Product Images Terconazole

View Photos of Packaging, Labels & Appearance

Product Label Images

The following 7 images provide visual information about the product associated with Terconazole NDC 45802-717 by Padagis Israel Pharmaceuticals Ltd, such as packaging, labeling, and the appearance of the drug itself. This resource could be helpful for medical professionals, pharmacists, and patients seeking to verify medication information and ensure they have the correct product.

2x314rcc7

2x314rcc7

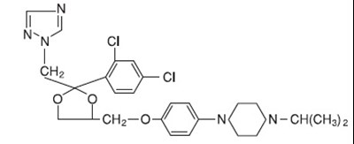
Structural Formula.jpg - image 01

Structural Formula.jpg - image 01

Image 1 - image 02

Image 1 - image 02

Image 2 - image 03

Image 2 - image 03

Image 3 - image 04

Image 3 - image 04

Image 4 - image 05

Image 4 - image 05

serialization template

serialization template

This text is a template for inserting the serial number, lot number, and expiration date of a product. It can be used to keep track of inventory and ensure products are not used beyond their expiration date.*

* The product label images have been analyzed using a combination of traditional computing and machine learning techniques. It should be noted that the descriptions provided may not be entirely accurate as they are experimental in nature. Use the information in this page at your own discretion and risk.