FDA Label for Clindamycin Phosphate
View Indications, Usage & Precautions
Clindamycin Phosphate Product Label
The following document was submitted to the FDA by the labeler of this product Medsource Pharmaceuticals. The document includes published materials associated whith this product with the essential scientific information about this product as well as other prescribing information. Product labels may durg indications and usage, generic names, contraindications, active ingredients, strength dosage, routes of administration, appearance, warnings, inactive ingredients, etc.
Description
Clindamycin Phosphate Topical Solution, USP 1% contains clindamycin phosphate, USP, at a concentration equivalent to 10 mg clindamycin per milliliter.
Clindamycin phosphate is a water soluble ester of the semi-synthetic antibiotic produced by a 7(S)-chloro-substitution of the 7(R)-hydroxyl group of the parent antibiotic lincomycin.
The solution contains isopropyl alcohol 50% v/v, propylene glycol, purified water and sodium hydroxide. Sodium hydroxide or hydrochloric acid may be added to adjust pH.
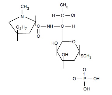
The structural formula is represented below:
The chemical name for clindamycin phosphate is Methyl 7-chloro-6,7,8-trideoxy-6-(1-methyl- trans-4-propyl-L-2-pyrrolidinecarboxamido)-1- thio-L- threo-α-D- galacto-octopyranoside 2-(dihydrogen phosphate).
Clinical Pharmacology
Although clindamycin phosphate is inactive in vitro, rapid in vivo hydrolysis converts this compound to the antibacterially active clindamycin.
Cross resistance has been demonstrated between clindamycin and lincomycin.
Antagonism has been demonstrated between clindamycin and erythromycin.
Following multiple topical applications of clindamycin phosphate at a concentration equivalent to 10 mg clindamycin per mL in an isopropyl alcohol and water solution, very low levels of clindamycin are present in the serum (0-3 ng/mL) and less than 0.2% of the dose is recovered in urine as clindamycin.
Clindamycin activity has been demonstrated in comedones from acne patients. The mean concentration of antibiotic activity in extracted comedones after application of Clindamycin Phosphate Topical Solution for 4 weeks was 597 mcg/g of comedonal material (range 0-1490). Clindamycin in vitro inhibits all Propionibacterium acnes cultures tested (MICs 0.4 mcg/mL). Free fatty acids on the skin surface have been decreased from approximately 14% to 2% following application of clindamycin.
Indications And Usage
Clindamycin Phosphate Topical Solution, USP 1% is indicated in the treatment of acne vulgaris. In view of the potential for diarrhea, bloody diarrhea and pseudomembranous colitis, the physician should consider whether other agents are more appropriate. (See CONTRAINDICATIONS, WARNINGS and ADVERSE REACTIONS).
Contraindications
Clindamycin Phosphate Topical Solution is contraindicated in individuals with a history of hypersensitivity to preparations containing clindamycin or lincomycin, a history of regional enteritis or ulcerative colitis, or a history of antibiotic-associated colitis.
Warnings
Orally and parenterally administered clindamycin has been associated with severe colitis which may result in patient death. Use of the topical formulation of clindamycin results in absorption of the antibiotic from the skin surface. Diarrhea, bloody diarrhea, and colitis (including pseudomembranous colitis) have been reported with the use of topical and systemic clindamycin.
Studies indicate a toxin(s) produced by clostridia is one primary cause of antibiotic-associated colitis. The colitis is usually characterized by severe persistent diarrhea and severe abdominal cramps and may be associated with the passage of blood and mucus. Endoscopic examination may reveal pseudomembranous colitis. Stool culture for Clostridium difficile and stool assay for C. difficile toxin may be helpful diagnostically .
When significant diarrhea occurs, the drug should be discontinued. Large bowel endoscopy should be considered to establish a definitive diagnosis in cases of severe diarrhea.
Antiperistaltic agents such as opiates and diphenoxylate with atropine may prolong and/or worsen the condition. Vancomycin has been found to be effective in the treatment of antibiotic-associated pseudomembranous colitis produced by Clostridium difficile. The usual adult dosage is 500 milligrams to 2 grams of vancomycin orally per day in three to four divided doses administered for 7 to 10 days. Cholestyramine or colestipol resins bind vancomycin in vitro. If both a resin and vancomycin are to be administered concurrently, it may be advisable to separate the time of administration of each drug.
Diarrhea, colitis, and pseudomembranous colitis have been observed to begin up to several weeks following cessation of oral and parenteral therapy with clindamycin.
Precautions
General: Clindamycin Phosphate Topical Solution contains an alcohol base which will cause burning and irritation of the eye. In the event of accidental contact with sensitive surfaces (eye, abraded skin, mucous membranes), bathe with copious amounts of cool tap water. The solution has an unpleasant taste and caution should be exercised when applying medication around the mouth.
Clindamycin Phosphate Topical Solution should be prescribed with caution in atopic individuals.
Drug Interactions:
Clindamycin has been shown to have neuromuscular blocking properties that may enhance the action of other neuromuscular blocking agents. Therefore it should be used with caution in patients receiving such agents.
Pregnancy: Teratogenic Effects
In clinical trials with pregnant women, the systemic administration of clindamycin during the second and third trimesters has not been associated with an increased frequency of congenital abnormalities. There are no adequate studies in pregnant women during the first trimester of pregnancy. Clindamycin should be used during the first trimester of pregnancy only if clearly needed.
Nursing Mothers:
It is not known whether clindamycin is excreted in human milk following use of Clindamycin Phosphate Topical Solution. However, orally and parenterally administered clindamycin has been reported to appear in breast milk. Clindamycin has the potential to cause adverse effects on the breastfed infant's gastrointestinal flora. If oral or intravenous clindamycin is required by a nursing mother, it is not a reason to discontinue breastfeeding, but an alternate drug may be preferred. Monitor the infant for possible adverse effects on the gastrointestinal flora, such as diarrhea, candidiasis (thrush, diaper rash) or rarely, blood in the stool indicating possible antibiotic- associated colitis.
The developmental and health benefits of breastfeeding should be considered along with the mother's clinical need for clindamycin and any potential adverse effects on the breastfed child from clindamycin or from the underlying maternal condition.
Pediatric Use:
Safety and effectiveness in pediatric patients under the age of 12 have not been established.
Geriatric Use:
Clinical studies for clindamycin phosphate topical solution did not include sufficient numbers of subjects aged 65 and over to determine whether they respond differently from younger subjects. Other reported clinical experience has not identified differences in responses between the elderly and younger patients.
Adverse Reactions
In 18 clinical studies of various formulations of clindamycin phosphate using placebo vehicle and/or active comparator drugs as controls, patients experienced a number of treatment emergent adverse dermatologic events [see table below].
| Treatment Emergent
Adverse Event | Solution
n=553 ( % ) | Gel
n=148 ( % ) | Lotion
n=160 ( % ) |
| Burning | 62 (11) | 15 (10) | 17 (11) |
| Itching | 36 (7) | 15 (10) | 17 (11) |
| Burning/Itching | 60 (11) | # (-) | # (-) |
| Dryness | 105 (19) | 34 (23) | 29 (18) |
| Erythema | 86 (16) | 10 (7) | 22 (14) |
| Oiliness/Oily Skin | 8 (1) | 26 (18) | 12* (10) |
| Peeling | 61 (11) | # (-) | 11 (7) |
# not recorded
* of 126 subjects
Orally and parenterally administered clindamycin has been associated with severe colitis which may end fatally.
Cases of diarrhea, bloody diarrhea and colitis (including pseudomembranous colitis) have been reported as adverse reactions in patients treated with oral and parenteral formulations of clindamycin and rarely with topical clindamycin (see WARNINGS).
Abdominal pain, gastrointestinal disturbances, gram-negative folliculitis, eye pain and contact dermatitis have also been reported in association with the use of topical formulations of clindamycin.
To report SUSPECTED ADVERSE REACTIONS, contact G&W Laboratories, Inc. at 1-800-922-1038 or FDA at 1-800-FDA-1088 or
www.fda.gov/medwatch.
Overdosage
Topically applied Clindamycin Phosphate Topical Solution can be absorbed in sufficient amounts to produce systemic effects (see WARNINGS).
Dosage And Administration
Apply a thin film of Clindamycin Phosphate Topical Solution twice daily to affected area. Keep all liquid dosage forms in containers tightly closed.
How Supplied
Clindamycin Phosphate Topical Solution, USP 1% containing clindamycin phosphate equivalent to 10 mg clindamycin per milliliter is available in the following sizes:
30 mL applicator bottles – NDC 0472-0987-91
60 mL applicator bottles – NDC 0472-0987-92
Store at 20°-25°C (68°-77°F) [See USP Controlled Room Temperature].
Protect from freezing.
Manufactured by:
G&W Laboratories, Inc.
111 Coolidge Street
South Plainfield, NJ 07080
Distributed by:
Actavis Pharma, Inc.
Parsippany, NJ 07054 USA
Rev. 11/2017
8-0321ACT6
Principal Display Panel
* Please review the disclaimer below.

