Product Images Nafcillin

View Photos of Packaging, Labels & Appearance

Product Label Images

The following 5 images provide visual information about the product associated with Nafcillin NDC 44567-221 by Wg Critical Care, Llc, such as packaging, labeling, and the appearance of the drug itself. This resource could be helpful for medical professionals, pharmacists, and patients seeking to verify medication information and ensure they have the correct product.

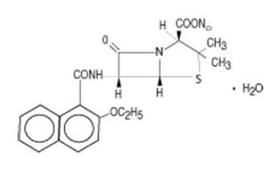
STRUCTURAL FORMULA - image 01

STRUCTURAL FORMULA - image 01

1g VL - image 02

1g VL - image 02

This is a product description of a medicine called "Nafcilin Sodim" available in the form of injection (for Intramuscular Route). The injection comes in a vial that contains 4 ml solution, with each ml of solution containing Nafcilin sodium as the monohydrate equivalent to 250 mg of Nafcilin. The solution is buffered with approximately 5 mg of sodium citrate and around 38 mg of sodium citrate is present in each gram of Nafcilin. The product is manufactured by WG Critical Care and the details of the manufacturer and lot/expiry information are given. The medicine is meant for IV or M use.*

2g VL - image 03

2g VL - image 03

Nafcillin is a sterile, buffered powder for injection. Each vial contains 2 grams of nafcillin sodium, equivalent to approximately 66mg of sodium and is usually administered in a dosage of 500mg every 4 to 6 hours. When reconstituted with 6 mL diluent, each vial contains 8 mL of solution. The usual adult dosage is 500mg every 4 to 6 hours. It should be stored in a dry location at 20°C to 25°C (68°F to 77°F). Read accompanying insert for complete data. This product is manufactured for WG Critical Care LLC based in New Jersey.*

image 04

image 04

Nafcillin is a medication available in 1 gram size for injection. The National Drug Code (NDC) for this medication is 44567-221-10. No further information is available.*

image 05

image 05

This is a description of a medication called Nafcillin for Injection. It comes in vials with 2 grams of the medication and 40 mg of sodium cvat per dose which can be used for IV or M administration. The medication should be kept at a temperature between 68°F and 77°F (20°C and 25°C), and it is for use with a prescription.*

* The product label images have been analyzed using a combination of traditional computing and machine learning techniques. It should be noted that the descriptions provided may not be entirely accurate as they are experimental in nature. Use the information in this page at your own discretion and risk.