Product Images Nystatin And Triamcinolone Acetonide

View Photos of Packaging, Labels & Appearance

Product Label Images

The following 4 images provide visual information about the product associated with Nystatin And Triamcinolone Acetonide NDC 45802-880 by Padagis Israel Pharmaceuticals Ltd, such as packaging, labeling, and the appearance of the drug itself. This resource could be helpful for medical professionals, pharmacists, and patients seeking to verify medication information and ensure they have the correct product.

7M9 RC nystatin and triamcinolone acetonide cream image

7M9 RC nystatin and triamcinolone acetonide cream image

This is a product label for a cream containing 100,000 USP nystatin units and 1 mg triamcinolone acetonide, used for external use only. The cream base contains aluminum hydroxide, petroleum, and various other chemicals. Usual dosage is twice daily, and dosage instructions can be found on the package insert. The cream should be stored in a controlled room temperature environment, and users should avoid freezing. This label provides the National Drug Code (NDC) number, lot number, and expiration date, and provides instructions for puncturing the tube seal of the package.*

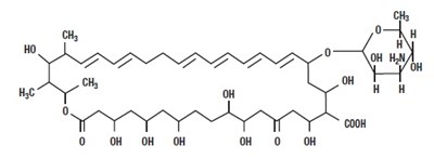
structural formula 1.jpg - image 01

structural formula 1.jpg - image 01

structural formula 2.jpg - image 02

structural formula 2.jpg - image 02

image 03

image 03

This is a template for tracking and identifying a product using its serial number, lot number, and expiration date. The information is typically used for quality control and inventory management purposes.*

* The product label images have been analyzed using a combination of traditional computing and machine learning techniques. It should be noted that the descriptions provided may not be entirely accurate as they are experimental in nature. Use the information in this page at your own discretion and risk.