mg - image 03

This seems to be a medication label with details about dosage and ingredients. The medication is likely a combination of Clonidine and Hydrochloride and comes in tablet form. The recommended dosage should be obtained from a prescription. The label also includes information on storage. *
* The product label images have been analyzed using a combination of traditional computing and machine learning techniques. It should be noted that the descriptions provided may not be entirely accurate as they are experimental in nature. Use the information in this page at your own discretion and risk.