Product Images Metaxalone

View Photos of Packaging, Labels & Appearance

Product Label Images

The following 3 images provide visual information about the product associated with Metaxalone NDC 45865-942 by Medsource Pharmaceuticals, such as packaging, labeling, and the appearance of the drug itself. This resource could be helpful for medical professionals, pharmacists, and patients seeking to verify medication information and ensure they have the correct product.

pdp - 942

pdp - 942

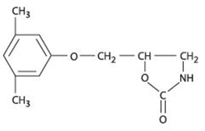
structural formula - metaxalone tablets 1

structural formula - metaxalone tablets 1

Figure 1 - metaxalone tablets 2

Figure 1 - metaxalone tablets 2

The text describes Figure 1, which shows the mean and standard deviation concentrations of Metaxalone after taking an 800 mg dose under fasted and fed conditions.*

* The product label images have been analyzed using a combination of traditional computing and machine learning techniques. It should be noted that the descriptions provided may not be entirely accurate as they are experimental in nature. Use the information in this page at your own discretion and risk.