Product Images Baclofen

View Photos of Packaging, Labels & Appearance

Product Label Images

The following 2 images provide visual information about the product associated with Baclofen NDC 45865-452 by Medsource Pharmaceuticals, such as packaging, labeling, and the appearance of the drug itself. This resource could be helpful for medical professionals, pharmacists, and patients seeking to verify medication information and ensure they have the correct product.

pdp - 452

pdp - 452

Baclofen is a medication that comes in 10mg tablets with the markings "W - T". The medication is intended for oral use and is manufactured by a company with the code "5865-0452-30". The recommended dosing is to take one tablet every few hours daily.*

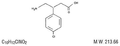
Chemical Structure - baclofen tablets usp 1

Chemical Structure - baclofen tablets usp 1

* The product label images have been analyzed using a combination of traditional computing and machine learning techniques. It should be noted that the descriptions provided may not be entirely accurate as they are experimental in nature. Use the information in this page at your own discretion and risk.