Product Images Silodosin

View Photos of Packaging, Labels & Appearance

Product Label Images

The following 8 images provide visual information about the product associated with Silodosin NDC 46708-405 by Alembic Pharmaceuticals Limited, such as packaging, labeling, and the appearance of the drug itself. This resource could be helpful for medical professionals, pharmacists, and patients seeking to verify medication information and ensure they have the correct product.

30 Capsules - silodosin 4mg

30 Capsules - silodosin 4mg

30 Capsules - silodosin 8mg

30 Capsules - silodosin 8mg

Figure 1 - silodosin figur1

Figure 1 - silodosin figur1

Figure 2 - silodosin figur2

Figure 2 - silodosin figur2

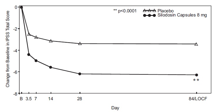
The text provides information about the change observed in IPSS Total Score in a clinical study. The change was statistically significant (p<0.0001) and was observed between a group receiving Aries Placebo and a group receiving Silodosin Capsules 8 mg. The study was conducted over a period of 84 days and included a total of 357 participants. The last observation was carried forward (LOCF) for some participants.*

Figure 3 - silodosin figur3

Figure 3 - silodosin figur3

The text describes the change from baseline in IPSS (International Prostate Symptom Score) total score. The result shows significant improvement with silodosin capsules 8 mg compared to a placebo, with p-value less than 0.0001. The data is presented in a table with three columns - A (Placebo), @-e-e Silodosin Capsules 8 mg, and B 357, and four rows representing the change in IPSS total score at day 14, 28, and 84 (last observation carried forward).*

Figure 4 - silodosin figur4

Figure 4 - silodosin figur4

The text provides information about the change from the baseline in Qmax (maximum urinary flow rate) measured in mL/sec. The results show a statistically significant improvement with a p-value of less than 0.05 for Silodosin Capsules 8mg compared to Placebo. However, without additional context or explanation, it is difficult to understand the full implications of these findings.*

Figure 5 - silodosin figur5

Figure 5 - silodosin figur5

The text provides information on the change from baseline in maximum flow rate (Qmax) in mL/sec, with statistical significance indicated by "p<0.05" in comparison to placebo. The medication being evaluated is Silodosin Capsules 8 mg. There is also a graph with numerical values plotted for days 3, 14, 28, and 84, with "LOCF" likely referring to the last observation carried forward method.*

Structure - silodosin structure

Structure - silodosin structure

* The product label images have been analyzed using a combination of traditional computing and machine learning techniques. It should be noted that the descriptions provided may not be entirely accurate as they are experimental in nature. Use the information in this page at your own discretion and risk.