FDA Label for Diltiazem Hydrochloride In Sodium Chloride
View Indications, Usage & Precautions
- 1.1 ATRIAL FIBRILLATION OR ATRIAL FLUTTER
- 1.2 PAROXYSMAL SUPRAVENTRICULAR TACHYCARDIA
- 2.1 GENERAL CONSIDERATIONS
- 2.2 INTRAVENOUS SINGLE INJECTION
- 2.3 CONTINUOUS INTRAVENOUS INFUSION
- 2.4 PHYSICAL INCOMPATIBILITIES
- 3 DOSAGE FORMS AND STRENGTHS
- 4 CONTRAINDICATIONS
- 5.1 TACHYCARDIA AND HYPOTENSION IN PATIENTS WITH AF/AFL AND ACCESSORY BYPASS TRACT
- 5.2 HEMODYNAMIC DETERIORATION IN PATIENTS WITH WIDE COMPLEX TACHYCARDIA
- 5.3 AV BLOCK
- 5.4 HEART FAILURE
- 5.5 HYPOTENSION
- 6 ADVERSE REACTIONS
- 7 DRUG INTERACTIONS
- 8.1 PREGNANCY
- 8.2 LACTATION
- 8.4 PEDIATRIC USE
- 8.5 GERIATRIC USE
- 10 OVERDOSAGE
- 11 DESCRIPTION
- 12.1 MECHANISM OF ACTION
- 12.2 PHARMACODYNAMICS
- 12.3 PHARMACOKINETICS
- 13.1 CARCINOGENESIS, MUTAGENESIS, IMPAIRMENT OF FERTILITY
- 14 CLINICAL STUDIES
- 16 HOW SUPPLIED/STORAGE AND HANDLING
- PACKAGE/LABEL PRINCIPAL DISPLAY PANEL
Diltiazem Hydrochloride In Sodium Chloride Product Label
The following document was submitted to the FDA by the labeler of this product Wg Critical Care, Llc. The document includes published materials associated whith this product with the essential scientific information about this product as well as other prescribing information. Product labels may durg indications and usage, generic names, contraindications, active ingredients, strength dosage, routes of administration, appearance, warnings, inactive ingredients, etc.
1.1 Atrial Fibrillation Or Atrial Flutter
Diltiazem Hydrochloride in Sodium Chloride Injection is indicated in adults for the temporary control of rapid ventricular rate in atrial fibrillation or atrial flutter.
1.2 Paroxysmal Supraventricular Tachycardia
Diltiazem Hydrochloride in Sodium Chloride Injection is indicated in adults for rapid conversion of paroxysmal supraventricular tachycardias (PSVT) to sinus rhythm.
2.1 General Considerations
Administer intravenous diltiazem in a setting with continuous monitoring of the ECG and frequent measurement of blood pressure. A defibrillator and emergency equipment should be readily available.
Diltiazem Hydrochloride in Sodium Chloride Injection is a ready to administer product that requires no further dilution prior to infusion. Parenteral drug products should be inspected visually for particulate matter and discoloration prior to administration whenever solution and container permit.
2.2 Intravenous Single Injection
The initial dose of diltiazem hydrochloride should be 0.25 mg/kg actual body weight administered over 2 minutes (20 mg is a reasonable dose for the average patient). If response is inadequate, a second dose may be administered after 15 minutes. The second dose of diltiazem hydrochloride should be 0.35 mg/kg actual body weight administered over 2 minutes (25 mg is a reasonable dose for the average patient). Subsequent intravenous bolus doses should be individualized.
2.3 Continuous Intravenous Infusion
Immediately following bolus, the recommended initial infusion rate of diltiazem hydrochloride is 5 mg/hour. Adjust the infusion rate in 5 mg/hour increments up to a maximum of 15 mg/hour as needed to achieve satisfactory rate control. Infusions longer than 24 hours have not been studied. Patients should generally be transitioned to other antiarrhythmic agents within 24 hours [see Clinical Studies (14)].
2.4 Physical Incompatibilities
Do not mix diltiazem hydrochloride with any other drugs in the same container. If possible, use a dedicated line for diltiazem hydrochloride.
Diltiazem hydrochloride has demonstrated physical incompatibilities with acetazolamide, acyclovir, aminophylline, ampicillin, ampicillin sodium/sulbactam sodium, cefamandole, cefoperazone, diazepam, furosemide, hydrocortisone sodium succinate, insulin (regular: 100 units/mL), methylprednisolone sodium succinate, mezlocillin, nafcillin, phenytoin, rifampin, and sodium bicarbonate.
3 Dosage Forms And Strengths
Injection: Clear, colorless solution in a single-dose bag for intravenous use.
100 mg per 100 mL (1 mg/mL)
250 mg per 250 mL (1 mg/mL)
4 Contraindications
Diltiazem Hydrochloride in Sodium Chloride Injection is contraindicated in the following situations:
• Patients with sick sinus syndrome or second- or third-degree AV block except in the presence of a functioning ventricular pacemaker.• Patients with severe hypotension or cardiogenic shock.• Patients who have demonstrated hypersensitivity to the drug.• Concomitant administration with IV beta-blockers.• Patients with atrial fibrillation or atrial flutter associated with an accessory bypass tract such as in WPW syndrome.• Patients with ventricular tachycardia.
5.1 Tachycardia And Hypotension In Patients With Af/Afl And Accessory Bypass Tract
Diltiazem may cause ventricular fibrillation if given to patients in atrial fibrillation or atrial flutter associated with an accessory bypass tract such as in WPW syndrome. Distinguish atrial fibrillation with aberrancy (bundle branch block) from pre-excited atrial fibrillation prior to diltiazem administration [see Contraindications (4)].
5.2 Hemodynamic Deterioration In Patients With Wide Complex Tachycardia
Diltiazem may cause hemodynamic deterioration and ventricular fibrillation if administered to patients with wide complex tachycardia of ventricular origin. Distinguish wide complex QRS tachycardia of supraventricular origin from that of ventricular origin prior to diltiazem administration [see Contraindications (4)].
5.3 Av Block
Diltiazem prolongs AV nodal conduction and refractoriness that may cause second- or third-degree AV block in sinus rhythm. Concomitant use of diltiazem with agents known to affect cardiac conduction may result in additive effects [see Drug Interactions (7)]. If high-degree AV block occurs in sinus rhythm, discontinue diltiazem and institute appropriate supportive measures [see Overdosage (10)].
5.4 Heart Failure
Diltiazem is a negative inotrope and can cause decreased systolic function and heart failure. Do not initiate in patients with acute decompensated heart failure or cardiogenic shock. If heart failure develops during diltiazem treatment, discontinue treatment and treat heart failure appropriately.
5.5 Hypotension
Diltiazem can cause symptomatic hypotension. Patients with low blood pressure at baseline and those on concomitant medications that decrease blood pressure, intravascular volume, or myocardial contractility are at increased risk for hypotension.
6 Adverse Reactions
The following adverse reaction rates are based on the use of diltiazem hydrochloride injection in over 400 domestic clinical trial patients with atrial fibrillation/flutter or PSVT under double-blind or open-label conditions.
Hypotension was the most commonly reported adverse event during clinical trials, with symptomatic hypotension occurring in 3.2% of patients. Other events reported in a least 1% of the diltiazem-treated patients were injection site reactions (e.g., itching, burning) - 3.9%, vasodilation (flushing) - 1.7%, and arrhythmia (junctional rhythm or isorhythmic dissociation) - 1%.
In addition, the following events were reported infrequently (less than 1%):
Gastrointestinal - Constipation, elevated SGOT or alkaline phosphatase, nausea, vomiting
Nervous System - Dizziness
Other - dyspnea, edema, headache,
Although not observed in clinical trials with diltiazem hydrochloride injection, the following events associated with oral diltiazem may occur:
Dermatologic - Erythema multiforme (including Stevens-Johnson syndrome, toxic epidermal necrolysis), exfoliative dermatitis, petechiae, photosensitivity, purpura, pruritus, rash, urticaria, acute generalized exanthematous pustulosis,
Gastrointestinal - Anorexia, dysgeusia, dyspepsia
Other - Allergic reactions, angioedema (including facial or periorbital edema), gingival hyperplasia, hyperglycemia, impotence.
7 Drug Interactions
Table 1. Clinically Relevant Interactions with Diltiazem
Drug/Substance Class or Name | Clinical implication | Prevention/Management |
Agents Known to decrease peripheral resistance, cardiac contractility or conduction | Increased risk of bradycardia, AV block, and heart failure. | Monitor. |
Beta-blockers | Increased risk of bradycardia, AV block, and depression of contractility. | Beta-blocker may need to be decreased [see Warnings and Precautions (5.1, 5.2)]. |
Anesthetics | Depressed cardiac contractility, conductivity, and automaticity as well as the vascular dilation. | Monitor. |
Clonidine | Increased risk of bradycardia. | Monitor. |
Drugs metabolized by Cytochrome P450 3A4 | Diltiazem is both a substrate and an inhibitor of the cytochrome P450 3A4 enzyme system. Concomitant use with diltiazem can increase exposure of drugs that are substrates of CYP450 3A4. | Drugs that are substrates of CYP450 3A4 may require dose adjustment to maintain optimum therapeutic blood levels. |
Benzodiazepines | Increased exposure likely. | Monitor. |
Buspirone | ||
Carbamazepine | ||
Cyclosporine | ||
Quinidine | ||
Ranolazine | Limit ranolazine to 500 mg twice daily. | |
Statins | Increased risk of myopathy and rhabdomyolysis with statins metabolized by CYP3A4. | When possible, use a non-CYP3A4-metabolized statin with diltiazem. Limit daily dose of simvastatin to 10 mg and diltiazem to 240 mg [see Clinical Pharmacology (12.3)]. |
Ivabradine | May exacerbate bradycardia and conduction disturbances. | Avoid concomitant use [see Clinical Pharmacology (12.3)]. |
Effect of other drugs on Diltiazem | ||
Cytochrome P450 3A4 Inhibitors/ Inducers | Diltiazem is a substrate of the cytochrome P450 3A4 enzyme and inhibitors/inducers may change the pharmacological effect of diltiazem | Monitor. |
Strong or moderate CYP 3A inhibitors a Examples b: Ketoconazole, itraconazole, cimetidine | Patients currently receiving diltiazem therapy should be carefully monitored for a change in pharmacological effect when initiating and discontinuing therapy with strong or moderate inhibitors of CYP3A4. | An adjustment in the diltiazem dose may be warranted |
CYP inducers Examples b: Rifampin, carbamazepine | CYP3A inducers can lower the plasma levels of diltiazem. | Coadministration of diltiazem with rifampin or any known CYP3A4 inducer should be avoided when possible, and alternative therapy considered [see Clinical Pharmacology (12.3)]. |
a Strong and moderate inhibitors increase the AUC of sensitive substrates of CYP3A4 by ≥ 5 and ≥ 2-fold, respectively b These examples are a guide and not considered a comprehensive list of all possible drugs that may fit this category. The healthcare provider should consult appropriate references for comprehensive information.
8.1 Pregnancy
Risk Summary
The available data from the published literature over decades of use with diltiazem during pregnancy have not identified a drug associated risk of major birth defects, miscarriage, or adverse maternal or fetal outcomes. In animal reproduction studies, decreased embryo and fetal survival rates, and skeletal abnormalities have been observed at oral doses five to ten times the human oral antianginal therapeutic dose, and reduction in pup weights was also observed. At 20 times the human oral antianginal therapeutic dose, an increase in stillbirths was observed (see Data).
The estimated background risk for major birth defects and miscarriage for the indicated population is unknown. All pregnancies have a background risk of birth defect, loss, or other adverse outcomes. In the U.S. general population, the estimated background risks of major birth defects and miscarriage in clinically recognized pregnancies are 2% to 4% and 15% to 20%, respectively.
Data
Animal Data
Reproduction studies have been conducted in mice, rats, and rabbits. Administration of oral doses ranging from five to ten times greater (on a mg/kg basis) than the human oral antianginal therapeutic dose has resulted in embryo and fetal lethality. These doses, in some studies, have been reported to cause skeletal abnormalities. In the perinatal/postnatal studies there was some reduction in early individual pup weights and survival rates. There was an increased incidence of stillbirths at doses of 20 times the human oral antianginal therapeutic dose or greater.
8.2 Lactation
Risk Summary
Published literature reports the presence of diltiazem in human milk. One report with oral diltiazem suggests that concentrations in breast milk may approximate serum levels. There are no data on the effects of diltiazem on the breastfed child or the effects on milk production. The developmental and health benefits of breastfeeding should be considered along with the mother’s clinical need for Diltiazem Hydrochloride Injection and any potential adverse effects on the breastfed child from Diltiazem Hydrochloride Injection or from the underlying maternal condition.
8.4 Pediatric Use
Safety and effectiveness in pediatric patients have not been established.
8.5 Geriatric Use
Clinical studies of diltiazem did not include sufficient numbers of subjects aged 65 and over to determine whether they respond differently from younger subjects. Other reported clinical experience has not identified differences in responses between the elderly and younger patients. In general, dose selection for an elderly patient should be cautious, usually starting at the low end of the dosing range, reflecting the greater frequency of decreased hepatic, renal, or cardiac function, and of concomitant disease or other drug therapy.
10 Overdosage
Overdosage experience is limited. In the event of overdosage or an exaggerated response, appropriate supportive measures should be employed.
Diltiazem does not appear to be removed by peritoneal or hemodialysis. Limited data suggest that plasmapheresis may hasten diltiazem elimination following overdose.
The intravenous LD50's in mice and rats were 60 and 38 mg/kg, respectively. The toxic dose in humans is not known.
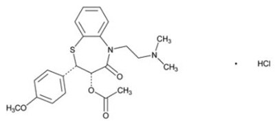
11 Description
Diltiazem Hydrochloride in Sodium Chloride Injection is a non-dihydropyridine calcium channel-blocker. Diltiazem hydrochloride is 1,5-benzothiazepin-4(5H)one,3-(acetyloxy)-5-[2-(dimethylamino)ethyl]-2, 3-dihydro-2-(4-methoxyphenyl)-, monohydrochloride, (+)-cis- with the molecular weight of 450.98 and structural formula:
Molecular formula: C22H26N204S.HCl
Diltiazem hydrochloride is a white to off-white crystalline powder with a bitter taste soluble in water, methanol, and chloroform.
Diltiazem Hydrochloride in Sodium Chloride Injection is a clear, colorless, sterile, nonpyrogenic, isotonic solution for intravenous use only. It is packaged in single-dose bags containing 100 mg/100 mL and 250 mg/250 mL. Each mL contains: 1 mg diltiazem hydrochloride, USP (equivalent to 0.92 mg diltiazem), 0.15 mg citric acid monohydrate, USP, 7.2 mg sodium chloride, USP, 0.13 mg sodium citrate dihydrate, USP, 10 mg sorbitol, NF, and water for injection, USP. Hydrochloric acid, NF and/or sodium hydroxide are added as needed to adjust pH to 4.5 - 5.5.
12.1 Mechanism Of Action
The therapeutic effects of diltiazem are believed to be related to inhibiting influx of calcium ions during membrane depolarization of cardiac and vascular smooth muscle.
Paroxysmal Supraventricular Tachycardia: Diltiazem slows AV nodal conduction time and prolongs AV nodal refractoriness. Diltiazem exhibits frequency- (use-) dependent effects on AV nodal conduction such that it may selectively reduce the heart rate during tachycardias involving the AV node with little or no effect on normal AV nodal conduction at normal heart rates.
Atrial Fibrillation or Atrial Flutter: Diltiazem slows the ventricular rate in patients with a rapid ventricular response during atrial fibrillation or atrial flutter. Diltiazem converts paroxysmal supraventricular tachycardia (PSVT) to normal sinus rhythm by interrupting the reentry circuit in AV nodal reentrant tachycardias and reciprocating tachycardias.
Diltiazem prolongs the sinus cycle length. It has no effect on the sinus node recovery time or on the sinoatrial conduction time in patients without SA nodal dysfunction. Diltiazem has no significant electrophysiologic effect on tissues in the heart that are fast sodium channel dependent, e.g., His-Purkinje tissue, atrial and ventricular muscle, and extra nodal accessory pathways.
Like other calcium channel antagonists, because of its effect on vascular smooth muscle, diltiazem decreases total peripheral resistance resulting in a decrease in both systolic and diastolic blood pressure.
12.2 Pharmacodynamics
Intravenous diltiazem hydrochloride 20 mg prolongs AH conduction time and AV node functional and effective refractory periods by approximately 20%. PR in healthy volunteers and HR in patients with atrial fibrillation and atrial flutter are dependent on plasma level of diltiazem. Based on this relationship, the mean plasma diltiazem concentration required to produce a 20%, 30% and 40% decrease in heart rate was determined to be 80 ng/mL, 130 ng/mL and 300 ng/mL, respectively.
In patients with cardiovascular disease, diltiazem hydrochloride administered intravenously in single bolus doses, followed in some cases by a continuous infusion, reduced blood pressure, systemic vascular resistance, the rate-pressure product, and coronary vascular resistance and increased coronary blood flow. In a limited number of studies of patients with compromised myocardium (severe congestive heart failure, acute myocardial infarction, hypertrophic cardiomyopathy), administration of intravenous diltiazem produced no significant effect on contractility, left ventricular end diastolic pressure, or pulmonary capillary wedge pressure. The mean ejection fraction and cardiac output/index remained unchanged or increased. Maximal hemodynamic effects usually occurred within 2 to 5 minutes of an injection. However, in rare instances, worsening of congestive heart failure has been reported in patients with preexisting impaired ventricular function.
12.3 Pharmacokinetics
Based on the results of pharmacokinetic studies in healthy volunteers administered different oral diltiazem hydrochloride formulations, constant rate intravenous infusions of diltiazem hydrochloride at 3, 5, 7, and 11 mg/h are predicted to produce steady-state plasma diltiazem concentrations equivalent to 120-, 180-, 240-, and 360-mg total daily oral doses of diltiazem hydrochloride tablets and diltiazem hydrochloride extended-release capsules.
Distribution
The volume of distribution of diltiazem is approximately 305 L. Diltiazem is 70% to 80% bound to plasma proteins. In vitro studies suggest alpha1-acid glycoprotein binds approximately 40% of the drug at clinically significant concentrations. Albumin appears to bind approximately 30% of the drug, while other constituents bind the remaining bound fraction. Competitive in vitro ligand binding studies have shown that diltiazem hydrochloride binding is not altered by therapeutic concentrations of digoxin, phenytoin, hydrochlorothiazide, indomethacin, phenylbutazone, propranolol, salicylic acid, tolbutamide, or warfarin.
Metabolism and Excretion
Diltiazem is extensively metabolized in the liver. After oral administration, diltiazem undergoes extensive metabolism in man by deacetylation, N-demethylation, and O-demethylation via cytochrome P-450 (oxidative metabolism) in addition to conjugation. Metabolites N-monodesmethyldiltiazem, desacetyldiltiazem, desacetyl-N-monodesmethyldiltiazem, desacetyl-O-desmethyldiltiazem, and desacetyl-N, O-desmethyldiltiazem have been identified in human urine. These metabolites are also observed following 24-hour constant rate intravenous infusion.
The systemic clearance of diltiazem has been found to be decreased in patients with atrial fibrillation or atrial flutter, compared to healthy volunteers. In patients administered continuous infusions at 10 mg/h or 15 mg/h for 24 h, diltiazem systemic clearance averaged 42 L/h and 31 L/h, respectively. The plasma elimination half-life is approximately 3.4 h. Total radioactivity measurement following short IV administration in healthy volunteers suggests the presence of other unidentified metabolites which attain higher concentrations than those of diltiazem and are more slowly eliminated; half-life of total radioactivity is about 20 h compared to 2 to 5 h for diltiazem.
After constant rate intravenous infusion to healthy male volunteers, diltiazem exhibits nonlinear pharmacokinetics over an infusion range of 4.8 to 13.2 mg/h for 24 h. Over this infusion range, as the dose is increased, systemic clearance decreases from 64 to 48 L/h while the plasma elimination half-life increases from 4.1 to 4.9 h. The volume of distribution remains unchanged (360 to 391 L).
Specific Populations
Renal insufficiency, or even end-stage renal disease, does not appear to influence diltiazem disposition following oral administration. Liver cirrhosis reduces diltiazem's apparent clearance and prolong its half-life.
Drug Interaction Studies
Effect of Diltiazem on Other Drugs:
Agents known to Decrease Peripheral Resistance, Cardiac Contractility and Conduction
Beta-blockers: Controlled and uncontrolled domestic studies suggest that concomitant use of diltiazem and beta-blockers is usually well tolerated, but available data are not sufficient to predict the effects of concomitant treatment in patients with left ventricular dysfunction or cardiac conduction abnormalities. Administration of diltiazem concomitantly with propranolol in five normal volunteers resulted in increased propranolol levels in all subjects and bioavailability of propranolol was increased approximately 50%. In vitro, propranolol appears to be displaced from its binding sites by diltiazem [see Warnings and Precautions (5.2, 5.3)].
Digitalis: Intravenous diltiazem has been administered to patients receiving either intravenous or oral digitalis therapy. The combination of the two drugs was well tolerated without serious adverse effects.
Ivabradine: Coadministration with diltiazem resulted in approximately 3-fold the AUC and Cmax of ivabradine and 20-60% increase in the active metabolite (S18982) exposure [see Drug Interactions (7)].
CYP3A4 Substrates
Benzodiazepines: With diltiazem, the AUC of midazolam and triazolam is 3- to 4-fold and the Cmax is 2-fold what they are alone. The elimination half-life of midazolam and triazolam also increased by 50-150% during coadministration with diltiazem [see Drug Interactions (7)].
Buspirone: With diltiazem, the mean buspirone AUC was about 5.5-fold and Cmax was about 4.1-fold what they are alone. The t1/2 and Tmax of buspirone were not affected by diltiazem [see Drug Interactions (7)].
Carbamazepine: Concomitant administration of diltiazem with carbamazepine was reported to result in elevated serum levels of carbamazepine (40% to 72% increase), resulting in toxicity in some cases [see Drug Interactions (7)].
Cyclosporine: In renal and cardiac transplant recipients, a reduction of cyclosporine dose ranging from 15% to 48% was necessary to maintain cyclosporine trough concentrations similar to those seen prior to the addition of diltiazem. If these agents are to be administered concurrently, cyclosporine concentrations should be monitored, especially when diltiazem therapy is initiated, adjusted, or discontinued. The effect of cyclosporine on diltiazem plasma concentrations has not been evaluated [see Drug Interactions (7)].
Quinidine: Diltiazem increases the AUC of quinidine by 51%, elimination half-life by 36%, and decreases its oral clearance by 33% [see Drug Interactions (7)].
Ranolazine: On coadministration with diltiazem 180 to 360 mg daily, the plasma levels of ranolazine are 2.2-to 2.8-fold what they are alone. Diltiazem plasma levels are not affected by ranolazine [see Drug Interactions (7)].
Statins: Diltiazem has been shown to increase the AUC of some statins. The risk of myopathy and rhabdomyolysis with statins metabolized by CYP3A4 may be increased with concomitant use of diltiazem [see Drug Interactions (7)].
Coadministration of a simvastatin with 120 mg BID diltiazem SR resulted in 5 times the mean simvastatin AUC versus simvastatin alone. Higher doses of diltiazem are likely to be worse.
Coadministration of a lovastatin with 120 mg BID diltiazem SR resulted in a 3 to 4 times the mean lovastatin AUC and Cmax versus lovastatin alone. In the same study, there was no significant change in AUC and Cmax of 20 mg single dose pravastatin during diltiazem coadministration. Diltiazem plasma levels were not significantly affected by lovastatin or pravastatin.
Effect of Other Drugs on Diltiazem:
CYP3A4 Inhibitors and Inducers
Cimetidine and Ranitidine: Coadministration with cimetidine increased Cmax of diltiazem by 58% and AUC by 53%. Ranitidine produced smaller, non-significant increases. The effect may be mediated by cimetidine's known inhibition of hepatic CYP3A, the enzyme system responsible for the first-pass metabolism of diltiazem [see Drug Interactions (7)].
Rifampin: Coadministration of rifampin with diltiazem lowered the diltiazem plasma concentrations to undetectable levels [see Drug Interactions (7)].
13.1 Carcinogenesis, Mutagenesis, Impairment Of Fertility
A 24-month study in rats at oral dosage levels of up to 100 mg/kg/day and a 21-month study in mice at oral dosage levels of up to 30 mg/kg/day showed no evidence of carcinogenicity. There was also no mutagenic response in vitro or in vivo in mammalian cell assays or in vitro in bacteria. No evidence of impaired fertility was observed in a study performed in male and female rats at oral dosages of up to 100 mg/kg/day.
14 Clinical Studies
In domestic controlled trials in patients with atrial fibrillation or atrial flutter, bolus administration of diltiazem hydrochloride injection was effective in reducing heart rate by at least 20% in 95% of patients. Diltiazem hydrochloride injection rarely converts atrial fibrillation or atrial flutter to normal sinus rhythm. Following administration of one or two intravenous bolus doses of diltiazem injection, response usually occurs within 3 minutes and maximal heart rate reduction generally occurs in 2 to 7 minutes. Heart rate reduction may last from 1 to 3 hours. If hypotension occurs, it is generally short-lived, but may last from 1 to 3 hours.
A 24-hour continuous infusion of diltiazem injection in the treatment of atrial fibrillation or atrial flutter maintained at least a 20% heart rate reduction during the infusion in 83% of patients. Upon discontinuation of infusion, heart rate reduction may last from 0.5 hours to more than 10 hours (median duration 7 hours). Hypotension, if it occurs, may be similarly persistent.
In the controlled clinical trials, 3.2% of patients required some form of intervention (typically, use of intravenous fluids or the Trendelenburg position) for blood pressure support following diltiazem hydrochloride injection.
In domestic controlled trials, bolus administration of diltiazem hydrochloride injection was effective in converting PSVT to normal sinus rhythm in 88% of patients within 3 minutes of the first or second bolus dose.
Symptoms associated with the arrhythmia were improved in conjunction with decreased heart rate or conversion to normal sinus rhythm following administration of diltiazem hydrochloride injection.
In controlled clinical trials, therapy with antiarrhythmic agents to maintain reduced heart rate in atrial fibrillation or atrial flutter or for prophylaxis of PSVT was generally started within 3 hours after bolus administration of diltiazem hydrochloride. These antiarrhythmic agents were intravenous or oral digoxin, Class 1 antiarrhythmics (e.g., quinidine, procainamide), calcium channel blockers, and oral beta-blockers.
16 How Supplied/Storage And Handling
Diltiazem Hydrochloride in Sodium Chloride Injection is supplied as a clear, colorless solution in a single-dose bag with an aluminum overwrap available as:
Total Strength per Total Volume | Strength per mL | Carton of 10 single-dose bags NDC | Bag and Overwrap NDC |
100 mg per 100 mL | 1 mg/mL | 44567-662-10 | 44567-662-01 |
250 mg per 250 mL | 1 mg/mL | 44567-663-10 | 44567-663-01 |
Discard any unused portion.
Store under refrigeration at 2°C to 8°C (36°F to 46°F). Do not freeze. The single-dose bags in their original overwraps may be stored for up to one month at 20°C to 25°C [68°F to 77°F], [See USP Controlled Room Temperature]. The bag and port are not made with natural rubber latex, PVC, or DEHP.
Product should be used within 28 days of removal from aluminum overwrap.
Manufactured for:
WG Critical Care, LLC
Paramus, NJ 07652
Made in Switzerland
Package/Label Principal Display Panel
NDC 44567-662-01
Diltiazem Hydrochloride
in 0.72% Sodium Chloride Injection
100 mg per 100 mL
(1 mg per mL)
NDC 44567-663-01
Diltiazem Hydrochloride
in 0.72% Sodium Chloride Injection
250 mg per 250 mL
(1 mg per mL)
* Please review the disclaimer below.

