FDA Label for Aripiprazole
View Indications, Usage & Precautions
- WARNING: INCREASED MORTALITY IN ELDERLY PATIENTS WITH DEMENTIA-RELATED PSYCHOSIS; AND SUICIDAL THOUGHTS AND BEHAVIORS WITH ANTIDEPRESSANT DRUGS
- 1 INDICATIONS AND USAGE
- 2.1 SCHIZOPHRENIA
- 2.7 DOSAGE ADJUSTMENTS FOR CYTOCHROME P450 CONSIDERATIONS
- 2.8 DOSING OF ORAL SOLUTION
- 3 DOSAGE FORMS AND STRENGTHS
- 4 CONTRAINDICATIONS
- 5.1 INCREASED MORTALITY IN ELDERLY PATIENTS WITH DEMENTIA-RELATED PSYCHOSIS
- 5.2 CEREBROVASCULAR ADVERSE EVENTS, INCLUDING STROKE
- 5.3 SUICIDAL THOUGHTS AND BEHAVIORS IN CHILDREN, ADOLESCENTS, AND YOUNG ADULTS
- 5.4 NEUROLEPTIC MALIGNANT SYNDROME (NMS)
- 5.5 TARDIVE DYSKINESIA
- 5.6 METABOLIC CHANGES
- 5.7 PATHOLOGICAL GAMBLING AND OTHER COMPULSIVE BEHAVIORS
- 5.8 ORTHOSTATIC HYPOTENSION
- 5.9 FALLS
- 5.10 LEUKOPENIA, NEUTROPENIA, AND AGRANULOCYTOSIS
- 5.11 SEIZURES/CONVULSIONS
- 5.12 POTENTIAL FOR COGNITIVE AND MOTOR IMPAIRMENT
- 5.13 BODY TEMPERATURE REGULATION
- 5.14 SUICIDE
- 5.15 DYSPHAGIA
- 6 ADVERSE REACTIONS
- 6.1 CLINICAL TRIALS EXPERIENCE
- 6.2 POSTMARKETING EXPERIENCE
- 7.1 DRUGS HAVING CLINICALLY IMPORTANT INTERACTIONS WITH ARIPIPRAZOLE
- 7.2 DRUGS HAVING NO CLINICALLY IMPORTANT INTERACTIONS WITH ARIPIPRAZOLE
- 8.1 PREGNANCY
- 8.2 LACTATION
- 8.4 PEDIATRIC USE
- 8.5 GERIATRIC USE
- 8.6 CYP2D6 POOR METABOLIZERS
- 8.7 HEPATIC AND RENAL IMPAIRMENT
- 8.8 OTHER SPECIFIC POPULATIONS
- 9.1 CONTROLLED SUBSTANCE
- 9.2 ABUSE
- 9.3 DEPENDENCE
- 10 OVERDOSAGE
- 10.1 HUMAN EXPERIENCE
- 10.2 MANAGEMENT OF OVERDOSAGE
- 11 DESCRIPTION
- 12.1 MECHANISM OF ACTION
- 12.2 PHARMACODYNAMICS
- 12.3 PHARMACOKINETICS
- 13.1 CARCINOGENESIS, MUTAGENESIS, IMPAIRMENT OF FERTILITY
- 13.2 ANIMAL TOXICOLOGY AND/OR PHARMACOLOGY
- 14 CLINICAL STUDIES
- 14.1 SCHIZOPHRENIA
- 14.2 BIPOLAR DISORDER
- 16.1 HOW SUPPLIED
- 16.2 STORAGE
- 17 PATIENT COUNSELING INFORMATION
- MEDICATION GUIDE
- PACKAGE LABEL-PRINCIPAL DISPLAY PANEL
Aripiprazole Product Label
The following document was submitted to the FDA by the labeler of this product Dr.reddy�s Laboratories Inc. The document includes published materials associated whith this product with the essential scientific information about this product as well as other prescribing information. Product labels may durg indications and usage, generic names, contraindications, active ingredients, strength dosage, routes of administration, appearance, warnings, inactive ingredients, etc.
Warning: Increased Mortality In Elderly Patients With Dementia-Related Psychosis; And Suicidal Thoughts And Behaviors With Antidepressant Drugs
Elderly patients with dementia-related psychosis treated with antipsychotic drugs are at an increased risk of death. Aripiprazole is not approved for the treatment of patients with dementia-related psychosis [ see Warnings and Precautions ( 5.1) ].
Antidepressants increased the risk of suicidal thoughts and behavior in children, adolescents, and young adults in short-term studies. These studies did not show an increase in the risk of suicidal thoughts and behavior with antidepressant use in patients over age 24; there was a reduction in risk with antidepressant use in patients aged 65 and older [ see Warnings and Precautions ( 5.3) ].
In patients of all ages who are started on antidepressant therapy, monitor closely for worsening, and for emergence of suicidal thoughts and behaviors. Advise families and caregivers of the need for close observation and communication with the prescriber [ see Warnings and Precautions ( 5.3) ].
1 Indications And Usage
Aripiprazole tablets are indicated for the treatment of:
- Schizophrenia [ see CLINICAL STUDIES ( 14.1) ]
Additional pediatric use information is approved for Otsuka America Pharmaceutical, Inc.’s ABILIFY ® (aripiprazole) product. However, due to Otsuka America Pharmaceutical, Inc.’s marketing exclusivity rights, this drug product is not labeled with that information.
2.1 Schizophrenia
Adults
The recommended starting and target dose for aripiprazole is 10 mg/day or 15 mg/day administered on a once-a-day schedule without regard to meals. Aripiprazole has been systematically evaluated and shown to be effective in a dose range of 10 mg/day to 30 mg/day, when administered as the tablet formulation; however, doses higher than 10 mg/day or 15 mg/day were not more effective than 10 mg/day or 15 mg/day. Dosage increases should generally not be made before 2 weeks, the time needed to achieve steady-state [ see CLINICAL STUDIES ( 14.1) ].
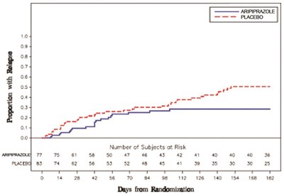
Maintenance Treatment: Maintenance of efficacy in schizophrenia was demonstrated in a trial involving patients with schizophrenia who had been symptomatically stable on other antipsychotic medications for periods of 3 months or longer. These patients were discontinued from those medications and randomized to either aripiprazole 15 mg/day or placebo, and observed for relapse [ see CLINICAL STUDIES ( 14.1) ]. Patients should be periodically reassessed to determine the continued need for maintenance treatment.
Adolescents
The recommended target dose of aripiprazole is 10 mg/day. Aripiprazole was studied in adolescent patients 13 to 17 years of age with schizophrenia at daily doses of 10 mg and 30 mg. The starting daily dose of the tablet formulation in these patients was 2 mg, which was titrated to 5 mg after 2 days and to the target dose of 10 mg after 2 additional days. Subsequent dose increases should be administered in 5 mg increments. The 30 mg/day dose was not shown to be more efficacious than the 10 mg/day dose. Aripiprazole can be administered without regard to meals [ see CLINICAL STUDIES ( 14.1) ]. Patients should be periodically reassessed to determine the need for maintenance treatment.
Switching from Other Antipsychotics
There are no systematically collected data to specifically address switching patients with schizophrenia from other antipsychotics to aripiprazole or concerning concomitant administration with other antipsychotics. While immediate discontinuation of the previous antipsychotic treatment may be acceptable for some patients with schizophrenia, more gradual discontinuation may be most appropriate for others. In all cases, the period of overlapping antipsychotic administration should be minimized.
Additional pediatric use information is approved for Otsuka America Pharmaceutical, Inc.’s ABILIFY ® (aripiprazole) product. However, due to Otsuka America Pharmaceutical, Inc.’s marketing exclusivity rights, this drug product is not labeled with that information.
2.7 Dosage Adjustments For Cytochrome P450 Considerations
Dosage adjustments are recommended in patients who are known CYP2D6 poor metabolizers and in patients taking concomitant CYP3A4 inhibitors or CYP2D6 inhibitors or strong CYP3A4 inducers (see Table 2). When the coadministered drug is withdrawn from the combination therapy, aripiprazole dosage should then be adjusted to its original level. When the coadministered CYP3A4 inducer is withdrawn, aripiprazole dosage should be reduced to the original level over 1 to 2 weeks. Patients who may be receiving a combination of strong, moderate, and weak inhibitors of CYP3A4 and CYP2D6 (e.g., a strong CYP3A4 inhibitor and a moderate CYP2D6 inhibitor or a moderate CYP3A4 inhibitor with a moderate CYP2D6 inhibitor), the dosing may be reduced to one-quarter (25%) of the usual dose initially and then adjusted to achieve a favorable clinical response.
Table 2: Dose Adjustments for aripiprazole in Patients who are known CYP2D6 Poor
Metabolizers and Patients Taking Concomitant CYP2D6 Inhibitors, 3A4 Inhibitors, and/or
CYP3A4 Inducers
Factors | Dosage Adjustments for Aripiprazole Tablets |
Known CYP2D6 Poor Metabolizers | Administer half of usual dose |
Known CYP2D6 Poor Metabolizers taking concomitant strong CYP3A4 inhibitors (e.g., itraconazole, clarithromycin) | Administer a quarter of usual dose |
Strong CYP2D6 (e.g., quinidine, fluoxetine, paroxetine) or CYP3A4 inhibitors (e.g., itraconazole, clarithromycin) | Administer half of usual dose |
Strong CYP2D6 and CYP3A4 inhibitors | Administer a quarter of usual dose |
Strong CYP3A4 inducers (e.g., carbamazepine, rifampin) | Double usual dose over 1 to 2 weeks |
2.8 Dosing Of Oral Solution
The oral solution can be substituted for tablets on a mg-per-mg basis up to the 25 mg dose level. Patients receiving 30 mg tablets should receive 25 mg of the solution [see CLINICAL PHARMACOLOGY (12.3)].
3 Dosage Forms And Strengths
Aripiprazole Tablets, USP are available as described in Table 3.
| Table 3: Aripiprazole Tablets, USP Presentations | ||||
| Tablet Strength | Tablet Color/Shape | Tablet Markings | ||
| 2 mg | green modified rectangle
| "SG 324"
| ||
| 5 mg | blue modified rectangle
| "SG 325"
| ||
| 10 mg | pink modified rectangle
| "SG 326"
| ||
| 15 mg | pink round
| "SG 327"
| ||
| 20 mg | pink round
| "SG 328"
| ||
| 30 mg | pink round
| "SG 329
" | ||
4 Contraindications
Aripiprazole is contraindicated in patients with a history of a hypersensitivity reaction to aripiprazole. Reactions have ranged from pruritus/urticaria to anaphylaxis [ see ADVERSE REACTIONS ( 6.2) ].
5.1 Increased Mortality In Elderly Patients With Dementia-Related Psychosis
Increased Mortality
Elderly patients with dementia-related psychosis treated with antipsychotic drugs are at an increased risk of death. Aripiprazole is not approved for the treatment of patients with dementia-related psychosis [see BOXED WARNING].
Safety Experience in Elderly Patients with Psychosis Associated with Alzheimer’s Disease
In three, 10-week, placebo-controlled studies of aripiprazole in elderly patients with psychosis associated with Alzheimer’s disease (n=938; mean age: 82.4 years; range: 56 to 99 years), the adverse reactions that were reported at an incidence of ≥ 3% and aripiprazole incidence at least twice that for placebo were lethargy [placebo 2%, aripiprazole 5%], somnolence (including sedation) [placebo 3%, aripiprazole 8%], and incontinence (primarily, urinary incontinence) [placebo 1%, aripiprazole 5%], excessive salivation [placebo 0%, aripiprazole 4%], and lightheadedness [placebo 1%, aripiprazole 4%].
The safety and efficacy of aripiprazole in the treatment of patients with psychosis associated with dementia have not been established. If the prescriber elects to treat such patients with aripiprazole, assess for the emergence of difficulty swallowing or excessive somnolence, which could predispose to accidental injury or aspiration [ see BOXED WARNING].
5.2 Cerebrovascular Adverse Events, Including Stroke
In placebo-controlled clinical studies (two flexible dose and one fixed dose study) of dementia-related psychosis, there was an increased incidence of cerebrovascular adverse events (e.g., stroke, transient ischemic attack), including fatalities, in aripiprazole-treated patients (mean age: 84 years; range: 78 to 88 years). In the fixed-dose study, there was a statistically significant dose response relationship for cerebrovascular adverse events in patients treated with aripiprazole. Aripiprazole is not approved for the treatment of patients with dementia-related psychosis [ see BOXED WARNING].
5.3 Suicidal Thoughts And Behaviors In Children, Adolescents, And Young Adults
Patients with major depressive disorder (MDD), both adult and pediatric, may experience worsening of their depression and/or the emergence of suicidal ideation and behavior (suicidality) or unusual changes in behavior, whether or not they are taking antidepressant medications, and this risk may persist until significant remission occurs. Suicide is a known risk of depression and certain other psychiatric disorders, and these disorders themselves are the strongest predictors of suicide. There has been a long- standing concern, however, that antidepressants may have a role in inducing worsening of depression and the emergence of suicidality in certain patients during the early phases of treatment. Pooled analyses of short-term, placebo-controlled trials of antidepressant drugs (SSRIs and others) showed that these drugs increase the risk of suicidal thinking and behavior (suicidality) in children, adolescents, and young adults (ages 18 to 24) with MDD and other psychiatric disorders. Short-term studies did not show an increase in the risk of suicidality with antidepressants compared to placebo in adults beyond age 24; there was a reduction with antidepressants compared to placebo in adults aged 65 and older.
The pooled analyses of placebo-controlled trials in children and adolescents with MDD, Obsessive Compulsive Disorder (OCD), or other psychiatric disorders included a total of 24 short-term trials of 9 antidepressant drugs in over 4400 patients. The pooled analyses of placebo-controlled trials in adults with MDD or other psychiatric disorders included a total of 295 short-term trials (median duration of 2 months) of 11 antidepressant drugs in over 77,000 patients. There was considerable variation in risk of suicidality among drugs, but a tendency toward an increase in the younger patients for almost all drugs studied. There were differences in absolute risk of suicidality across the different indications, with the highest incidence in MDD. The risk differences (drug vs. placebo), however, were relatively stable within age strata and across indications. These risk differences (drug- placebo difference in the number of cases of suicidality per 1000 patients treated) are provided in Table 5.
Age Range | Drug-Placebo Difference in Number of |
Increases Compared to Placebo | |
<18 | 14 additional cases |
18 to 24 | 5 additional cases |
Decreases Compared to Placebo | |
25 to 64 | 1 fewer case |
≥65 | 6 fewer cases |
No suicides occurred in any of the pediatric trials. There were suicides in the adult trials, but the number was not sufficient to reach any conclusion about drug effect on suicide.
It is unknown whether the suicidality risk extends to longer-term use, i.e., beyond several months. However, there is substantial evidence from placebo-controlled maintenance trials in adults with depression that the use of antidepressants can delay the recurrence of depression.
All patients being treated with antidepressants for any indication should be monitored appropriately and observed closely for clinical worsening, suicidality, and unusual changes in behavior, especially during the initial few months of a course of drug therapy, or at times of dose changes, either increases or decreases.
The following symptoms, anxiety, agitation, panic attacks, insomnia, irritability, hostility, aggressiveness, impulsivity, akathisia (psychomotor restlessness), hypomania, and mania, have been reported in adult and pediatric patients being treated with antidepressants for MDD as well as for other indications, both psychiatric and nonpsychiatric. Although a causal link between the emergence of such symptoms and either the worsening of depression and/or the emergence of suicidal impulses has not been established, there is concern that such symptoms may represent precursors to emerging suicidality.
Consideration should be given to changing the therapeutic regimen, including possibly discontinuing the medication, in patients whose depression is persistently worse, or who are experiencing emergent suicidality or symptoms that might be precursors to worsening depression or suicidality, especially if these symptoms are severe, abrupt in onset, or were not part of the patient’s presenting symptoms.
Families and caregivers of patients being treated with antidepressants for major depressive disorder or other indications, both psychiatric and nonpsychiatric, should be alerted about the need to monitor patients for the emergence of agitation, irritability, unusual changes in behavior, and the other symptoms described above, as well as the emergence of suicidality, and to report such symptoms immediately to healthcare providers. Such monitoring should include daily observation by families and caregivers. Prescriptions for aripiprazole should be written for the smallest quantity of tablets consistent with good patient management, in order to reduce the risk of overdose.
Screening Patients for Bipolar Disorder: A major depressive episode may be the initial presentation of bipolar disorder. It is generally believed (though not established in controlled trials) that treating such an episode with an antidepressant alone may increase the likelihood of precipitation of a mixed/manic episode in patients at risk for bipolar disorder. Whether any of the symptoms described above represent such a conversion is unknown. However, prior to initiating treatment with an antidepressant, patients with depressive symptoms should be adequately screened to determine if they are at risk for bipolar disorder; such screening should include a detailed psychiatric history, including a family history of suicide, bipolar disorder, and depression.
It should be noted that aripiprazole is not approved for use in treating depression in the pediatric population.
5.4 Neuroleptic Malignant Syndrome (Nms)
A potentially fatal symptom complex sometimes referred to as Neuroleptic Malignant Syndrome (NMS) may occur with administration of antipsychotic drugs, including aripiprazole. Rare cases of NMS occurred during aripiprazole treatment in the worldwide clinical database. Clinical manifestations of NMS are hyperpyrexia, muscle rigidity, altered mental status, and evidence of autonomic instability (irregular pulse or blood pressure, tachycardia, diaphoresis, and cardiac dysrhythmia). Additional signs may include elevated creatine phosphokinase, myoglobinuria (rhabdomyolysis), and acute renal failure.
The diagnostic evaluation of patients with this syndrome is complicated. In arriving at a diagnosis, it is important to exclude cases where the clinical presentation includes both serious medical illness (eg, pneumonia, systemic infection) and untreated or inadequately treated extrapyramidal signs and symptoms (EPS). Other important considerations in the differential diagnosis include central anticholinergic toxicity, heat stroke, drug fever, and primary central nervous system pathology.
The management of NMS should include: 1) immediate discontinuation of antipsychotic drugs and other drugs not essential to concurrent therapy; 2) intensive symptomatic treatment and medical monitoring; and 3) treatment of any concomitant serious medical problems for which specific treatments are available. There is no general agreement about specific pharmacological treatment regimens for uncomplicated NMS.
If a patient requires antipsychotic drug treatment after recovery from NMS, the potential reintroduction of drug therapy should be carefully considered. The patient should be carefully monitored, since recurrences of NMS have been reported.
5.5 Tardive Dyskinesia
A syndrome of potentially irreversible, involuntary, dyskinetic movements may develop in patients treated with antipsychotic drugs. Although the prevalence of the syndrome appears to be highest among the elderly, especially elderly women, it is impossible to rely upon prevalence estimates to predict, at the inception of antipsychotic treatment, which patients are likely to develop the syndrome. Whether antipsychotic drug products differ in their potential to cause tardive dyskinesia is unknown. A syndrome of potentially irreversible, involuntary, dyskinetic movements may develop in patients treated with antipsychotic drugs. Although the prevalence of the syndrome appears to be highest among the elderly, especially elderly women, it is impossible to rely upon prevalence estimates to predict, at the inception of antipsychotic treatment, which patients are likely to develop the syndrome. Whether antipsychotic drug products differ in their potential to cause tardive dyskinesia is unknown.
The risk of developing tardive dyskinesia and the likelihood that it will become irreversible are believed to increase as the duration of treatment and the total cumulative dose of antipsychotic drugs administered to the patient increase. However, the syndrome can develop, although much less commonly, after relatively brief treatment periods at low doses. The risk of developing tardive dyskinesia and the likelihood that it will become irreversible are believed to increase as the duration of treatment and the total cumulative dose of antipsychotic drugs administered to the patient increase. However, the syndrome can develop, although much less commonly, after relatively brief treatment periods at low doses.
Tardive dyskinesia may remit, partially or completely, if antipsychotic treatment is withdrawn. Antipsychotic treatment, itself, however, may suppress (or partially suppress) the signs and symptoms of the syndrome and, thereby, may possibly mask the underlying process. The effect that symptomatic suppression has upon the long-term course of the syndrome is unknown.
Given these considerations, aripiprazole should be prescribed in a manner that is most likely to minimize the occurrence of tardive dyskinesia. Chronic antipsychotic treatment should generally be reserved for patients who suffer from a chronic illness that (1) is known to respond to antipsychotic drugs and (2) for whom alternative, equally effective, but potentially less harmful treatments are not available or appropriate. In patients who do require chronic treatment, the smallest dose and the shortest duration of treatment producing a satisfactory clinical response should be sought. The need for continued treatment should be reassessed periodically. Given these considerations, aripiprazole should be prescribed in a manner that is most likely to minimize the occurrence of tardive dyskinesia. Chronic antipsychotic treatment should generally be reserved for patients who suffer from a chronic illness that (1) is known to respond to antipsychotic drugs and (2) for whom alternative, equally effective, but potentially less harmful treatments are not available or appropriate. In patients who do require chronic treatment, the smallest dose and the shortest duration of treatment producing a satisfactory clinical response should be sought. The need for continued treatment should be reassessed periodically.
If signs and symptoms of tardive dyskinesia appear in a patient on aripiprazole, drug discontinuation should be considered. However, some patients may require treatment with aripiprazole despite the presence of the syndrome.If signs and symptoms of tardive dyskinesia appear in a patient on aripiprazole, drug discontinuation should be considered. However, some patients may require treatment with aripiprazole despite the presence of the syndrome.
5.6 Metabolic Changes
Atypical antipsychotic drugs have been associated with metabolic changes that include hyperglycemia/diabetes mellitus, dyslipidemia, and body weight gain. While all drugs in the class have been shown to produce some metabolic changes, each drug has its own specific risk profile.
Hyperglycemia/Diabetes Mellitus
Hyperglycemia, in some cases extreme and associated with ketoacidosis or hyperosmolar coma or death, has been reported in patients treated with atypical antipsychotics. There have been reports of hyperglycemia in patients treated with aripiprazole [ see ADVERSE REACTIONS ( 6.1, 6.2) ]. Assessment of the relationship between atypical antipsychotic use and glucose abnormalities is complicated by the possibility of an increased background risk of diabetes mellitus in patients with schizophrenia and the increasing incidence of diabetes mellitus in the general population. Given these confounders, the relationship between atypical antipsychotic use and hyperglycemia-related adverse events is not completely understood. However, epidemiological studies suggest an increased risk of hyperglycemia-related adverse reactions in patients treated with the atypical antipsychotics. Because aripiprazole was not marketed at the time these studies were performed, it is not known if aripiprazole is associated with this increased risk. Precise risk estimates for hyperglycemia-related adverse reactions in patients treated with atypical antipsychotics are not available.
Patients with an established diagnosis of diabetes mellitus who are started on atypical antipsychotics should be monitored regularly for worsening of glucose control. Patients with risk factors for diabetes mellitus (eg, obesity, family history of diabetes) who are starting treatment with atypical antipsychotics should undergo fasting blood glucose testing at the beginning of treatment and periodically during treatment. Any patient treated with atypical antipsychotics should be monitored for symptoms of hyperglycemia including polydipsia, polyuria, polyphagia, and weakness. Patients who develop symptoms of hyperglycemia during treatment with atypical antipsychotics should undergo fasting blood glucose testing. In some cases, hyperglycemia has resolved when the atypical antipsychotic was discontinued; however, some patients required continuation of anti-diabetic treatment despite discontinuation of the suspect drug.
Adults
In an analysis of 13 placebo-controlled monotherapy trials in adults, primarily with schizophrenia or another disorder, the mean change in fasting glucose in aripiprazole-treated patients (+4.4 mg/dL; median exposure 25 days; N=1057) was not significantly different than in placebo-treated patients (+2.5 mg/dL; median exposure 22 days; N=799). Table 6 shows the proportion of aripiprazole-treated patients with normal and borderline fasting glucose at baseline (median exposure 25 days) that had treatment-emergent high fasting glucose measurements compared to placebo-treated patients (median exposure 22 days).
| Table 6: Changes in Fasting Glucose From Placebo-Controlled Monotherapy Trials in Adult Patients | ||||
| Category Change (at least once) from Baseline | Treatment Arm | n/N | % | |
| Fasting
Glucose | Normal to High
(<100 mg/dL to ≥126 mg/dL) | Aripiprazole
Placebo | 31/822
22/605 | 3.8
3.6 |
| Borderline to High
(≥100 mg/dL and <126 mg/dL to ≥ 126 mg/dL) | Aripiprazole
Placebo | 31/176
13/142 | 17.6
9.2 | |
At 24 weeks, the mean change in fasting glucose in aripiprazole-treated patients was not significantly different than in placebo-treated patients [+2.2 mg/dL (n=42) and +9.6 mg/dL (n=28), respectively].
Pediatric Patients and Adolescents
In an analysis of two placebo-controlled trials in adolescents with schizophrenia (13 to 17 years) and pediatric patients with another disorder (10 to 17 years), the mean change in fasting glucose in aripiprazole-treated patients (+4.8 mg/dL; with a median exposure of 43 days; N=259) was not significantly different than in placebo-treated patients (+1.7 mg/dL; with a median exposure of 42 days; N=123).
Table 8 shows the proportion of patients with changes in fasting glucose levels from the pooled adolescent schizophrenia and other pediatric patients (median exposure of 42 to 43 days).
| Table 8: Changes in Fasting Glucose From Placebo-Controlled Trials in Pediatric and Adolescent Patients | ||||
| Category Change (at least once)
from Baseline | Indication | Treatment Arm | n/N | % |
| Fasting Glucose Normal to High (<100 mg/dL to ≥ 126 mg/dL) | Pooled
Schizophrenia and another Disorder | Aripiprazole
Placebo | 2/236
2/110 | 0.8
1.8 |
| Fasting Glucose Borderline to High (≥100 mg/dL and <126 mg/dL to ≥ 126 mg/dL) | Pooled
Schizophrenia and another Disorder | Aripiprazole
Placebo | 1/22
0/12 | 4.5
0 |
At 12 weeks in the pooled adolescent schizophrenia and another disorder trials, the mean change in fasting glucose in aripiprazole-treated patients was not significantly different than in placebo-treated patients [+2.4 mg/dL (n=81) and +0.1 mg/dL (n=15), respectively].
Dyslipidemia
Undesirable alterations in lipids have been observed in patients treated with atypical antipsychotics.
There were no significant differences between aripiprazole-and placebo-treated patients in the proportion with changes from normal to clinically significant levels for fasting/nonfasting total cholesterol, fasting triglycerides, fasting LDLs, and fasting/nonfasting HDLs. Analyses of patients with at least 12 or 24 weeks of exposure were limited by small numbers of patients.
Adults
Table 9 shows the proportion of adult patients, primarily from pooled schizophrenia and another disorder monotherapy placebo-controlled trials, with changes in total cholesterol (pooled from 17 trials; median exposure 21 to 25 days), fasting triglycerides (pooled from eight trials; median exposure 42 days), fasting LDL cholesterol (pooled from eight trials; median exposure 39 to 45 days, except for placebo-treated patients with baseline normal fasting LDL measurements, who had median treatment exposure of 24 days) and HDL cholesterol (pooled from nine trials; median exposure 40 to 42 days).
| Table 9: Changes in Blood Lipid Parameters From Placebo-Controlled Monotherapy Trials in Adults | ||||
| Treatment
Arm | n/N | % | ||
| Total Cholesterol Normal to High (<200 mg/dL to ≥ 240 mg/dL) | Aripiprazole
Placebo | 34/1,357
27/973 | 2.5
2.8 | |
| Fasting Triglycerides Normal to High (<150 mg/dL to ≥ 200 mg/dL) | Aripiprazole
Placebo | 40/539
30/431 | 7.4
7.0 | |
| Fasting LDL Cholesterol Normal to High (<100 mg/dL to ≥ 160 mg/dL) | Aripiprazole
Placebo | 2/332
2/268 | 0.6
0.7 | |
| HDL Cholesterol Normal to Low (≥40 mg/dL to<40 mg/dL) | Aripiprazole
Placebo | 121/1,066
99/794 | 11.4
12.5 | |
In monotherapy trials in adults, the proportion of patients at 12 weeks and 24 weeks with changes from Normal to High in total cholesterol (fasting/nonfasting), fasting triglycerides, and fasting LDL cholesterol were similar between aripiprazole- and placebo-treated patients: at 12 weeks, Total Cholesterol (fasting/nonfasting), 1/71 (1.4%) vs. 3/74 (4.1%); Fasting Triglycerides, 8/62 (12.9%) vs. 5/37 (13.5%); Fasting LDL Cholesterol, 0/34 (0%) vs. 1/25 (4.0%), respectively; and at 24 weeks, Total Cholesterol (fasting/nonfasting), 1/42 (2.4%) vs. 3/37 (8.1%); Fasting Triglycerides, 5/34 (14.7%) vs. 5/20 (25%); Fasting LDL Cholesterol, 0/22 (0%) vs. 1/18 (5.6%), respectively.
Pediatric Patients and Adolescents
Table 11 shows the proportion of adolescents with schizophrenia (13 to 17 years) and pediatric patients with another disorder (10 to 17 years) with changes in total cholesterol and HDL cholesterol (pooled from two placebo-controlled trials; median exposure 42 to 43 days) and fasting triglycerides (pooled from two placebo-controlled trials; median exposure 42 to 44 days).
| Table 11: Changes in Blood Lipid Parameters From Placebo-Controlled Monotherapy Trials in Pediatric and Adolescent Patients in Schizophrenia and Another Disorder | |||
| Treatment
Arm | n/N | % | |
| Total Cholesterol Normal to High (<170 mg/dL to ≥200 mg/dL) | Aripiprazole
Placebo | 3/220
0/116 | 1.4
0 |
| Fasting Triglycerides Normal to High (<150 mg/dL to ≥200 mg/dL) | Aripiprazole
Placebo | 7/187
4/85 | 3.7
4.7 |
| HDL Cholesterol Normal to Low (≥40 mg/dL to <40 mg/dL) | Aripiprazole
Placebo | 27/236
22/109 | 11.4
20.2 |
In monotherapy trials of adolescents with schizophrenia and pediatric patients with another disorder, the proportion of patients at 12 weeks and 24 weeks with changes from Normal to High in total cholesterol (fasting/nonfasting), fasting triglycerides, and fasting LDL cholesterol were similar between aripiprazole- and placebo-treated patients: at 12 weeks, Total Cholesterol (fasting/nonfasting), 0/57 (0%) vs. 0/15 (0%); Fasting Triglycerides, 2/72 (2.8%) vs. 1/14 (7.1%), respectively; and at 24 weeks, Total Cholesterol (fasting/nonfasting), 0/36 (0%) vs. 0/12 (0%); Fasting Triglycerides, 1/47 (2.1%) vs. 1/10 (10.0%), respectively.
Weight Gain
Weight gain has been observed with atypical antipsychotic use. Clinical monitoring of weight is recommended.
Adults
In an analysis of 13 placebo-controlled monotherapy trials, primarily from pooled schizophrenia and another disorder, with a median exposure of 21 to 25 days, the mean change in body weight in aripiprazole-treated patients was +0.3 kg (N=1673) compared to –0.1 kg (N=1100) in placebo-controlled patients. At 24 weeks, the mean change from baseline in body weight in aripiprazole-treated patients was –1.5 kg (n=73) compared to –0.2 kg (n=46) in placebo-treated patients.
Table 14 shows the percentage of adult patients with weight gain ≥ 7% of body weight by indication.
| Table 14: Percentage of Patients From Placebo-Controlled Trials in Adult Patients with Weight Gain ≥
7% of Body Weight | ||||
| Indication | Treatment Arm | N | Patients
n (%) | |
| Weight gain ≥ 7% of
body weight | Schizophrenia
* | Aripiprazole
Placebo | 852
379 | 69 (8.1)
12 (3.2) |
| Another Disorder
† | Aripiprazole
Placebo | 719
598 | 16 (2.2)
16 (2.7) | |
| * 4 to 6 weeks duration.
† 3 weeks duration.
| ||||
Pediatric Patients and Adolescents
In an analysis of two placebo-controlled trials in adolescents with schizophrenia (13 to 17 years) and pediatric patients with another disorder (10 to 17 years) with median exposure of 42 to 43 days, the mean change in body weight in aripiprazole-treated patients was +1.6 kg (N=381) compared to +0.3 kg (N=187) in placebo-treated patients. At 24 weeks, the mean change from baseline in body weight in aripiprazole-treated patients was +5.8 kg (n=62) compared to +1.4 kg (n=13) in placebo-treated patients.
Table 15 shows the percentage of pediatric and adolescent patients with weight gain ≥7% of body weight by indication.
| Table 15: Percentage of Patients From Placebo-Controlled Monotherapy Trials in Pediatric and Adolescent Patients with Weight Gain ≥
7% of Body Weight | ||||
| Indication | Treatment Arm | N | Patients n (%) | |
| Weight gain ≥ 7% of
body weight | Pooled Schizophrenia
and Another Disorder * | Aripiprazole
Placebo | 381
187 | 20 (5.2)
3 (1.6) |
| * 4 to 6 weeks duration.
| ||||
In an open-label trial that enrolled patients from the two placebo-controlled trials of adolescents with schizophrenia (13 to 17 years) and pediatric patients with another disorder (10 to 17 years), 73.2% of patients (238/325) completed 26 weeks of therapy with aripiprazole. After 26 weeks, 32.8% of patients gained ≥7% of their body weight, not adjusted for normal growth. To adjust for normal growth, z-scores were derived (measured in standard deviations [SD]), which normalize for the natural growth of pediatric patients and adolescents by comparisons to age-and gender-matched population standards. A z-score change <0.5 SD is considered not clinically significant. After 26 weeks, the mean change in z-score was 0.09 SD.
When treating pediatric patients for any indication, weight gain should be monitored and assessed against that expected for normal growth.
Additional pediatric use information is approved for Otsuka America Pharmaceutical, Inc.’s ABILIFY ® (aripiprazole) product. However, due to Otsuka America Pharmaceutical, Inc.’s marketing exclusivity rights, this drug product is not labeled with that information.
5.7 Pathological Gambling And Other Compulsive Behaviors
Post-marketing case reports suggest that patients can experience intense urges, particularly for gambling, and the inability to control these urges while taking aripiprazole. Other compulsive urges, reported less frequently include: sexual urges, shopping, eating or binge eating, and other impulsive or compulsive behaviors. Because patients may not recognize these behaviors as abnormal, it is important for prescribers to ask patients or their caregivers specifically about the development of new or intense gambling urges, compulsive sexual urges, compulsive shopping, binge or compulsive eating, or other urges while being treated with aripiprazole. It should be noted that impulse-control symptoms can be associated with the underlying disorder. In some cases, although not all, urges were reported to have stopped when the dose was reduced or the medication was discontinued. Compulsive behaviors may result in harm to the patient and others if not recognized. Consider dose reduction or stopping the medication if a patient develops such urges.
5.8 Orthostatic Hypotension
Aripiprazole may cause orthostatic hypotension, perhaps due to its α1-adrenergic receptor antagonism. The incidence of orthostatic hypotension-associated events from short-term, placebo-controlled trials of adult patients on oral aripiprazole (n=2467) included (aripiprazole incidence, placebo incidence) orthostatic hypotension (1%, 0.3%), postural dizziness (0.5%, 0.3%), and syncope (0.5%, 0.4%); of pediatric patients 6 to 18 years of age (n=732) on oral aripiprazole included orthostatic hypotension (0.5%, 0%), postural dizziness (0.4%, 0%), and syncope (0.2%, 0%);[ see ADVERSE REACTIONS ( 6.1) ].
The incidence of a significant orthostatic change in blood pressure (defined as a decrease in systolic blood pressure ≥20 mmHg accompanied by an increase in heart rate ≥25 bpm when comparing standing to supine values) for aripiprazole was not meaningfully different from placebo (aripiprazole incidence, placebo incidence): in adult oral aripiprazole-treated patients (4%, 2%), in pediatric oral aripiprazole-treated patients aged 6 to 18 years (0.4%, 1%).
Aripiprazole should be used with caution in patients with known cardiovascular disease (history of myocardial infarction or ischemic heart disease, heart failure or conduction abnormalities), cerebrovascular disease, or conditions which would predispose patients to hypotension (dehydration, hypovolemia, and treatment with antihypertensive medications) [ see DRUG INTERACTIONS ( 7.1)].
5.9 Falls
Antipsychotics, including Aripiprazole, may cause somnolence, postural hypotension, motor and sensory instability, which may lead to falls and, consequently, fractures or other injuries. For patients with diseases, conditions, or medications that could exacerbate these effects, complete fall risk assessments when initiating antipsychotic treatment and recurrently for patients on long-term antipsychotic therapy.
5.10 Leukopenia, Neutropenia, And Agranulocytosis
In clinical trials and or postmarketing experience, events of leukopenia/neutropenia have been reported temporally related to antipsychotic agents, including aripiprazole. Agranulocytosis has also been reported.
Possible risk factors for leukopenia/neutropenia include pre-existing low white blood cell count (WBC)/absolute neutrophil count (ANC) and history of drug-induced leukopenia/neutropenia. In Patients with a history of a clinically significant low WBC/ANC or drug-induced leukopenia/neutropenia, perform a complete blood count (CBC) frequently during the first few months of therapy. In such patients, consider discontinuation of aripiprazole at the first sign of a clinically significant decline in WBC in the absence of other causative factors.
Monitor patients with clinically significant neutropenia for fever or other symptoms or signs of infection and treat promptly if such symptoms or signs occur. Discontinue aripiprazole in patients with severe neutropenia (absolute neutrophil count <1000/mm 3) and follow their WBC counts until recovery.
5.11 Seizures/Convulsions
In short-term, placebo-controlled trials, patients with a history of seizures excluded seizures/convulsions occurred in 0.1% (3/2467) of undiagnosed adult patients treated with oral aripiprazole, in 0.1% (1/732) of pediatric patients (6 to 18 years).
As with other antipsychotic drugs, aripiprazole should be used cautiously in patients with a history of seizures or with conditions that lower the seizure threshold. Conditions that lower the seizure threshold may be more prevalent in a population of 65 years or older.
5.12 Potential For Cognitive And Motor Impairment
Aripiprazole, like other antipsychotics, may have the potential to impair judgment, thinking, or motor skills. For example, in short-term, placebo-controlled trials, somnolence (including sedation) was reported as follows (aripiprazole incidence, placebo incidence): in adult patients (n=2467) treated with oral aripiprazole (11%, 6%), in pediatric patients ages 6 to 17 (n=611) (24%, 6%). Somnolence (including sedation) led to discontinuation in 0.3% (8/2467) of adult patients and 3% (20/732) of pediatric patients (6 to 18 years) on oral aripiprazole in short-term, placebo-controlled trials.
Despite the relatively modest increased incidence of these events compared to placebo, patients should be cautioned about operating hazardous machinery, including automobiles, until they are reasonably certain that therapy with aripiprazole does not affect them adversely.
5.13 Body Temperature Regulation
Disruption of the body’s ability to reduce core body temperature has been attributed to antipsychotic agents. Appropriate care is advised when prescribing aripiprazole for patients who will be experiencing conditions which may contribute to an elevation in core body temperature, (e.g., exercising strenuously, exposure to extreme heat, receiving concomitant medication with anticholinergic activity, or being subject to dehydration) [ see ADVERSE REACTIONS ( 6.2) ].
5.14 Suicide
The possibility of a suicide attempt is inherent in psychotic illnesses and bipolar disorder, and close supervision of high-risk patients should accompany drug therapy. Prescriptions for aripiprazole should be written for the smallest quantity consistent with good patient management in order to reduce the risk of overdose [ see ADVERSE REACTIONS ( 6.1, 6.2) ].
5.15 Dysphagia
Esophageal dysmotility and aspiration have been associated with antipsychotic drug use, including aripiprazole. Aspiration pneumonia is a common cause of morbidity and mortality in elderly patients, in particular those with advanced Alzheimer’s dementia. Aripiprazole and other antipsychotic drugs should be used cautiously in patients at risk for aspiration pneumonia [ see WARNINGS AND PRECAUTIONS ( 5.1) and ADVERSE REACTIONS ( 6.2) ].
6 Adverse Reactions
Because clinical trials are conducted under widely varying conditions, adverse reaction rates observed in the clinical trials of a drug cannot be directly compared to rates in the clinical trials of another drug and may not reflect the rates observed in practice.
The following adverse reactions are discussed in more detail in other sections of the labeling:
- Increased Mortality in Elderly Patients with Dementia-Related Psychosis [ see BOXED WARNING and WARNINGS AND PRECAUTIONS ( 5.1) ]
- Cerebrovascular Adverse Events, Including Stroke [ see WARNINGS AND PRECAUTIONS ( 5.2) ]
- Suicidal Thoughts and Behaviors in Children, Adolescents, and Young Adults [see BOXED WARNING and WARNINGS AND PRECAUTIONS (5.3)]
- Neuroleptic Malignant Syndrome (NMS) [ see WARNINGS AND PRECAUTIONS ( 5.4) ]
- Tardive Dyskinesia [ see WARNINGS AND PRECAUTIONS ( 5.5) ]
- Metabolic Changes [ see WARNINGS AND PRECAUTIONS ( 5.6) ]
- Pathological Gambling and Other Compulsive Behaviors [see WARNINGS AND PRECAUTIONS ( 5.7) ]
- Orthostatic Hypotension [ see WARNINGS AND PRECAUTIONS ( 5.8) ]
- Falls [ see WARNINGS AND PRECAUTIONS ( 5.9) ]
- Leukopenia, Neutropenia, and Agranulocytosis [ see WARNINGS AND PRECAUTIONS ( 5.10) ]
- Seizures/Convulsions [ see WARNINGS AND PRECAUTIONS ( 5.11) ]
- Potential for Cognitive and Motor Impairment [ see WARNINGS AND PRECAUTIONS ( 5.12) ]
- Body Temperature Regulation [ see WARNINGS AND PRECAUTIONS ( 5.13) ]
- Suicide [ see WARNINGS AND PRECAUTIONS ( 5.14) ]
- Dysphagia [
see WARNINGS AND PRECAUTIONS (
5.15)
]
The most common adverse reactions in adult patients in clinical trials (≥10%) were nausea, vomiting, constipation, headache, dizziness, akathisia, anxiety, insomnia, and restlessness.
The most common adverse reactions in the pediatric clinical trials (≥10%) were somnolence, headache, vomiting, extrapyramidal disorder, fatigue, increased appetite, insomnia, nausea, nasopharyngitis, and weight increased.
Aripiprazole has been evaluated for safety in 13,543 adult patients who participated in multiple-dose, clinical trials in schizophrenia, other indications, Dementia of the Alzheimer’s type, Parkinson’s disease, and alcoholism, and who had approximately 7619 patient-years of exposure to oral aripiprazole. A total of 3390 patients were treated with oral aripiprazole for at least 180 days and 1933 patients treated with oral aripiprazole had at least 1 year of exposure.
Aripiprazole has been evaluated for safety in 1,686 patients (6 to 18 years) who participated in multiple-dose, clinical trials in schizophrenia, or other indications and who had approximately 1,342 patient-years of exposure to oral aripiprazole. A total of 959 pediatric patients were treated with oral aripiprazole for at least 180 days and 556 pediatric patients treated with oral aripiprazole had at least 1 year of exposure.
The conditions and duration of treatment with aripiprazole included (in overlapping categories) double-blind, comparative and noncomparative open-label studies, inpatient and outpatient studies, fixed- and flexible-dose studies, and short- and longer-term exposure.
Additional pediatric use information is approved for Otsuka America Pharmaceutical, Inc.’s ABILIFY ® (aripiprazole) product. However, due to Otsuka America Pharmaceutical, Inc.’s marketing exclusivity rights, this drug product is not labeled with that information.
6.1 Clinical Trials Experience
Adult Patients with Schizophrenia
The following findings are based on a pool of five placebo-controlled trials (four 4-week and one 6-week) in which oral aripiprazole was administered in doses ranging from 2 mg/day to 30 mg/day.
Commonly Observed Adverse Reactions
The only commonly observed adverse reaction associated with the use of aripiprazole in patients with schizophrenia (incidence of 5% or greater and aripiprazole incidence at least twice that for placebo) was akathisia (aripiprazole 8%; placebo 4%).
Less Common Adverse Reactions in Adults
Table 17 enumerates the pooled incidence, rounded to the nearest percent, of adverse reactions that occurred during acute therapy (up to 6 weeks in schizophrenia and up to 3 weeks in another indication), including only those reactions that occurred in 2% or more of patients treated with aripiprazole (doses ≥2 mg/day) and for which the incidence in patients treated with aripiprazole was greater than the incidence in patients treated with placebo in the combined dataset.
| Table 17: Adverse Reactions in Short-Term, Placebo-Controlled Trials in Adult Patients Treated with Oral Aripiprazole | ||
| System Organ Class Preferred Term | Percentage of Patients Reporting Reaction
* | |
| Aripiprazole
(n=1843) | Placebo
(n=1166) | |
| Eye Disorders | ||
| Blurred Vision
| 3
| 1
|
| Gastrointestinal Disorders | ||
| Nausea
| 15
| 11
|
| Constipation
| 11
| 7
|
| Vomiting
| 11
| 6
|
| Dyspepsia
| 9
| 7
|
| Dry Mouth
| 5
| 4
|
| Toothache
| 4
| 3
|
| Abdominal Discomfort
| 3
| 2
|
| Stomach Discomfort
| 3
| 2
|
| General Disorders and Administration Site Conditions | ||
| Fatigue
| 6
| 4
|
| Pain
| 3
| 2
|
| Musculoskeletal and Connective Tissue Disorders | ||
| Musculoskeletal Stiffness
| 4
| 3
|
| Pain in Extremity
| 4
| 2
|
| Myalgia
| 2
| 1
|
| Muscle Spasms
| 2
| 1
|
| Nervous System Disorders | ||
| Headache
| 27
| 23
|
| Dizziness
| 10
| 7
|
| Akathisia
| 10
| 4
|
| Sedation
| 7
| 4
|
| Extrapyramidal Disorder
| 5
| 3
|
| Tremor
| 5
| 3
|
| Somnolence
| 5
| 3
|
| Psychiatric Disorders | ||
| Agitation
| 19
| 17
|
| Insomnia
| 18
| 13
|
| Anxiety
| 17
| 13
|
| Restlessness
| 5
| 3
|
| Respiratory, Thoracic, and Mediastinal Disorders | ||
| Pharyngolaryngeal Pain
| 3
| 2
|
| Cough
| 3
| 2
|
| * Adverse reactions reported by at least 2% of patients treated with oral aripiprazole, except adverse reactions which had an incidence equal to or less than placebo.
| ||
An examination of population subgroups did not reveal any clear evidence of differential adverse reaction incidence on the basis of age, gender, or race.
Pediatric Patients (13 to 17 years) with Schizophrenia
The following findings are based on one 6-week, placebo-controlled trial in which oral aripiprazole was administered in doses ranging from 2 mg/day to 30 mg/day.
Adverse Reactions Associated with Discontinuation of Treatment
The incidence of discontinuation due to adverse reactions between aripiprazole-treated and placebo-treated pediatric patients (13 to 17 years) was 5% and 2%, respectively.
Commonly Observed Adverse Reactions
Commonly observed adverse reactions associated with the use of aripiprazole in adolescent patients with schizophrenia (incidence of 5% or greater and aripiprazole incidence at least twice that for placebo) were extrapyramidal disorder, somnolence, and tremor.
Less Common Adverse Reactions in Pediatric Patients (6 to 18 years) with Schizophrenia, or Other Indications
Table 22 enumerates the pooled incidence, rounded to the nearest percent, of adverse reactions that occurred during acute therapy (up to 6 weeks in schizophrenia and up to 4 weeks in one indication, up to 8 weeks in another indication, and up to 10 weeks in another indication), including only those reactions that occurred in 2% or more of pediatric patients treated with aripiprazole (doses ≥2 mg/day) and for which the incidence in patients treated with aripiprazole was greater than the incidence in patients treated with placebo.
Table 22: Adverse Reactions in Short-Term, Placebo-Controlled Trials of Pediatric Patients
(6 to 18 years) Treated with Oral Aripiprazole
| Percentage of Patients Reporting Reaction
* | ||
| System Organ Class Preferred Term
| Aripiprazole (n=732)
| Placebo (n=370) |
| Eye Disorders
| ||
| Blurred Vision
| 3
| 0
|
| Gastrointestinal Disorders
| ||
| Abdominal Discomfort
| 2
| 1
|
| Vomiting
| 8
| 7
|
| Nausea
| 8
| 4
|
| Diarrhea
| 4
| 3
|
| Salivary Hypersecretion
| 4
| 1
|
| Abdominal Pain Upper
| 3
| 2
|
| Constipation
| 2
| 2
|
| General Disorders and Administration
Site Conditions | ||
| Fatigue
| 10
| 2
|
| Pyrexia
| 4
| 1
|
| Irritability
| 2
| 1
|
| Asthenia
| 2
| 1
|
| Infections and Infestations
| ||
| Nasopharyngitis
| 6
| 3
|
| Investigations
| ||
| Weight Increased
| 3
| 1
|
| Metabolism and Nutrition Disorders | ||
| Increased Appetite
| 7
| 3
|
| Decreased Appetite
| 5
| 4
|
| Musculoskeletal and Connective
Tissue Disorders | ||
| Musculoskeletal Stiffness
| 2
| 1
|
| Muscle Rigidity
| 2
| 1
|
| Nervous System Disorders
| ||
| Somnolence
| 16
| 4
|
| Headache
| 12
| 10
|
| Sedation
| 9
| 2
|
| Tremor
| 9
| 1
|
| Extrapyramidal Disorder
| 6
| 1
|
| Akathisia
| 6
| 4
|
| Drooling
| 3
| 0
|
| Lethargy
| 3
| 0
|
| Dizziness
| 3
| 2
|
| Dystonia
| 2
| 1
|
| Respiratory, Thoracic, and
Mediastinal Disorders | ||
| Epistaxis
| 2
| 1
|
| Skin and Subcutaneous Tissue Disorders
| ||
| Rash
| 2
| 1
|
| *Adverse reactions reported by at least 2% of pediatric patients treated with oral aripiprazole, except adverse reactions which had an incidence equal to or less than placebo.
| ||
Dose-Related Adverse Reactions
Schizophrenia
Dose response relationships for the incidence of treatment-emergent adverse events were evaluated from four trials in adult patients with schizophrenia comparing various fixed doses (2 mg/day, 5 mg/day, 10 mg/day, 15 mg/day, 20 mg/day, and 30 mg/day) of oral aripiprazole to placebo. This analysis, stratified by study, indicated that the only adverse reaction to have a possible dose response relationship, and then most prominent only with 30 mg, was somnolence [including sedation]; (incidences were placebo, 7.1%; 10 mg, 8.5%; 15 mg, 8.7%; 20 mg, 7.5%; 30 mg, 12.6%).
In the study of pediatric patients (13 to 17 years of age) with schizophrenia, three common adverse reactions appeared to have a possible dose response relationship: extrapyramidal disorder (incidences were placebo, 5.0%; 10 mg, 13.0%; 30 mg, 21.6%); somnolence (incidences were placebo, 6.0%; 10 mg, 11.0%; 30 mg, 21.6%); and tremor (incidences were placebo, 2.0%; 10 mg, 2.0%; 30 mg, 11.8%).
Extrapyramidal Symptoms
Schizophrenia
In short-term, placebo-controlled trials in schizophrenia in adults, the incidence of reported EPS-related events, excluding events related to akathisia, for aripiprazole-treated patients was 13% vs. 12% for placebo; and the incidence of akathisia-related events for aripiprazole-treated patients was 8% vs. 4% for placebo. In the short-term, placebo-controlled trial of schizophrenia in pediatric patients (13 to 17 years), the incidence of reported EPS-related events, excluding events related to akathisia, for aripiprazole-treated patients was 25% vs. 7% for placebo; and the incidence of akathisia-related events for aripiprazole-treated patients was 9% vs. 6% for placebo.
Objectively collected data from those trials was collected on the Simpson Angus Rating Scale (for EPS), the Barnes Akathisia Scale (for akathisia), and the Assessments of Involuntary Movement Scales (for dyskinesias). In the adult schizophrenia trials, the objectively collected data did not show a difference between aripiprazole and placebo, with the exception of the Barnes Akathisia Scale (aripiprazole, 0.08; placebo, –0.05). In the pediatric (13 to 17 years) schizophrenia trial, the objectively collected data did not show a difference between aripiprazole and placebo, with the exception of the Simpson Angus Rating Scale (aripiprazole, 0.24; placebo, –0.29).
Similarly, in a long-term (26-week), placebo-controlled trial of schizophrenia in adults, objectively collected data on the Simpson Angus Rating Scale (for EPS), the Barnes Akathisia Scale (for akathisia), and the Assessments of Involuntary Movement Scales (for dyskinesias) did not show a difference between aripiprazole and placebo.
Dystonia
Symptoms of dystonia, prolonged abnormal contractions of muscle groups, may occur in susceptible individuals during the first few days of treatment. Dystonic symptoms include: spasm of the neck muscles, sometimes progressing to tightness of the throat, swallowing difficulty, difficulty breathing, and/or protrusion of the tongue. While these symptoms can occur at low doses, they occur more frequently and with greater severity with high potency and at higher doses of first generation antipsychotic drugs. An elevated risk of acute dystonia is observed in males and younger age groups.
Additional Findings Observed in Clinical Trials
Adverse Reactions in Long-Term, Double-Blind, Placebo-Controlled Trials
The adverse reactions reported in a 26-week, double-blind trial comparing oral aripiprazole and placebo in patients with schizophrenia were generally consistent with those reported in the short-term, placebo-controlled trials, except for a higher incidence of tremor [8% (12/153) for aripiprazole vs. 2% (3/153) for placebo]. In this study, the majority of the cases of tremor were of mild intensity (8/12 mild and 4/12 moderate), occurred early in therapy (9/12 ≤49 days), and were of limited duration (7/12 ≤10 days). Tremor infrequently led to discontinuation (<1%) of aripiprazole. In addition, in a long-term (52-week), active-controlled study, the incidence of tremor was 5% (40/859) for aripiprazole. A similar profile was observed in a long-term monotherapy study and a long-term adjunctive study with lithium and valproate in bipolar disorder.
Other Adverse Reactions Observed During the Premarketing Evaluation of Aripiprazole
The following listing does not include reactions:
1) already listed in previous tables or elsewhere in labeling,
2) for which a drug cause was remote,
3) which were so general as to be uninformative,
4) which were not considered to have significant clinical implications, or
5) which occurred at a rate equal to or less than placebo.
Reactions are categorized by body system according to the following definitions:
frequent adverse reactions are those occurring in at least 1/100 patients;
infrequent adverse reactions are those occurring in 1/100 to 1/1,000 patients;
rare reactions are those occurring in fewer than 1/1,000 patients:
Adults - Oral Administration
Blood and Lymphatic System Disorders:
rare - thrombocytopenia
Cardiac Disorders:
infrequent – bradycardia, palpitations, rare – atrial flutter, cardio-respiratory arrest, atrioventricular block, atrial fibrillation, angina pectoris, myocardial ischemia, myocardial infarction, cardiopulmonary failure
Eye Disorders:
infrequent – photophobia; rare - diplopia
Gastrointestinal Disorders:
infrequent - gastroesophageal reflux disease
General Disorders and Administration Site Conditions:
frequent - asthenia; infrequent – peripheral edema, chest pain; rare – face edema
Hepatobiliary Disorders:
rare - hepatitis, jaundice
Immune System Disorders:
rare- hypersensitivity
Injury, Poisoning, and Procedural Complications:
infrequent – fall; rare – heat stroke
Investigations:
frequent - weight decreased, infrequent - hepatic enzyme increased, blood glucose increased, blood lactate dehydrogenase increased, gamma glutamyl transferase increased; rare – blood prolactin increased, blood urea increased, blood creatinine increased, blood bilirubin increased, electrocardiogram QT prolonged, glycosylated hemoglobin increased
Metabolism and Nutrition Disorders:
frequent – anorexia; infrequent - rare - hypokalemia, hyponatremia, hypoglycemia
Musculoskeletal and Connective Tissue Disorders:
infrequent - muscular weakness, muscle tightness; rare – rhabdomyolysis, mobility decreased
Nervous System Disorders:
infrequent - parkinsonism, memory impairment, cogwheel rigidity, hypokinesia, bradykinesia; rare – akinesia, myoclonus, coordination abnormal, speech disorder, Grand Mal convulsion; <1/10,000 patients - choreoathetosis
Psychiatric Disorders:
infrequent – aggression, loss of libido, delirium; rare – libido increased, anorgasmia, tic, homicidal ideation, catatonia, sleep walking
Renal and Urinary Disorders:
rare - urinary retention, nocturia
Reproductive System and Breast Disorders:
infrequent - erectile dysfunction; rare – gynaecomastia, menstruation irregular, amenorrhea, breast pain, priapism
Respiratory, Thoracic, and Mediastinal Disorders:
infrequent - nasal congestion, dyspnea
Skin and Subcutaneous Tissue Disorders:
infrequent - rash, hyperhidrosis, pruritus, photosensitivity reaction, alopecia; rare - urticaria
Vascular Disorders:
infrequent – hypotension, hypertension
Pediatric Patients - Oral Administration
Most adverse events observed in the pooled database of 1,686 pediatric patients, aged 6 to 18 years, were also observed in the adult population. Additional adverse reactions observed in the pediatric population are listed below.
Eye Disorders:
infrequent - oculogyric crisis
Gastrointestinal Disorders:
infrequent -tongue dry, tongue spasm
Investigations:
frequent - blood insulin increased
Nervous System Disorders:
infrequent - sleep talking
Renal and Urinary Disorders:
frequent – enuresis
Skin and Subcutaneous Tissue Disorders:
infrequent – hirsutism
Additional pediatric use information is approved for Otsuka America Pharmaceutical, Inc.’s ABILIFY® (aripiprazole) product. However, due to Otsuka America Pharmaceutical, Inc.’s marketing exclusivity rights, this drug product is not labeled with that information.
6.2 Postmarketing Experience
The following adverse reactions have been identified during post-approval use of aripiprazole. Because these reactions are reported voluntarily from a population of uncertain size, it is not always possible to establish a causal relationship to drug exposure: occurrences of allergic reaction (anaphylactic reaction, angioedema, laryngospasm, pruritus/urticaria, or oropharyngeal spasm), pathological gambling, hiccups and blood glucose fluctuation, oculogyric crisis, and drug reaction with eosinophilia and systemic symptoms (DRESS).
7.1 Drugs Having Clinically Important Interactions With Aripiprazole
Table 25: Clinically Important Drug Interactions with Aripiprazole:
| Concomitant Drug Name or Drug Class | Clinical Rationale | Clinical Recommendation |
| Strong CYP3A4 Inhibitors (e.g., itraconazole, clarithromycin) or strong CYP2D6 inhibitors (e.g., quinidine, fluoxetine, paroxetine)
| The concomitant use of aripiprazole with strong CYP 3A4 or CYP2D6 inhibitors increased the exposure of aripiprazole compared to the use of aripiprazole alone
[see CLINICAL PHARMACOLOGY (
12.3)].
| With concomitant use of aripiprazole with a strong CYP3A4 inhibitor or CYP2D6 inhibitor, reduce the aripiprazole dosage
[see DOSAGE AND ADMINISTRATION (
2.7)].
|
| Strong CYP3A4 Inducers (e.g., carbamazepine, rifampin)
| The concomitant use of aripiprazole and carbamazepine decreased the exposure of aripiprazole compared to the use of aripiprazole alone
[see CLINICAL PHARMACOLOGY (
12.3)].
| With concomitant use of aripiprazole with a strong CYP3A4 inducer, consider increasing the aripiprazole dosage
[see DOSAGE AND ADMINISTRATION (
2.7)].
|
| Antihypertensive Drugs
| Due to its alpha adrenergic antagonism, aripiprazole has the potential to enhance the effect of certain antihypertensive agents.
| Monitor blood pressure and adjust dose accordingly
[see WARNINGS AND PRECAUTIONS (
5.8)].
|
| Benzodiazepines (e.g., lorazepam)
| The intensity of sedation was greater with the combination of oral aripiprazole and lorazepam as compared to that observed with aripiprazole alone. The orthostatic hypotension observed was greater with the combination as compared to that observed with lorazepam alone
[see Warnings and Precautions (
5.8)]
| Monitor sedation and blood pressure. Adjust dose accordingly.
|
7.2 Drugs Having No Clinically Important Interactions With Aripiprazole
Based on pharmacokinetic studies, no dosage adjustment of aripiprazole is required when administered concomitantly with famotidine, valproate, lithium, lorazepam.
In addition, no dosage adjustment is necessary for substrates of CYP2D6 (e.g., dextromethorphan, fluoxetine, paroxetine, or venlafaxine), CYP2C9 (e.g., warfarin), CYP2C19 (e.g., omeprazole, warfarin, escitalopram), or CYP3A4 (e.g., dextromethorphan) when co-administered with aripiprazole. Additionally, no dosage adjustment is necessary for valproate, lithium, lamotrigine, lorazepam, or sertraline when co-administered with aripiprazole. [ see CLINICAL PHARMACOLOGY ( 12.3) ] .
8.1 Pregnancy
Pregnancy Exposure Registry
There is a pregnancy exposure registry that monitors pregnancy outcomes in women exposed to atypical antipsychotics, including aripiprazole, during pregnancy. Healthcare providers are encouraged to register patients by contacting the National Pregnancy Registry for Atypical Antipsychotics at 1-866-961-2388 or visit http://womensmentalhealth.org/clinical-and-researchprograms/pregnancyregistry/.
Risk Summary
Neonates exposed to antipsychotic drugs, including aripiprazole, during the third trimester of pregnancy are at risk for extrapyramidal and/or withdrawal symptoms following delivery
(see Clinical Considerations). Overall available data from published epidemiologic studies of pregnant women exposed to aripiprazole have not established a drug-associated risk of major birth defects, miscarriage, or adverse maternal or fetal outcomes
(see Data). There are risks to the mother associated with untreated schizophrenia, bipolar I disorder, or another indication, and with exposure to antipsychotics, including aripiprazole, during pregnancy
(see Clinical Considerations).
In animal reproduction studies, oral and intravenous aripiprazole administration during organogenesis in rats and/or rabbits at doses 10 and 19 times, respectively, the maximum recommended human dose (MRHD) of 30 mg/day based on mg/m 2 body surface area, produced fetal death, decreased fetal weight, undescended testicles, delayed skeletal ossification, skeletal abnormalities, and diaphragmatic hernia. Oral and intravenous aripiprazole administration during the pre- and post- natal period in rats at doses 10 times the MRHD based on mg/m 2 body surface area, produced prolonged gestation, stillbirths, decreased pup weight, and decreased pup survival (see Data).
The estimated background risk of major birth defects and miscarriage for the indicated population is unknown. All pregnancies have a background risk of birth defect, loss, or other adverse outcomes. In the U.S. general population, the estimated background risk of major birth defects and miscarriage in clinically recognized pregnancies is 2 to 4% and 15 to 20%, respectively.
Clinical Considerations
Disease-associated maternal and/or embryo/fetal risk
There is a risk to the mother from untreated schizophrenia or bipolar I disorder, including increased risk of relapse, hospitalization, and suicide. Schizophrenia and bipolar I disorder are associated with increased adverse perinatal outcomes, including preterm birth. It is not known if this is a direct result of the illness or other comorbid factors.
Fetal/Neonatal Adverse Reactions
Extrapyramidal and/or withdrawal symptoms, including agitation, hypertonia, hypotonia, tremor, somnolence, respiratory distress, and feeding disorder have been reported in neonates who were exposed to antipsychotic drugs (including aripiprazole) during the third trimester of pregnancy. These symptoms have varied in severity. Monitor neonates for extrapyramidal and/or withdrawal symptoms, and manage symptoms appropriately. Some neonates recovered within hours or days without specific treatment; others required prolonged hospitalization.
Data
Human Data
Published data from observational studies, birth registries, and case reports on the use of atypical antipsychotics during pregnancy do not report a clear association with antipsychotics and major birth defects. A retrospective study from a Medicaid database of 9,258 women exposed to antipsychotics during pregnancy did not indicate an overall increased risk for major birth defects.
Animal Data
In animal studies, aripiprazole demonstrated developmental toxicity, including possible teratogenic effects in rats and rabbits.
In pregnant rats treated orally with aripiprazole during organogenesis at doses of 3 mg/kg/day, 10 mg/kg/day, and 30 mg/kg/day, which are approximately 1, 3 and 10 times the MRHD of 30 mg/day based on mg/m 2 body surface area, a slight prolongation of gestation and delay in fetal development, as evidenced by decreased fetal weight and undescended testes, were observed at 10 times the MRHD. Delayed skeletal ossification was observed at 3 and 10 times the MRHD. Delivered offspring had increased incidences of hepatodiaphragmatic nodules and diaphragmatic hernia were observed at 10 times the MRHD (the other dose groups were not examined for these findings). Postnatally, delayed vaginal opening was seen at 3 and 10 times the MRHD. Impaired reproductive performance (decreased fertility rate, corpora lutea, implants, live fetuses, and increased post-implantation loss, likely mediated through effects on female offspring) were observed at 10 times the MRHD; however, there was no evidence to suggest that these developmental effects were secondary to maternal toxicity.
In pregnant rats injected intravenously with aripiprazole during organogenesis at doses of 3 mg/kg/day, 9 mg/kg/day, and 27 mg/kg/day, which are 1, 3, and 9 times the MRHD of 30 mg/day based on mg/m 2 body surface area, decreased fetal weight and delayed skeletal ossification were observed at 9 times the MRHD; this dose also caused maternal toxicity.
In pregnant rabbits treated orally with aripiprazole during organogenesis at doses of 10 mg/kg/day, 30 mg/kg/day, and 100 mg/kg/day which are 6, 19, and 65 times the MRHD of 30 mg/day based on mg/m 2 body surface area, decreased maternal food consumption, and increased abortions as well as increased fetal mortality were observed at 65 times the MHRD. Decreased fetal weight and increased incidence of fused sternebrae were observed at 19 and 65 times the MRHD.
In pregnant rabbits injected intravenously with aripiprazole during organogenesis at doses of 3 mg/kg/day, 10 mg/kg/day, and 30 mg/kg/day, which are 2, 6, and 19 times the MRHD of 30 mg/day based on mg/m 2 body surface area, decreased fetal weight, increased fetal abnormalities (primarily skeletal), and decreased fetal skeletal ossification were observed at 19 times the MRHD; this dose also caused maternal toxicity. The fetal no-effect dose was 10 mg/kg/day, which is 6 times the MRHD.
In rats treated orally with aripiprazole peri- and post-natally from gestation day 17 through postpartum day 21 at doses of 3 mg/kg/day, 10 mg/kg/day, and 30 mg/kg/day which are 1, 3, and 10 times the MRHD of 30 mg/day based on mg/m 2 body surface area slight maternal toxicity and slightly prolonged gestation were observed at 10 times the MHRD. An increase in stillbirths and, decreases in pup weight (persisting into adulthood) and survival were also seen at this dose.
In rats injected intravenously with aripiprazole from gestation day 6 through lactation day 20 at doses of 3 mg/kg/day, 8 mg/kg/day, and 20 mg/kg/day, which are 1, 3, and 6 times the MRHD of 30 mg/day based on mg/m 2 body surface area, increased stillbirths were observed at 3 and 6 times the MRHD; and decreases in early postnatal pup weight and survival were observed at 6 times the MRHD; these doses also caused some maternal toxicity. There were no effects on postnatal behavioral and reproductive development.
8.2 Lactation
Risk Summary
Limited data from published literature report the presence of aripiprazole in human breast milk, at relative infant doses ranging between 0.7% to 8.3% of the maternal weight-adjusted dosage. There are reports of poor weight gain in breastfed infants exposed to aripiprazole and reports of inadequate milk supply in lactating women taking aripiprazole.
The development and health benefits of breastfeeding should be considered along with the mother’s clinical need for aripiprazole and any potential adverse effects on the breastfed infant from aripiprazole or from the underlying maternal condition.
8.4 Pediatric Use
The pharmacokinetics of aripiprazole and dehydro-aripiprazole in pediatric patients, 10 to 17 years of age, were similar to those in adults after correcting for the differences in body weight [
see CLINICAL PHARMACOLOGY (
12.3)
].
Schizophrenia
Safety and effectiveness in pediatric patients with schizophrenia were established in a 6-week, placebo-controlled clinical trial in 202 pediatric patients aged 13 to 17 years [
see DOSAGE AND ADMINISTRATION (
2.1), ADVERSE REACTIONS (
6.1), and CLINICAL STUDIES (
14.1)
]. Although maintenance efficacy in pediatric patients has not been systematically evaluated, maintenance efficacy can be extrapolated from adult data along with comparisons of aripiprazole pharmacokinetic parameters in adult and pediatric patients.
Additional pediatric use information in patients ages 6 to 18 years is approved for Otsuka America Pharmaceutical, Inc.’s ABILIFY® (aripiprazole) product. However, due to Otsuka America Pharmaceutical, Inc.’s marketing exclusivity rights, this drug product is not labeled with that pediatric information.
Juvenile Animal Studies
Aripiprazole in juvenile rats caused mortality, CNS clinical signs, impaired memory and learning, and delayed sexual maturation when administered at oral doses of 10 mg/kg/day, 20 mg/kg/day, 40 mg/kg/day from weaning (21 days old) through maturity (80 days old). At 40 mg/kg/day, mortality, decreased activity, splayed hind limbs, hunched posture, ataxia, tremors and other CNS signs were observed in both genders. In addition, delayed sexual maturation was observed in males. At all doses and in a dose-dependent manner, impaired memory and learning, increased motor activity, and histopathology changes in the pituitary (atrophy), adrenals (adrenocortical hypertrophy), mammary glands (hyperplasia and increased secretion), and female reproductive organs (vaginal mucification, endometrial atrophy, decrease in ovarian corpora lutea) were observed. The changes in female reproductive organs were considered secondary to the increase in prolactin serum levels. A No Observed Adverse Effect Level (NOAEL) could not be determined and, at the lowest tested dose of 10 mg/kg/day, there is no safety margin relative to the systemic exposures (AUC 0-24) for aripiprazole or its major active metabolite in adolescents at the maximum recommended pediatric dose of 15 mg/day. All drug-related effects were reversible after a 2-month recovery period, and most of the drug effects in juvenile rats were also observed in adult rats from previously conducted studies.
Aripiprazole in juvenile dogs (2 months old) caused CNS clinical signs of tremors, hypoactivity, ataxia, recumbency and limited use of hind limbs when administered orally for 6 months at 3 mg/kg/day, 10 mg/kg/day, 30 mg/kg/day. Mean body weight and weight gain were decreased up to 18% in females in all drug groups relative to control values. A NOAEL could not be determined and, at the lowest tested dose of 3 mg/kg/day, there is no safety margin relative to the systemic exposures (AUC 0-24) for aripiprazole or its major active metabolite in adolescents at the maximum recommended pediatric dose of 15 mg/day. All drug-related effects were reversible after a 2-month recovery period.
8.5 Geriatric Use
No dosage adjustment is recommended for elderly patients [ see BOXED WARNING, WARNINGS AND PRECAUTIONS ( 5.1), and CLINICAL PHARMACOLOGY ( 12.3) ].
Of the 13,543 patients treated with oral aripiprazole in clinical trials, 1073 (8%) were ≥ 65 years old and 799 (6%) were ≥ 75 years old. Placebo-controlled studies of oral aripiprazole in schizophrenia, or other indications did not include sufficient numbers of subjects aged 65 and over to determine whether they respond differently from younger subjects.
Aripiprazole is not approved for the treatment of patients with psychosis associated with Alzheimer’s disease [ see BOXED WARNING and WARNINGS AND PRECAUTIONS ( 5.1) ].
8.6 Cyp2d6 Poor Metabolizers
Dosage adjustment is recommended in known CYP2D6 poor metabolizers due to high aripiprazole concentrations. Approximately 8% of Caucasians and 3% to 8% of Black/African Americans cannot metabolize CYP2D6 substrates and are classified as poor metabolizers (PM) [ see DOSAGE AND ADMINISTRATION ( 2.7) and CLINICAL PHARMACOLOGY ( 12.3) ].
8.7 Hepatic And Renal Impairment
No dosage adjustment for aripiprazole is required on the basis of a patient’s hepatic function (mild to severe hepatic impairment, Child-Pugh score between 5 and 15), or renal function (mild to severe renal impairment, glomerular filtration rate between 15 mL/minute and 90 mL/minute) [ see CLINICAL PHARMACOLOGY ( 12.3) ].
8.8 Other Specific Populations
No dosage adjustment for aripiprazole is required on the basis of a patient’s sex, race, or smoking status [ see CLINICAL PHARMACOLOGY ( 12.3) ].
9.1 Controlled Substance
Aripiprazole is not a controlled substance.
9.2 Abuse
Aripiprazole has not been systematically studied in humans for its potential for abuse, tolerance, or physical dependence. Consequently, patients should be evaluated carefully for a history of drug abuse, and such patients should be observed closely for signs of aripiprazole misuse or abuse (e.g., development of tolerance, increases in dose, drug-seeking behavior).
9.3 Dependence
In physical dependence studies in monkeys, withdrawal symptoms were observed upon abrupt cessation of dosing. While the clinical trials did not reveal any tendency for any drug-seeking behavior, these observations were not systematic and it is not possible to predict on the basis of this limited experience the extent to which a CNS-active drug will be misused, diverted, and/or abused once marketed.
10 Overdosage
MedDRA terminology has been used to classify the adverse reactions.
10.1 Human Experience
In clinical trials and in postmarketing experience, adverse reactions of deliberate or accidental overdosage with oral aripiprazole have been reported worldwide. These include overdoses with oral aripiprazole alone and in combination with other substances. No fatality was reported with aripiprazole alone. The largest known dose with a known outcome involved acute ingestion of 1260 mg of oral aripiprazole (42 times the maximum recommended daily dose) by a patient who fully recovered. Deliberate or accidental overdosage was also reported in children (age 12 and younger) involving oral aripiprazole ingestions up to 195 mg with no fatalities.
Common adverse reactions (reported in at least 5% of all overdose cases) reported with oral aripiprazole overdosage (alone or in combination with other substances) include vomiting, somnolence, and tremor. Other clinically important signs and symptoms observed in one or more patients with aripiprazole overdoses (alone or with other substances) include acidosis, aggression, aspartate aminotransferase increased, atrial fibrillation, bradycardia, coma, confusional state, convulsion, blood creatine phosphokinase increased, depressed level of consciousness, hypertension, hypokalemia, hypotension, lethargy, loss of consciousness, QRS complex prolonged, QT prolonged, pneumonia aspiration, respiratory arrest, status epilepticus, and tachycardia.
10.2 Management Of Overdosage
No specific information is available on the treatment of overdose with aripiprazole. An electrocardiogram should be obtained in case of overdosage and if QT interval prolongation is present, cardiac monitoring should be instituted. Otherwise, management of overdose should concentrate on supportive therapy, maintaining an adequate airway, oxygenation and ventilation, and management of symptoms. Close medical supervision and monitoring should continue until the patient recovers.
Charcoal: In the event of an overdose of aripiprazole, an early charcoal administration may be useful in partially preventing the absorption of aripiprazole. Administration of 50 g of activated charcoal, one hour after a single 15 mg oral dose of aripiprazole, decreased the mean AUC and C max of aripiprazole by 50%.
Hemodialysis: Although there is no information on the effect of hemodialysis in treating an overdose with aripiprazole, hemodialysis is unlikely to be useful in overdose management since aripiprazole is highly bound to plasma proteins.
11 Description
Aripiprazole is a psychotropic drug that is available as tablets. Aripiprazole USP is 7-[4-[4-(2,3-dichlorophenyl)-1piperazinyl]butoxy]-3,4-dihydrocarbostyril. The empirical formula is C 23H 27Cl 2N 3O 2 and its molecular weight is 448.39. The chemical structure is:
Aripiprazole Tablets, USP are available in 2 mg, 5 mg, 10 mg, 15 mg, 20 mg, and 30 mg strengths. Inactive ingredients include corn starch, colloidal silicon dioxide, lactose monohydrate, microcrystalline cellulose, magnesium stearate, povidone. Colorants include ferric oxide (yellow or red) and FD&C Blue No. 2 Aluminum Lake.
FDA approved dissolution test specifications differ from USP.
12.1 Mechanism Of Action
The mechanism of action of aripiprazole in schizophrenia or bipolar mania, is unclear. However, the efficacy of aripiprazole in the listed indications could be mediated through a combination of partial agonist activity at D 2 and 5-HT 1A receptors and antagonist activity at 5- HT 2A receptors.
12.2 Pharmacodynamics
Aripiprazole exhibits high affinity for dopamine D 2 and D 3, serotonin 5-HT 1A and 5-HT 2A receptors (Ki values of 0.34 nM, 0.8 nM, 1.7 nM, and 3.4 nM, respectively), moderate affinity for dopamine D 4, serotonin 5-HT 2C and 5-HT 7, alpha1-adrenergic and histamine H 1 receptors (Ki values of 44 nM, 15 nM, 39 nM, 57 nM, and 61 nM, respectively), and moderate affinity for the serotonin reuptake site (Ki=98 nM). Aripiprazole has no appreciable affinity for cholinergic muscarinic receptors (IC 50>1000 nM).
12.3 Pharmacokinetics
Aripiprazole activity is presumably primarily due to the parent drug, aripiprazole, and to a lesser extent, to its major metabolite, dehydro-aripiprazole, which has been shown to have affinities for D 2 receptors similar to the parent drug and represents 40% of the parent drug exposure in plasma. The mean elimination half-lives are about 75 hours and 94 hours for aripiprazole and dehydro-aripiprazole, respectively. Steady-state concentrations are attained within 14 days of dosing for both active moieties. Aripiprazole accumulation is predictable from single-dose pharmacokinetics. At steady-state, the pharmacokinetics of aripiprazole is dose-proportional. Elimination of aripiprazole is mainly through hepatic metabolism involving two P450 isozymes, CYP2D6 and CYP3A4. For CYP2D6 poor metabolizers, the mean elimination half-life for aripiprazole is about 146 hours.
Pharmacokinetic studies showed that aripiprazole orally disintegrating tablets are bioequivalent to aripiprazole tablets.
ORAL ADMINISTRATION
Absorption
Tablet: Aripiprazole is well absorbed after administration of the tablet, with peak plasma concentrations occurring within 3 hours to 5 hours; the absolute oral bioavailability of the tablet formulation is 87%. Aripiprazole can be administered with or without food. Administration of a 15 mg aripiprazole Tablet with a standard high-fat meal did not significantly affect the C max or AUC of aripiprazole or its active metabolite, dehydro-aripiprazole, but delayed T max by 3 hours for aripiprazole and 12 hours for dehydro-aripiprazole.
Oral Solution: Aripiprazole is well absorbed when administered orally as the solution. At equivalent doses, the plasma concentrations of aripiprazole from the solution were higher than that from the tablet formulation. In a relative bioavailability study comparing the pharmacokinetics of 30 mg aripiprazole as the oral solution to 30 mg aripiprazole tablets in healthy subjects, the solution to tablet ratios of geometric mean C max and AUC values were 122% and 114%, respectively [ see DOSAGE AND ADMINISTRATION ( 2.6) ]. The single-dose pharmacokinetics of aripiprazole were linear and dose-proportional between the doses of 5 mg to 30 mg.
Distribution
The steady-state volume of distribution of aripiprazole following intravenous administration is high (404 L or 4.9 L/kg), indicating extensive extravascular distribution. At therapeutic concentrations, aripiprazole and its major metabolite are greater than 99% bound to serum proteins, primarily to albumin. In healthy human volunteers administered 0.5 mg/day to 30 mg/day aripiprazole for 14 days, there was dose-dependent D 2 receptor occupancy indicating brain penetration of aripiprazole in humans.
Metabolism and Elimination
Aripiprazole is metabolized primarily by three biotransformation pathways: dehydrogenation, hydroxylation, and N-dealkylation. Based on in vitro studies, CYP3A4 and CYP2D6 enzymes are responsible for dehydrogenation and hydroxylation of aripiprazole, and N-dealkylation is catalyzed by CYP3A4. Aripiprazole is the predominant drug moiety in the systemic circulation. At steady-state, dehydro-aripiprazole, the active metabolite, represents about 40% of aripiprazole AUC in plasma.
Following a single oral dose of [ 14C]-labeled aripiprazole, approximately 25% and 55% of the administered radioactivity was recovered in the urine and feces, respectively. Less than 1% of unchanged aripiprazole was excreted in the urine and approximately 18% of the oral dose was recovered unchanged in the feces.
Drug Interaction Studies
Effects of other drugs on the exposures of aripiprazole and dehydro-aripiprazole are summarized in Figure 1 and Figure 2, respectively. Based on simulation, a 4.5-fold increase in mean C
max and AUC values at steady-state is expected when extensive metabolizers of CYP2D6 are administered with both strong CYP2D6 and CYP3A4 inhibitors. A 3-fold increase in mean C
max and AUC values at steady-state is expected in poor metabolizers of CYP2D6 administered with strong CYP3A4 inhibitors.
Figure 1: The effects of other drugs on aripiprazole pharmacokinetics
Figure 2: The effects of other drugs on dehydro-aripiprazole pharmacokinetics
The effects of aripiprazole on the exposures of other drugs are summarized in Figure 3.
Figure 3: The effects of aripiprazole on pharmacokinetics of other drugs
Studies in Specific Populations
Exposures of aripiprazole and dehydro-aripiprazole in specific populations are summarized in Figure 4 and Figure 5, respectively. In addition, in pediatric patients (10 to 17 years of age) administered with aripiprazole (20 mg to 30 mg), the body weight corrected aripiprazole clearance was similar to the adults.
Figure 4: Effects of intrinsic factors on aripiprazole pharmacokinetics
Figure 5: Effects of intrinsic factors on dehydro-aripiprazole pharmacokinetics
13.1 Carcinogenesis, Mutagenesis, Impairment Of Fertility
Carcinogenesis
Lifetime carcinogenicity studies were conducted in ICR mice, F344 rats, and Sprague- Dawley (SD) rats. Aripiprazole was administered for 2 years in the diet at doses of 1 mg/kg/day, 3 mg/kg/day, 10 mg/kg/day, and 30 mg/kg/day to ICR mice and 1 mg/kg/day, 3 mg/kg/day, and 10 mg/kg/day to F344 rats (0.2, 0.5, 2 and 5 times and 0.3, 1 and 3 times the MRHD of 30 mg/day based on mg/m 2 body surface area, respectively). In addition, SD rats were dosed orally for 2 years at 10 mg/kg/day, 20 mg/kg/day, 40 mg/kg/day, and 60 mg/kg/day, which are 3, 6, 13 and 19 times the MRHD based on mg/m 2 body surface area. Aripiprazole did not induce tumors in male mice or male rats. In female mice, the incidences of pituitary gland adenomas and mammary gland adenocarcinomas and adenoacanthomas were increased at dietary doses of 3 mg/kg/day to 30 mg/kg/day (0.5 to 5 times the MRHD). In female rats, the incidence of mammary gland fibroadenomas was increased at a dietary dose of 10 mg/kg/day (3 times the MRHD); and the incidences of adrenocortical carcinomas and combined adrenocortical adenomas/carcinomas were increased at an oral dose of 60 mg/kg/day (19 times the MRHD).
An increase in mammary, pituitary, and endocrine pancreas neoplasms has been found in rodents after chronic administration of other antipsychotic drugs and is considered to be mediated by prolonged dopamine D 2-receptor antagonism and hyperprolactinemia. Serum prolactin was not measured in the aripiprazole carcinogenicity studies. However, increases in serum prolactin levels were observed in female mice in a 13-week dietary study at the doses associated with mammary gland and pituitary tumors. Serum prolactin was not increased in female rats in 4-week and 13-week dietary studies at the dose associated with mammary gland tumors. The relevance for human risk of the findings of prolactin-mediated endocrine tumors in rodents is unclear.
Mutagenesis
The mutagenic potential of aripiprazole was tested in the in vitro bacterial reverse-mutation assay, the in vitro bacterial DNA repair assay, the in vitro forward gene mutation assay in mouse lymphoma cells, the in vitro chromosomal aberration assay in Chinese hamster lung (CHL) cells, the in vivo micronucleus assay in mice, and the unscheduled DNA synthesis assay in rats. Aripiprazole and a metabolite (2,3-DCPP) were clastogenic in the in vitro chromosomal aberration assay in CHL cells with and without metabolic activation. The metabolite, 2,3-DCPP, increased numerical aberrations in the in vitro assay in CHL cells in the absence of metabolic activation. A positive response was obtained in the in vivo micronucleus assay in mice; however, the response was due to a mechanism not considered relevant to humans.
Impairment of Fertility
Female rats were treated orally with aripiprazole from 2 weeks prior to mating through gestation day 7 at doses of 2 mg/kg/day, 6 mg/kg/day, and 20 mg/kg/day, which are 0.6, 2, and 6 times the MRHD of 30 mg/day based on mg/m body surface area. Estrus cycle irregularities and increased corpora lutea were seen at all doses, but no impairment of fertility was seen. Increased pre-implantation loss was seen at 2 and 6 times the MRHD, and decreased fetal weight was seen at 6 times the MRHD.
Male rats were treated orally with aripiprazole from 9 weeks prior to mating through mating at doses of 20 mg/kg/day, 40 mg/kg/day, and 60 mg/kg/day, which are 6, 13, and 19 times the MRHD of 30 mg/day based on mg/m 2 body surface area. Disturbances in spermatogenesis were seen at 19 times the MRHD and prostate atrophy was seen at 13 and 19 times the MRHD without impairment of fertility.
13.2 Animal Toxicology And/Or Pharmacology
Aripiprazole produced retinal degeneration in albino rats in a 26-week chronic toxicity study at a dose of 60 mg/kg/day and in a 2-year carcinogenicity study at doses of 40 mg/kg/day and 60 mg/kg/day which are 13 and 19 times the MRHD of 30 mg/day based on mg/m 2 body surface area. Evaluation of the retinas of albino mice and of monkeys did not reveal evidence of retinal degeneration. Additional studies to further evaluate the mechanism have not been performed. The relevance of this finding to human risk is unknown.
14 Clinical Studies
Efficacy of the oral formulations of aripiprazole was established in the following adequate and well-controlled trials:
- Four short-term trials and one maintenance trial in adult patients and one short-term trial in adolescents (ages 13 to 17) with schizophrenia [see Clinical Studies ( 14.1)]
- One maintenance monotherapy trial and in one maintenance adjunctive trial in adult patients with bipolar I disorder [see Clinical Studies ( 14.2)]
Additional pediatric use information is approved for Otsuka America Pharmaceutical, Inc.’s ABILIFY ® (aripiprazole) product. However, due to Otsuka America Pharmaceutical, Inc.’s marketing exclusivity rights, this drug product is not labeled with that information.
14.1 Schizophrenia
Adults
The efficacy of aripiprazole in the treatment of schizophrenia was evaluated in five short-term (4-week and 6-week), placebo-controlled trials of acutely relapsed inpatients who predominantly met DSM-III/IV criteria for schizophrenia. Four of the five trials were able to distinguish aripiprazole from placebo, but one study, the smallest, did not. Three of these studies also included an active control group consisting of either risperidone (one trial) or haloperidol (two trials), but they were not designed to allow for a comparison of aripiprazole and the active comparators.
In the four positive trials for aripiprazole, four primary measures were used for assessing psychiatric signs and symptoms. Efficacy was evaluated using the total score on the Positive and Negative Syndrome Scale (PANSS). The PANSS is a 30 item scale that measures positive symptoms of schizophrenia (7 items), negative symptoms of schizophrenia (7 items), and general psychopathology (16 items), each rated on a scale of 1 (absent) to 7 (extreme); total PANSS scores range from 30 to 210. The Clinical Global Impression (CGI) assessment reflects the impression of a skilled observer, fully familiar with the manifestations of schizophrenia, about the overall clinical state of the patient.
- In a 4-week trial (n=414) comparing two fixed doses of aripiprazole (15 mg/day or 30 mg/day) to placebo, both doses of aripiprazole were superior to placebo in the PANSS total score (Study 1 in Table 26), PANSS positive subscale, and CGI-severity score. In addition, the 15 mg dose was superior to placebo in the PANSS negative subscale.
- In a 4-week trial (n=404) comparing two fixed doses of aripiprazole (20 mg/day or 30 mg/day) to placebo, both doses of aripiprazole were superior to placebo in the PANSS total score (Study 2 in Table 26), PANSS positive subscale, PANSS negative subscale, and CGI-severity score.
- In a 6-week trial (n=420) comparing three fixed doses of aripiprazole (10 mg/day, 15 mg/day, or 20 mg/day) to placebo, all three doses of aripiprazole were superior to placebo in the PANSS total score (Study 3 in Table 26), PANSS positive subscale, and the PANSS negative subscale.
- In a 6-week trial (n=367) comparing three fixed doses of aripiprazole (2 mg/day, 5 mg/day, or 10 mg/day) to placebo, the 10 mg dose of aripiprazole was superior to placebo in the PANSS total score (Study 4 in Table 26), the primary outcome measure of the study. The 2 mg and 5 mg doses did not demonstrate superiority to placebo on the primary outcome measure.
Thus, the efficacy of 10 mg, 15 mg, 20 mg, and 30 mg daily doses was established in two studies for each dose. Among these doses, there was no evidence that the higher dose groups offered any advantage over the lowest dose group of these studies.
An examination of population subgroups did not reveal any clear evidence of differential responsiveness on the basis of age, gender, or race.
A longer-term trial enrolled 310 inpatients or outpatients meeting DSM-IV criteria for schizophrenia who were, by history, symptomatically stable on other antipsychotic medications for periods of 3 months or longer. These patients were discontinued from their antipsychotic medications and randomized to aripiprazole 15 mg/day or placebo for up to 26 weeks of observation for relapse. Relapse during the double-blind phase was defined as CGI-Improvement score of ≥5 (minimally worse), scores ≥5 (moderately severe) on the hostility or uncooperativeness items of the PANSS, or ≥20% increase in the PANSS total score. Patients receiving aripiprazole 15 mg/day experienced a significantly longer time to relapse over the subsequent 26 weeks compared to those receiving placebo (Study 5 in Figure 6).
Pediatric Patients
The efficacy of aripiprazole in the treatment of schizophrenia in pediatric patients (13 to 17 years of age) was evaluated in one 6-week, placebo-controlled trial of outpatients who met DSM-IV criteria for schizophrenia and had a PANSS score ≥70 at baseline. In this trial (n=302) comparing two fixed doses of aripiprazole (10 mg/day or 30 mg/day) to placebo, aripiprazole was titrated starting from 2 mg/day to the target dose in 5 days in the 10 mg/day treatment arm and in 11 days in the 30 mg/day treatment arm. Both doses of aripiprazole were superior to placebo in the PANSS total score (Study 6 in Table 26), the primary outcome measure of the study. The 30 mg/day dosage was not shown to be more efficacious than the 10 mg/day dose. Although maintenance efficacy in pediatric patients has not been systematically evaluated, maintenance efficacy can be extrapolated from adult data along with comparisons of aripiprazole pharmacokinetic parameters in adult and pediatric patients.
Table 26: Schizophrenia Studies
| Study
Number | Treatment Group | Primary Efficacy Measure: PANSS | ||
| Mean
Baseline Score (SD) | LS Mean
Change from Baseline (SE) | Placebo Subtracted
Difference * (95% CI) | ||
| Study 1
| Aripiprazole (15 mg/day)†
Aripiprazole (30 mg/day)† Placebo | 98.5 (17.2)
99.0 (19.2) 100.2 (16.5) | -15.5 (2.40)
-11.4 (2.39) -2.9 (2.36) | -12.6 (-18.9, -6.2)
-8.5 (-14.8, -2.1) -- |
| Study 2
| Aripiprazole (20 mg/day)†
Aripiprazole (30 mg/day)† Placebo | 92.6 (19.5)
94.2 (18.5) 94.3 (18.5) | -14.5 (2.23)
-13.9 (2.24) -5.0 (2.17) | -9.6 (-15.4, -3.8)
-9.0 (-14.8, -3.1) -- |
| Study 3
| Aripiprazole (10 mg/day)†
Aripiprazole (15 mg/day)† Aripiprazole (20 mg/day)† Placebo | 92.7(19.5)
93.2 (21.6) 92.5 (20.9) 92.3 (21.8) | -15.0 (2.38)
-11.7 (2.38) -14.4 (2.45) -2.3 (2.35) | -12.7 (-19.00, -6.41)
-9.4 (-15.71, -3.08) -12.1 (-18.53,5.68) -- |
| Study 4
| Aripiprazole (2 mg/day)
Aripiprazole (5 mg/day) Aripiprazole (10 mg/day)† Placebo | 90.7(14.5)
92.0 (12.6) 90.0 (11.9) 90.8 (13.3) | -8.2 (1.90)
-10.6 (1.93) -11.3 (1.88) -5.3 (1.97) | -2.9 (-8.29, 2.47)
-5.2 (-10.7, 0.19) -5.9 (-11.3, -0.58) -- |
| Study 6
(Pediatric 13-17 Years) | Aripiprazole (10 mg/day)†
Aripiprazole (30 mg/day)† Placebo | 93.6 (15.7)
94.0 (16.1) 94.6 (15.6) | -26.7 (1.91)
-28.6 (1.92) -21.2 (1.93) | -5.5 (-10.7, -0.21)
-7.4 (-12.7, -2.13) -- |
SD: standard deviation; SE: standard error; LS Mean: least-squares mean; CI: unadjusted confidence interval.
* Difference (drug minus placebo) in least-squares mean change from baseline.
† Doses statistically significantly superior to placebo.
Figure 6: Kaplan-Meier Estimation of Cumulative Proportion of Patients with Relapse (Schizophrenia Study 5)
14.2 Bipolar Disorder
Maintenance Treatment of Bipolar I Disorder
Monotherapy Maintenance Therapy
A maintenance trial was conducted in adult patients meeting DSM-IV criteria for bipolar I disorder with a recent manic or mixed episode who had been stabilized on open-label aripiprazole and who had maintained a clinical response for at least 6 weeks. The first phase of this trial was an open-label stabilization period in which inpatients and outpatients were clinically stabilized and then maintained on open-label aripiprazole (15 mg/day or 30 mg/day, with a starting dose of 30 mg/day) for at least 6 consecutive weeks. One hundred sixty-one outpatients were then randomized in a double-blind fashion, to either the same dose of aripiprazole they were on at the end of the stabilization and maintenance period or placebo and were then monitored for manic or depressive relapse. During the randomization phase, aripiprazole was superior to placebo on time to the number of combined affective relapses (manic plus depressive), the primary outcome measure for this study (Study 7 in Figure 7). A total of 55 mood events were observed during the double-blind treatment phase. Nineteen were from the aripiprazole group and 36 were from the placebo group. The number of observed manic episodes in the aripiprazole group (6) were fewer than that in the placebo group (19), while the number of depressive episodes in the aripiprazole group (9) was similar to that in the placebo group (11).
An examination of population subgroups did not reveal any clear evidence of differential responsiveness on the basis of age and gender; however, there were insufficient numbers of patients in each of the ethnic groups to adequately assess inter-group differences.
Figure 7: Kaplan-Meier Estimation of Cumulative Proportion of Patients with Relapse (Bipolar Study 7)
Adjunctive Maintenance Therapy
An adjunctive maintenance trial was conducted in adult patients meeting DSM-IV criteria for bipolar I disorder with a recent manic or mixed episode. Patients were initiated on open-label lithium (0.6 mEq/L to 1.0 mEq/L) or valproate (50 μg/mL to 125 μg/mL) at therapeutic serum levels, and remained on stable doses for 2 weeks. At the end of 2 weeks, patients demonstrating inadequate response (Y-MRS total score ≥16% and ≤35% improvement on the Y-MRS total score) to lithium or valproate received aripiprazole with a starting dose of 15 mg/day with the option to increase to 30 mg or reduce to 10 mg as early as day 4, as adjunctive therapy with open-label lithium or valproate. Prior to randomization, patients on the combination of single-blind aripiprazole and lithium or valproate were required to maintain stability (Y-MRS and MADRS total scores ≤12) for 12 consecutive weeks. Three hundred thirty-seven patients were then randomized in a double-blind fashion, to either the same dose of aripiprazole they were on at the end of the stabilization period or placebo plus lithium or valproate and were then monitored for manic, mixed, or depressive relapse for a maximum of 52 weeks. Aripiprazole was superior to placebo on the primary endpoint, time from randomization to relapse to any mood event (Study 8 in Figure 8). A mood event was defined as hospitalization for a manic, mixed, or depressive episode, study discontinuation due to lack of efficacy accompanied by Y-MRS score >16 and/or a MADRS >16, or an SAE of worsening disease accompanied by Y-MRS score >16 and/or a MADRS >16. A total of 68 mood events were observed during the doubleblind treatment phase. Twenty-five were from the aripiprazole group and 43 were from the placebo group. The number of observed manic episodes in the aripiprazole group (7) were fewer than that in the placebo group (19), while the number of depressive episodes in the aripiprazole group (14) was similar to that in the placebo group (18). The Kaplan-Meier curves of the time from randomization to relapse to any mood event during the 52-week, double-blind treatment phase for aripiprazole and placebo groups are shown in Figure 8.
Figure 8: Kaplan-Meier Estimation of Cumulative Proportion of Patients with Relapse to Any Mood Event (Bipolar Study 8)
An examination of population subgroups did not reveal any clear evidence of differential responsiveness on the basis of age and gender; however, there were insufficient numbers of patients in each of the ethnic groups to adequately assess inter-group differences.
Additional pediatric use information is approved for Otsuka America Pharmaceutical, Inc.’s ABILIFY ® (aripiprazole) product. However, due to Otsuka America Pharmaceutical, Inc.’s marketing exclusivity rights, this drug product is not labeled with that information.
16.1 How Supplied
Aripiprazole Tablets, USP have markings on one side and are available in the strengths and packages listed in Table 32.
| Table 32: Aripiprazole Tablets, USP Presentations
| ||||
|---|---|---|---|---|
Tablet Strength | Tablet Color/ Shape | Tablet Markings | Pack Size | NDC Code |
| 2 mg | green modified
rectangle | “SG 324”
| Bottle of 30
Bottle of 500 | 43598-965-30
43598-965-05 |
| 5 mg | blue modified
rectangle | “SG 325”
| Bottle of 30
Bottle of 500 | 43598-966-30
43598-966-05 |
| 10 mg | pink modified
rectangle | “SG 326”
| Bottle of 30
Bottle of 500 | 43598-967-30
43598-967-05 |
| 15 mg | pink round
| “SG 327”
| Bottle of 30
Bottle of 500 | 43598-968-30
43598-968-05 |
| 20 mg | pink round
| “SG 328”
| Bottle of 30
Bottle of 500 | 43598-969-30
43598-969-05 |
| 30 mg | pink round
| “SG 329”
| Bottle of 30
Bottle of 500 | 43598-970-30
43598-970-05 |
16.2 Storage
Store at 25°C (77°F); excursions permitted between 15°C to 30°C (59°F to 86°F) [see USP Controlled Room Temperature].
17 Patient Counseling Information
Advice the patient to read the FDA-approved patient labeling. ( Medication Guide) .
Discuss the following issues with patients prescribed Aripiprazole:
Clinical Worsening of Depression and Suicide Risk
Patients, their families, and their caregivers should be encouraged to be alert to the emergence of anxiety, agitation, panic attacks, insomnia, irritability, hostility, aggressiveness, impulsivity, akathisia (psychomotor restlessness), hypomania, mania, other unusual changes in behavior, worsening of depression, and suicidal ideation, especially early during antidepressant treatment and when the dose is adjusted up or down. Families and caregivers of patients should be advised to look for the emergence of such symptoms on a day-to-day basis, since changes may be abrupt. Such symptoms should be reported to the patient’s prescriber or health professional, especially if they are severe, abrupt in onset, or were not part of the patient’s presenting symptoms. Symptoms such as these may be associated with an increased risk for suicidal thinking and behavior and indicate a need for very close monitoring and possibly changes in the medication [ see WARNINGS AND PRECAUTIONS ( 5.3) ].
Prescribers or other health professionals should inform patients, their families, and their caregivers about the benefits and risks associated with treatment with aripiprazole and should counsel them in its appropriate use. A patient Medication Guide including information about “Antidepressant Medicines, Depression and other Serious Mental Illness, and Suicidal Thoughts or Actions” is available for aripiprazole. The prescriber or health professional should instruct patients, their families, and their caregivers to read the Medication Guide and should assist them in understanding its contents. Patients should be given the opportunity to discuss the contents of the Medication Guide and to obtain answers to any questions they may have. It should be noted that aripiprazole is not approved as a single agent for treatment of depression and has not been evaluated in pediatric major depressive disorder.
Pathological Gambling and Other Compulsive Behaviors
Advise patients and their caregivers of the possibility that they may experience compulsive urges to shop, intense urges to gamble,
compulsive sexual urges, binge eating and/or other compulsive urges and the inability to control these urges while taking aripiprazole. In some cases, but not all, the urges were reported to have stopped when the dose was reduced or stopped [
see WARNINGS AND PRECAUTIONS, (
5.7)
].
Interference with Cognitive and Motor Performance
Because aripiprazole may have the potential to impair judgment, thinking, or motor skills, patients should be cautioned about operating hazardous machinery, including automobiles, until they are reasonably certain that aripiprazole therapy does not affect them adversely [ see WARNINGS AND PRECAUTIONS ( 5.12) ].
Concomitant Medication
Patients should be advised to inform their physicians if they are taking, or plan to take, any prescription or over-the-counter drugs, since there is a potential for interactions [ see DRUG INTERACTIONS ( 7) ].
Heat Exposure and Dehydration
Patients should be advised regarding appropriate care in avoiding overheating and dehydration [ see WARNINGS AND PRECAUTIONS ( 5.13) ].
Pregnancy
Advise patients to notify their healthcare provider if they become pregnant or intend to become pregnant during treatment with aripiprazole. Advise patients that aripiprazole may cause extrapyramidal and/or withdrawal symptoms (agitation, hypertonia, hypotonia, tremor, somnolence, respiratory distress, and feeding disorder) in a neonate. Advise patients that there is a pregnancy registry that monitors pregnancy outcomes in women exposed to aripiprazole during pregnancy
[see Use in Specific Populations (
8.1)].
ABILIFY is a trademark of Otsuka Pharmaceutical Company.
You can ask your pharmacist or doctor for information about Aripiprazole Tablets, or call 1-888-375-3784.
Rx Only
Manufactured by:
Sciegen Pharmaceuticals,Inc.
Hauppauge, NY 11788 USA
Manufactured for:
Dr. Reddy’s Laboratories Inc.
Princeton, New Jersey 08540, USA
Issued: 7/2020
Medication Guide
Aripiprazole Tablets, USP
(ar'' i pip' ra zole)
What is the most important information I should know about aripiprazole tablets?
(For other side effects, also see “What are the possible side effects of aripiprazole tablets?”).
Serious side effects may happen when you take aripiprazole tablets, including:
- Increased risk of death in elderly patients with dementia-related psychosis:
Medicines like aripiprazole tablets can raise the risk of death in elderly people who have lost touch with reality (psychosis) due to confusion and memory loss (dementia). Aripiprazole tablets are not approved for the treatment of patients with dementia-related psychosis. - Risk of suicidal thoughts or actions: Antidepressant medicines, depression and other serious mental illnesses, and suicidal thoughts or actions:
- Pay close attention to any changes, especially sudden changes, in mood, behaviors, thoughts, or feelings. This is very important when an antidepressant medicine is started or when the dose is changed.
- Call the healthcare provider right away to report new or sudden changes in mood, behavior, thoughts, or feelings.
- Keep all follow-up visits with the healthcare provider as scheduled. Call the healthcare provider between visits as needed, especially if you have concerns about symptoms.
- thoughts about suicide or dying
- attempts to commit suicide
- new or worse depression
- new or worse anxiety
- feeling very agitated or restless
- panic attacks
- trouble sleeping (insomnia)
- new or worse irritability
- acting aggressive, being angry, or violent
- acting on dangerous impulses
- an extreme increase in activity and talking (mania)
- other unusual changes in behavior or mood
- Never stop an antidepressant medicine without first talking to a healthcare provider. Stopping an antidepressant medicine suddenly can cause other symptoms.
- Antidepressants are medicines used to treat depression and other illnesses. It is important to discuss all the risks of treating depression and also the risks of not treating it. Patients and their families or other caregivers should discuss all treatment choices with the healthcare provider, not just the use of antidepressants.
- Antidepressant medicines have other side effects. Talk to the healthcare provider about the side effects of the medicine prescribed for you or your family member.
- Antidepressant medicines can interact with other medicines. Know all of the medicines that you or your family member takes. Keep a list of all medicines to show the healthcare provider. Do not start new medicines without first checking with your healthcare provider.
- Not all antidepressant medicines prescribed for children are FDA approved for use in children. Talk to your child’s healthcare provider for more information.
- under 13 years of age with schizophrenia
- diabetes or high blood sugar in you or your family; your healthcare provider should check your blood sugar before you start aripiprazole tablets and also during therapy.
- seizures (convulsions).
- low or high blood pressure.
- heart problems or stroke.
- pregnancy or plans to become pregnant. It is not known if aripiprazole tablets will harm your unborn baby.
- If you become pregnant while receiving aripiprazole, talk to your healthcare provider about registering with the National Pregnancy Registry for Atypical Antipsychotics. You can register by calling 1-866-961-2388 or go to http://womensmentalhealth.org/clinical-and-research-programs/pregnancyregistry/
- breast-feeding or plans to breast-feed. Aripiprazole passes into your breast milk. Talk to your healthcare provider about the best way to feed your baby if you receive aripiprazole tablets.
- low white blood cell count.
- Take aripiprazole tablets exactly as your healthcare provider tells you to take it. Do not change the dose or stop taking aripiprazole tablets yourself.
- Aripiprazole tablets can be taken with or without food.
- Aripiprazole tablets should be swallowed whole.
- If you miss a dose of aripiprazole tablets, take the missed dose as soon as you remember. If it is almost time for the next dose, just skip the missed dose and take your next dose at the regular time. Do not take two doses of aripiprazole tablets at the same time.
- If you take too much aripiprazole tablets, call your healthcare provider or poison control center at 1-800-222-1222 right away, or go to the nearest hospital emergency room.
- Do not drive, operate heavy machinery, or do other dangerous activities until you know how aripiprazole tablets affects you. Aripiprazole tablets may make you drowsy.
- Avoid getting over-heated or dehydrated.
- Do not over-exercise.
- In hot weather, stay inside in a cool place if possible.
- Stay out of the sun. Do not wear too much or heavy clothing.
- Drink plenty of water.
- Store aripiprazole tablets at room temperature, between 68°F to 77°F (20°C to 25°C).
1. Antidepressant medicines may increase suicidal thoughts or actions in some children, teenagers, and young adults within the first few months of treatment.
2. Depression and other serious mental illnesses are the most important causes of suicidal thoughts and actions. Some people may have a particularly high risk of having suicidal thoughts or actions. These include people who have (or have a family history of) bipolar illness (also called manic-depressive illness) or suicidal thoughts or actions.
3. How can I watch for and try to prevent suicidal thoughts and actions in myself or a family member?
Call a healthcare provider right away if you or your family member has any of the following symptoms, especially if they are new, worse, or worry you:
What else do I need to know about antidepressant medicines?
What are aripiprazole tablets?
• Aripiprazole tablets are a prescription medicine used to treat:
o schizophrenia
It is not known if aripiprazole is safe or effective in children:
Do not take aripiprazole tablets if you are allergic to aripiprazole or any of the ingredients in aripiprazole tablets. See the end of this Medication Guide for a complete list of ingredients in aripiprazole tablets.
Before taking aripiprazole tablets, tell your healthcare provider about all your medical conditions, including if you have or had:
Tell your healthcare provider about all the medicines that you take, including prescription and over-the-counter medicines, vitamins, and herbal supplements.
Aripiprazole tablets and other medicines may affect each other causing possible serious side effects. Aripiprazole tablets may affect the way other medicines work, and other medicines may affect how aripiprazole tablets works.
Your healthcare provider can tell you if it is safe to take aripiprazole tablets with your other medicines. Do not start or stop any medicines while taking aripiprazole tablets without talking to your healthcare provider first. Know the medicines you take. Keep a list of your medicines to show your healthcare provider and pharmacist when you get a new medicine.
How should I take aripiprazole tablets?
What should I avoid while taking aripiprazole tablets?
What are the possible side effects of aripiprazole tablets?
Aripiprazole tablets may cause serious side effects, including:
• See
"What is the most important information I should know about aripiprazole tablets?"
•
Stroke in elderly people (cerebrovascular problems) that can lead to death
•
Neuroleptic malignant syndrome (NMS): Tell your healthcare provider right away if you have some or all of the following symptoms: high fever, stiff muscles, confusion, sweating, changes in pulse, heart rate, and blood pressure. These may be symptoms of a rare and serious condition that can lead to death. Call your healthcare provider right away if you have any of these symptoms.
• Uncontrolled body movements (tardive dyskinesia). Aripiprazole tablets may cause movements that you cannot control in your face, tongue, or other body parts. Tardive dyskinesia may not go away, even if you stop receiving aripiprazole tablets. Tardive dyskinesia may also start after you stop receiving aripiprazole tablets.
• Problems with your metabolism such as:
• High blood sugar (hyperglycemia) and diabetes. Increases in blood sugar can happen in some people who take aripiprazole tablets. Extremely high blood sugar can lead to coma or death. If you have diabetes or risk factors for diabetes (such as being overweight or a family history of diabetes), your healthcare provider should check your blood sugar before you start aripiprazole tablets and during your treatment.
Call your healthcare provider if you have any of these symptoms of high blood sugar while receiving aripiprazole tablets:
• feel very thirsty
• need to urinate more than usual
• feel very hungry
• feel weak or tired
• feel sick to your stomach
• feel confused, or your breath smells fruity
o
Increased fat levels (cholesterol and triglycerides) in your blood.
o
Weight gain. You and your healthcare provider should check your weight regularly.
•
Unusual urges. Some people taking aripiprazole tablets have had unusual urges, such as gambling, binge eating or eating that you cannot control (compulsive), compulsive shopping and sexual urges.
If you or your family members notice that you are having unusual urges or behaviors, talk to your healthcare provider.
•
Falls.
Aripiprazole may make you sleepy or dizzy, may cause a decrease in your blood pressure when changing position and can slow your thinking and motor skills which may lead to falls that can cause fractures or other injuries.
•
Orthostatic hypotension (decreased blood pressure).
Lightheadedness or fainting may happen when rising too quickly from a sitting or lying position.
•
Low white blood cell count
•
Seizures (convulsions)
•
problems with control of your body temperature especially when you exercise a lot or are in an area that is very hot. It is important for you to drink water to avoid dehydration. See “What should I avoid while receiving aripiprazole tablets?”
•
Difficulty swallowing that can cause food or liquid to get into your lungs.
The most common side effects of aripiprazole tablets in adults include:
• nausea • dizziness
• vomiting • anxiety
• constipation • insomnia
• headache • restlessness
• blurred vision • inner sense of restlessness/need to move (akathisia)
• upper respiratory illness
The most common side effects of aripiprazole tablets in children include:
• feeling sleepy • insomnia
• headache • nausea
• vomiting • stuffy nose
• fatigue • weight gain
• increased or decreased appetite • uncontrolled movement such as restlessness, tremor
• increased saliva or drooling • muscle stiffness
These are not all the possible side effects of aripiprazole.
Call your doctor for medical advice about side effects. You may report side effects to FDA at 1-800-FDA-1088.
How should I store aripiprazole tablets?
Keep aripiprazole tablets and all medicines out of the reach of children.
General information about the safe and effective use of aripiprazole tablets.
Medicines are sometimes prescribed for purposes other than those listed in a Medication Guide. Do not use aripiprazole tablets for a condition for which it was not prescribed. Do not give aripiprazole tablets to other people, even if they have the same symptoms you have. It may harm them. You can ask your healthcare provider or pharmacist for information about aripiprazole tablets that was written for healthcare professionals.
What are the ingredients in aripiprazole tablets, USP?
Active ingredient: aripiprazole USP
Inactive ingredients: corn starch, colloidal silicon dioxide, lactose monohydrate, microcrystalline cellulose, magnesium stearate, povidone. Colorants include ferric oxide (yellow or red) and FD&C Blue No. 2 Aluminum Lake.
Additional pediatric use information is approved for Otsuka America Pharmaceutical, Inc.’s ABILIFY
® (aripiprazole) product. However, due to Otsuka America Pharmaceutical, Inc.’s marketing exclusivity rights, this drug product is not labeled with that information.
ABILIFY ® is a trademark of Otsuka Pharmaceutical Company.
You can ask your pharmacist or doctor for information about Aripiprazole Tablets, or call 1-888-375-3784.
Rx Only
Manufactured by:
Sciegen Pharmaceuticals, Inc.
Hauppauge, NY 11788, USA
Manufactured for:
Dr.Reddy's LaboratoriesInc.
Princeton, New Jersey 08540, USA
This Medication Guide has been approved by the U.S. Food and Drug Administration.
Issued: 7/2020
Package Label-Principal Display Panel
NDC 43598-965-30
Aripiprazole Tablets, USP
2 mg
PHARMACIST: Dispense the accompanying Medication Guide to each patient.
R
x Only
30 Tablets
Dr.Reddy's
NDC 43598-966-30
Aripiprazole Tablets, USP
5 mg
PHARMACIST: Dispense the accompanying Medication Guide to each patient.
R
x Only
30 Tablets
Dr.Reddy's
NDC 43598-967-30
Aripiprazole Tablets, USP
10 mg
PHARMACIST: Dispense the accompanying Medication Guide to each patient.
R
x Only
30 Tablets
Dr.Reddy's
NDC 43598-968-30
Aripiprazole Tablets, USP
15 mg
PHARMACIST: Dispense the accompanying Medication Guide to each patient.
R
x Only
30 Tablets
Dr.Reddy's
NDC 43598-969-30
Aripiprazole Tablets, USP
20 mg
PHARMACIST: Dispense the accompanying Medication Guide to each patient.
R
x Only
30 Tablets
Dr.Reddy's
NDC 43598-970-30
Aripiprazole Tablets, USP
30 mg
PHARMACIST: Dispense the accompanying Medication Guide to each patient.
R
x Only
30 Tablets
Dr.Reddy's
* Please review the disclaimer below.




