FDA Label for Hydrocodone Bitartrate

View Indications, Usage & Precautions

    1. WARNING: ADDICTION, ABUSE, AND MISUSE; RISK EVALUATION AND MITIGATION STRATEGY (REMS); LIFE-THREATENING RESPIRATORY DEPRESSION; ACCIDENTAL INGESTION; NEONATAL OPIOID WITHDRAWAL SYNDROME; CYTOCHROME P450 3A4 INTERACTION; AND RISKS FROM CONCOMITANT USE WITH BENZODIAZEPINES AND OTHER CNS DEPRESSANTS
    2. 1 INDICATIONS AND USAGE
    3. 2 DOSAGE AND ADMINISTRATION
    4. 2.1 IMPORTANT DOSAGE AND ADMINISTRATION INFORMATION
    5. 2.2 INITIAL DOSAGE
    6. 2.3 TITRATION AND MAINTENANCE OF THERAPY
    7. 2.4 DOSAGE MODIFICATIONS IN PATIENTS WITH SEVERE HEPATIC IMPAIRMENT
    8. 2.5 DOSAGE MODIFICATIONS IN PATIENTS WITH MODERATE TO SEVERE RENAL IMPAIRMENT
    9. 2.6 SAFE REDUCTION OR DISCONTINUATION OF HYDROCODONE BITARTRATE EXTENDED-RELEASE TABLETS
    10. 3 DOSAGE FORMS AND STRENGTHS
    11. 4 CONTRAINDICATIONS
    12. 5 WARNINGS AND PRECAUTIONS
    13. 5.1 ADDICTION, ABUSE, AND MISUSE
    14. 5.2  OPIOID ANALGESIC RISK EVALUATION AND MITIGATION STRATEGY (REMS)
    15. 5.3 LIFE-THREATENING RESPIRATORY DEPRESSION
    16. 5.4 NEONATAL OPIOID WITHDRAWAL SYNDROME
    17. 5.5 RISKS OF CONCOMITANT USE OR DISCONTINUATION OF CYTOCHROME P450 3A4 INHIBITORS AND INDUCERS
    18. 5.6 RISKS FROM CONCOMITANT USE WITH BENZODIAZEPINES OR OTHER CNS DEPRESSANTS
    19. 5.7 LIFE-THREATENING RESPIRATORY DEPRESSION IN PATIENTS WITH CHRONIC PULMONARY DISEASE OR IN ELDERLY, CACHECTIC, OR DEBILITATED PATIENTS
    20. 5.8 ADRENAL INSUFFICIENCY
    21. 5.9 SEVERE HYPOTENSION
    22. 5.10 QTC INTERVAL PROLONGATION
    23. 5.11 RISKS OF USE IN PATIENTS WITH INCREASED INTRACRANIAL PRESSURE, BRAIN TUMORS, HEAD INJURY, OR IMPAIRED CONSCIOUSNESS
    24. 5.12 GASTROINTESTINAL OBSTRUCTION, DYSPHAGIA, AND CHOKING
    25. 5.13 RISKS OF USE IN PATIENTS WITH GASTROINTESTINAL CONDITIONS
    26. 5.14 INCREASED RISK OF SEIZURES IN PATIENTS WITH SEIZURE DISORDERS
    27. 5.15 WITHDRAWAL
    28. 5.16 RISKS OF DRIVING AND OPERATING MACHINERY
    29. 6 ADVERSE REACTIONS
    30. 6.1 CLINICAL TRIAL EXPERIENCE
    31. 6.2 POSTMARKETING EXPERIENCE
    32. 7 DRUG INTERACTIONS
    33. 8 USE IN SPECIFIC POPULATIONS
    34. 8.1 PREGNANCY
    35. 8.2 LACTATION
    36. 8.3 FEMALES AND MALES OF REPRODUCTIVE POTENTIAL
    37. 8.4 PEDIATRIC USE
    38. 8.5 GERIATRIC USE
    39. 8.6 HEPATIC IMPAIRMENT
    40. 8.7 RENAL IMPAIRMENT
    41. 9 DRUG ABUSE AND DEPENDENCE
    42. 9.1 CONTROLLED SUBSTANCE
    43. 9.2 ABUSE
    44. 9.3 DEPENDENCE
    45. 10 OVERDOSAGE
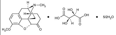
    46. 11 DESCRIPTION
    47. 12 CLINICAL PHARMACOLOGY
    48. 12.1 MECHANISM OF ACTION
    49. 12.2 PHARMACODYNAMICS
    50. 12.3 PHARMACOKINETICS
    51. 13 NONCLINICAL TOXICOLOGY
    52. 13.1 CARCINOGENESIS, MUTAGENESIS, IMPAIRMENT OF FERTILITY
    53. 14.1 MODERATE TO SEVERE CHRONIC LOWER BACK PAIN STUDY
    54. 16 HOW SUPPLIED/STORAGE AND HANDLING
    55. 17 PATIENT COUNSELING INFORMATION

Hydrocodone Bitartrate Product Label

The following document was submitted to the FDA by the labeler of this product Alvogen Inc.. The document includes published materials associated whith this product with the essential scientific information about this product as well as other prescribing information. Product labels may durg indications and usage, generic names, contraindications, active ingredients, strength dosage, routes of administration, appearance, warnings, inactive ingredients, etc.

Warning: Addiction, Abuse, And Misuse; Risk Evaluation And Mitigation Strategy (Rems); Life-Threatening Respiratory Depression; Accidental Ingestion; Neonatal Opioid Withdrawal Syndrome; Cytochrome P450 3A4 Interaction; And Risks From Concomitant Use With Benzodiazepines And Other Cns Depressants



Addiction, Abuse, and Misuse
Hydrocodone bitartrate extended-release tablets expose patients and other users to the risks of opioid addiction, abuse, and misuse, which can lead to overdose and death. Assess each patient’s risk prior to prescribing hydrocodone bitartrate extended-release tablets, and monitor all patients regularly for the development of these behaviors and conditions
[see Warnings and Precautions (5.1)].

Opioid Analgesic Risk Evaluation and Mitigation Strategy (REMS) 

To ensure that the benefits of opioid analgesics outweigh the risks of addiction, abuse, and misuse, the Food and Drug Administration (FDA) has required a REMS for these products [see Warnings and Precautions (5.2)]. Under the requirements of the REMS, drug companies with approved opioid analgesic products must make REMS-compliant education programs available to healthcare providers. Healthcare providers are strongly encouraged to
• complete a REMS-compliant education program,

• counsel patients and/or their caregivers, with every prescription, on safe use, serious risks, storage, and disposal of these products,

• emphasize to patients and their caregivers the importance of reading the Medication Guide every time it is provided by their pharmacist, and
• consider other tools to improve patient, household, and community safety.

Life-Threatening Respiratory Depression
Serious, life-threatening, or fatal respiratory depression may occur with use of
hydrocodone bitartrate extended-release tablets. Monitor for respiratory depression, especially during initiation of hydrocodone bitartrate extended-release tablets or following a dose increase. Instruct patients to swallow hydrocodone bitartrate extended-release tablets whole; crushing, chewing, or dissolving hydrocodone bitartrate extended-release tablets can cause rapid release and absorption of a potentially fatal dose of hydrocodone
[see Warnings and Precautions (5.3)].

Accidental Ingestion
Accidental ingestion of even one dose of
hydrocodone bitartrate extended-release tablets, especially by children, can result in a fatal overdose of hydrocodone
[see Warnings and Precautions (5.3)].

Neonatal Opioid Withdrawal Syndrome
Prolonged use of
hydrocodone bitartrate extended-release tablets during pregnancy can result in neonatal opioid withdrawal syndrome, which may be life-threatening if not recognized and treated, and requires management according to protocols developed by neonatology experts. If opioid use is required for a prolonged period in a pregnant woman, advise the patient of the risk of neonatal opioid withdrawal syndrome and ensure that appropriate treatment will be available
[see Warnings and Precautions (5.4)].

Cytochrome P450 3A4 Interaction
The concomitant use of
hydrocodone bitartrate extended-release tablets with all cytochrome P450 3A4 inhibitors may result in an increase in hydrocodone plasma concentrations, which could increase or prolong adverse reactions and may cause potentially fatal respiratory depression. In addition, discontinuation of a concomitantly used cytochrome P450 3A4 inducer may result in an increase in hydrocodone plasma concentration. Monitor patients receiving hydrocodone bitartrate extended-release tablets and any CYP3A4 inhibitor or inducer [see Warnings and Precautions (5.5), Drug Interactions (7), and Clinical Pharmacology (12.3)].

Risks From Concomitant Use With Benzodiazepines Or Other CNS Depressants
Concomitant use of opioids with benzodiazepines or other central nervous system (CNS) depressants, including alcohol, may result in profound sedation, respiratory depression, coma, and death
[see Warnings and Precautions (5.6), Drug Interactions (7)].

  • Reserve concomitant prescribing of hydrocodone bitartrate extended-release tablets and benzodiazepines or other CNS depressants for use in patients for whom alternative treatment options are inadequate.
  • Limit dosages and durations to the minimum required.
  • Follow patients for signs and symptoms of respiratory depression and sedation.

1 Indications And Usage



Hydrocodone bitartrate extended-release tablets are indicated for the management of pain severe enough to require daily, around-the-clock, long-term opioid treatment and for which alternative treatment options are inadequate.

Limitations of Use

  • Because of the risks of addiction, abuse, and misuse with opioids, even at recommended doses, and because of the greater risks of overdose and death with extended-release opioid formulations [see Warnings and Precautions (5.1)], reserve hydrocodone bitartrate extended-release tablets for use in patients for whom alternative treatment options (e.g., non-opioid analgesics or immediate-release opioids) are ineffective, not tolerated, or would be otherwise inadequate to provide sufficient management of pain.
  • Hydrocodone bitartrate extended-release tablets are not indicated as an as-needed (prn) analgesic.

2 Dosage And Administration




2.1 Important Dosage And Administration Information



Hydrocodone bitartrate extended-release tablets should be prescribed only by healthcare professionals who are knowledgeable in the use of potent opioids for the management of chronic pain.

Daily doses of hydrocodone bitartrate extended-release tablets greater than or equal to 80 mg are only for use in patients in whom tolerance to an opioid of comparable potency has been established. Patients who are opioid tolerant are those receiving, for one week or longer, at least 60 mg oral morphine per day, 25 mcg transdermal fentanyl per hour, 30 mg oral oxycodone per day, 8 mg oral hydromorphone per day, 25 mg oral oxymorphone per day, 60 mg oral hydrocodone per day, or an equianalgesic dose of another opioid.

  • Use the lowest effective dosage for the shortest duration consistent with individual patient treatment goals [see Warnings and Precautions (5)].
  • Initiate the dosing regimen for each patient individually; taking into account the patient's severity of pain, patient response, prior analgesic treatment experience, and risk factors for addiction, abuse, and misuse [see Warnings and Precautions (5.1)].
  • Monitor patients closely for respiratory depression, especially within the first 24 to 72 hours of initiating therapy and following dosage increases with hydrocodone bitartrate extended-release tablets and adjust the dosage accordingly [see Warnings and Precautions (5.3)].
  • Instruct patients to swallow hydrocodone bitartrate extended-release tablets whole, one tablet at a time, with enough water to ensure complete swallowing immediately after placing in the mouth [see Patient Counseling Information (17)]. Instruct patients not to pre-soak, lick, or otherwise wet the tablet prior to placing in the mouth [see Warnings and Precautions (5.12)]. Crushing, chewing, or dissolving hydrocodone bitartrate extended-release tablets will result in uncontrolled delivery of hydrocodone and can lead to overdose or death [see Warnings and Precautions (5.1)].

    Hydrocodone bitartrate extended-release tablets are administered orally once daily (every 24 hours). Multiple tablets of lower dose strengths that provide the desired total daily dose can be taken as a once daily dose.


2.2 Initial Dosage



Use of Hydrocodone Bitartrate Extended-Release Tablets as the First Opioid Analgesic (opioid-naïve patients)

Initiate therapy with 20 mg hydrocodone bitartrate extended-release tablets orally every 24 hours.

Use of Hydrocodone Bitartrate Extended-Release Tablets in Patients who are not Opioid Tolerant (opioid non-tolerant patients)

The starting dose for patients who are not opioid tolerant is 20 mg hydrocodone bitartrate extended-release tablets orally every 24 hours.

Use of higher starting doses in patients who are not opioid tolerant may cause fatal respiratory depression [see Warnings and Precautions (5.3)].

Conversion from Oral Hydrocodone Formulations to Hydrocodone Bitartrate Extended-Release Tablets

Patients receiving other oral hydrocodone-containing formulations may be converted to hydrocodone bitartrate extended-release tablets by administering the patient's total daily oral hydrocodone dose as hydrocodone bitartrate extended-release tablets once daily.

Conversion from Other Oral Opioids to Hydrocodone Bitartrate Extended-Release Tablets

Discontinue all other around-the-clock opioid drugs when hydrocodone bitartrate extended-release therapy is initiated.

There is inter-patient variability in the relative potency of opioid drugs and formulations. Therefore, a conservative approach is advised when determining the total daily dosage of hydrocodone bitartrate extended-release tablets. It is safer to underestimate a patient’s 24-hour oral hydrocodone dosage and provide rescue medication (e.g., immediate-release opioid) than to overestimate the 24-hour oral hydrocodone dosage and manage an adverse reaction due to an overdose.

In a hydrocodone bitartrate extended-release tablets clinical trial with an open-label titration period, patients were converted from their prior opioid to hydrocodone bitartrate extended-release tablets using Table 1 as a guide for the initial hydrocodone bitartrate extended-release tablets dose. To obtain the initial hydrocodone bitartrate extended-release tablets dose, first use Table 1 to convert the prior oral opioids to a total hydrocodone daily dose and then reduce the calculated daily hydrocodone dose by 25% to account for interpatient variability in relative potency of different opioids.

Consider the following when using the information found in Table 1.

  • This is not a table of equianalgesic doses.
  • The conversion factors in this table are only for the conversion from one of the listed oral opioid analgesics to hydrocodone bitartrate extended-release tablets.
  • The table cannot be used to convert from hydrocodone bitartrate extended-release tablets to another opioid. Doing so will result in an over-estimation of the dose of the new opioid and may result in fatal overdose.
  • Table 1. Conversion factors to hydrocodone bitartrate extended-release tablets (Not Equianalgesic Doses)

    OpioidOral dose (mg)Approximate
    oral conversion
    factor
    Codeine1330.15
    Hydromorphone54
    Methadone13.31.5
    Morphine400.5
    Oxycodone201
    Oxymorphone102
    Tramadol2000.1

    To calculate the estimated total hydrocodone daily dose using Table 1:

    • For patients on a single opioid, sum the current total daily dose of the opioid and then multiply the total daily dose by the approximate oral conversion factor to calculate the approximate oral hydrocodone daily dose.
    • For patients on a regimen of more than one opioid, calculate the approximate oral hydrocodone dose for each opioid and sum the totals to obtain the approximate oral hydrocodone daily dose.
    • For patients on a regimen of fixed-ratio opioid/non-opioid analgesic products, use only the opioid component of these products in the conversion.
    • Reduce the calculated daily oral hydrocodone dose by 25%.
    • Always round the dose down, if necessary, to the nearest hydrocodone bitartrate extended-release tablet strength available and initiate therapy with that dose. If the converted hydrocodone bitartrate extended-release tablets dose using Table 1 is less than 20 mg, initiate therapy with 20 mg hydrocodone bitartrate extended-release tablets.

      Example conversion from a single opioid to hydrocodone bitartrate extended-release tablets: For example, a total daily dose of oxycodone 50 mg would be converted to hydrocodone 50 mg based on the table above, and then multiplied by 0.75 (i.e., take a 25 % reduction) resulting in a dose of 37.5 mg hydrocodone. Round this down to the nearest dose strength available, 30 mg hydrocodone bitartrate extended-release tablets, to initiate therapy.

      Close observation and frequent titration are warranted until pain management is stable on the new opioid. Monitor patients for signs and symptoms of opioid withdrawal or for signs of over-sedation/toxicity after converting patients to hydrocodone bitartrate extended-release tablets.

      Conversion from Methadone to Hydrocodone Bitartrate Extended-Release Tablets

      Close monitoring is of particular importance when converting from methadone to other opioid agonists. The ratio between methadone and other opioid agonists may vary widely as a function of previous dose exposure. Methadone has a long half-life and can accumulate in the plasma.

      Conversion from Transdermal Fentanyl to Hydrocodone Bitartrate Extended-Release Tablets

      Eighteen hours following the removal of the transdermal fentanyl patch, hydrocodone bitartrate extended-release tablet treatment can be initiated. For each 25 mcg/hr fentanyl transdermal patch, a dose of 20 mg hydrocodone bitartrate extended-release tablets every 24 hours represents a conservative initial dose. Follow the patient closely during conversion from transdermal fentanyl to hydrocodone bitartrate extended-release tablets, as there is limited experience with this conversion.

      Conversion from Transdermal Buprenorphine to Hydrocodone Bitartrate Extended-Release Tablets

      All patients receiving transdermal buprenorphine (≤ 20 mcg/hr) should initiate therapy with 20 mg hydrocodone bitartrate extended-release tablets every 24 hours. Follow the patient closely during conversion from transdermal buprenorphine to hydrocodone bitartrate extended-release tablets, as there is limited experience with this conversion.


2.3 Titration And Maintenance Of Therapy



Individually titrate hydrocodone bitartrate extended-release tablets to a dose that provides adequate analgesia and minimizes adverse reactions. Continually reevaluate patients receiving hydrocodone bitartrate extended-release tablets to assess the maintenance of pain control and the relative incidence of adverse reactions, as well as monitoring for the development of addiction, abuse, or misuse [see Warnings and Precautions (5.1)]. Frequent communication is important among the prescriber, other members of the healthcare team, the patient, and the caregiver/family during periods of changing analgesic requirements, including initial titration. During chronic therapy, periodically reassess the continued need for the use of opioid analgesics.

Patients who experience breakthrough pain may require a dosage adjustment of hydrocodone bitartrate extended-release tablets, or may need rescue medication with an appropriate dose of an immediate-release analgesic. If the level of pain increases after dose stabilization, attempt to identify the source of increased pain before increasing the hydrocodone bitartrate extended-release tablets dosage. Adjust the dose of hydrocodone bitartrate extended-release tablets in increments of 10 mg to 20 mg every 3 to 5 days as needed to achieve adequate analgesia.

If unacceptable opioid-related adverse reactions are observed, consider reducing the dosage. Adjust the dosage to obtain an appropriate balance between management of pain and opioid-related adverse reactions.


2.4 Dosage Modifications In Patients With Severe Hepatic Impairment



Patients with severe hepatic impairment may have higher plasma concentrations of hydrocodone than those with normal function. Initiate therapy with one half the initial dose of hydrocodone bitartrate extended-release tablets in these patients and monitor closely for respiratory depression, sedation, and hypotension [see Clinical Pharmacology (12.3)].


2.5 Dosage Modifications In Patients With Moderate To Severe Renal Impairment



Patients with moderate to severe renal impairment, and end-stage renal disease may have higher plasma concentrations than those with normal function. Initiate therapy with one half the initial dose of hydrocodone bitartrate extended-release tablets in these patients and monitor closely for respiratory depression, sedation, and hypotension [see Clinical Pharmacology (12.3)].


2.6 Safe Reduction Or Discontinuation Of Hydrocodone Bitartrate Extended-Release Tablets



Do not abruptly discontinue hydrocodone bitartrate extended-release tablets in patients who may be physically dependent on opioids. Rapid discontinuation of opioid analgesics in patients who are physically dependent on opioids has resulted in serious withdrawal symptoms, uncontrolled pain, and suicide. Rapid discontinuation has also been associated with attempts to find other sources of opioid analgesics, which may be confused with drug-seeking for abuse. Patients may also attempt to treat their pain or withdrawal symptoms with illicit opioids, such as heroin, and other substances.

When a decision has been made to decrease the dose or discontinue therapy in an opioid-dependent patient taking hydrocodone bitartrate extended-release tablets, there are a variety of factors that should be considered, including the dose of hydrocodone bitartrate extended-release tablets the patient has been taking, the duration of treatment, the type of pain being treated, and the physical and psychological attributes of the patient. It is important to ensure ongoing care of the patient and to agree on an appropriate tapering schedule and follow-up plan so that patient and provider goals and expectations are clear and realistic. When opioid analgesics are being discontinued due to a suspected substance use disorder, evaluate and treat the patient, or refer for evaluation and treatment of the substance use disorder. Treatment should include evidence-based approaches, such as medication assisted treatment of opioid use disorder. Complex patients with comorbid pain and substance use disorders may benefit from referral to a specialist.

There are no standard opioid tapering schedules that are suitable for all patients. Good clinical practice dictates a patient-specific plan to taper the dose of the opioid gradually. For patients on hydrocodone bitartrate extended-release tablets who are physically opioid-dependent, initiate the taper by a small enough increment (e.g., no greater than 10% to 25% of the total daily dose) to avoid withdrawal symptoms, and proceed with dose-lowering at an interval of every 2 to 4 weeks. Patients who have been taking opioids for briefer periods of time may tolerate a more rapid taper.

It may be necessary to provide the patient with lower dosage strengths to accomplish a successful taper. Reassess the patient frequently to manage pain and withdrawal symptoms, should they emerge. Common withdrawal symptoms include restlessness, lacrimation, rhinorrhea, yawning, perspiration, chills, myalgia, and mydriasis. Other signs and symptoms also may develop, including irritability, anxiety, backache, joint pain, weakness, abdominal cramps, insomnia, nausea, anorexia, vomiting, diarrhea, or increased blood pressure, respiratory rate, or heart rate. If withdrawal symptoms arise, it may be necessary to pause the taper for a period of time or raise the dose of the opioid analgesic to the previous dose, and then proceed with a slower taper. In addition, monitor patients for any changes in mood, emergence of suicidal thoughts, or use of other substances.

When managing patients taking opioid analgesics, particularly those who have been treated for a long duration and/or with high doses for chronic pain, ensure that a multimodal approach to pain management, including mental health support (if needed), is in place prior to initiating an opioid analgesic taper. A multimodal approach to pain management may optimize the treatment of chronic pain, as well as assist with the successful tapering of the opioid analgesic [see Warnings and Precautions (5.15), Drug Abuse and Dependence (9.3)].


3 Dosage Forms And Strengths



  • 20 mg film-coated extended release tablets (white, round, film-coated tablet, “A392” printed in black ink on one side, blank on the other side)
  • 30 mg film-coated extended release tablets (beige, round, film-coated tablet, “A393” printed in black ink on one side, blank on the other side)
  • 40 mg film-coated extended release tablets (pink, round, film-coated tablet, “A394” printed in black ink on one side, blank on the other side)
  • 60 mg film-coated extended release tablets (blue, round, film-coated tablet, “A395” printed in black ink on one side, blank on the other side)
  • 80 mg film-coated extended release tablets (violet, round, film-coated tablet, “A396” printed in black ink on one side, blank on the other side)
  • 100 mg film-coated extended release tablets (green, round, film-coated tablet, “A397” printed in black ink on one side, blank on the other side)
  • 120 mg film-coated extended release tablets (yellow, round, film-coated tablet, “A398” printed in black ink on one side, blank on the other side)

4 Contraindications



Hydrocodone bitartrate extended-release tablets are contraindicated in patients with:

  • Significant respiratory depression [see Warnings and Precautions (5.3)]
  • Acute or severe bronchial asthma in an unmonitored setting or in the absence of resuscitative equipment [see Warnings and Precautions (5.7)]
  • Known or suspected gastrointestinal obstruction, including paralytic ileus [see Warnings and Precautions (5.12, 5.13)]
  • Hypersensitivity to hydrocodone or any component of hydrocodone bitartrate extended-release tablets.

5 Warnings And Precautions




5.1 Addiction, Abuse, And Misuse



Hydrocodone bitartrate extended-release tablets contain hydrocodone, a Schedule II controlled substance. As an opioid, hydrocodone bitartrate extended-release tablets expose users to the risks of addiction, abuse, and misuse. Because extended-release products such as hydrocodone bitartrate extended-release tablets deliver the opioid over an extended period of time, there is a greater risk for overdose and death due to the larger amount of hydrocodone present [see Drug Abuse and Dependence (9.1)].

Although the risk of addiction in any individual is unknown, it can occur in patients appropriately prescribed hydrocodone bitartrate extended-release tablets. Addiction can occur at recommended doses and if the drug is misused or abused.

Assess each patient’s risk for opioid addiction, abuse, or misuse prior to prescribing hydrocodone bitartrate extended-release tablets, and monitor all patients receiving hydrocodone bitartrate extended-release tablets for the development of these behaviors and conditions. Risks are increased in patients with a personal or family history of substance abuse (including drug or alcohol addiction or abuse) or mental illness (e.g., major depression). The potential for these risks should not, however, prevent the prescribing of hydrocodone bitartrate extended-release tablets for the proper management of pain in any given patient. Patients at increased risk may be prescribed opioids such as hydrocodone bitartrate extended-release tablets, but use in such patients necessitates intensive counseling about the risks and proper use of hydrocodone bitartrate extended-release tablets along with intensive monitoring for signs of addiction, abuse, and misuse.

Abuse or misuse of hydrocodone bitartrate extended-release tablets by crushing, chewing, snorting, or injecting the dissolved product will result in the uncontrolled delivery of the hydrocodone and can result in overdose and death [see Drug Abuse and Dependence (9.1), and Overdosage (10)].

Opioids are sought by drug abusers and people with addiction disorders and are subject to criminal diversion. Consider these risks when prescribing or dispensing hydrocodone bitartrate extended-release tablets. Strategies to reduce these risks include prescribing the drug in the smallest appropriate quantity and advising the patient on the proper disposal of unused drug [see Patient Counseling Information (17)]. Contact local state professional licensing board or state controlled substances authority for information on how to prevent and detect abuse or diversion of this product.


5.2  Opioid Analgesic Risk Evaluation And Mitigation Strategy (Rems)



  To ensure that the benefits of opioid analgesics outweigh the risks of addiction, abuse, and misuse, the Food and Drug Administration (FDA) has required a Risk Evaluation and Mitigation Strategy (REMS) for these products. Under the requirements of the REMS, drug companies with approved opioid analgesic products must make REMS-compliant education programs available to healthcare providers. Healthcare providers are strongly encouraged to do all of the following:  

•  Complete a REMS-compliant education program offered by an accredited provider of continuing education (CE) or another education program that includes all the elements of the FDA Education Blueprint for Health Care Providers Involved in the Management or Support of Patients with Pain.  

•  Discuss the safe use, serious risks, and proper storage and disposal of opioid analgesics with patients and/or their caregivers every time these medicines are prescribed. The Patient Counseling Guide (PCG) can be obtained at this link: www.fda.gov/OpioidAnalgesicREMSPCG.  

•  Emphasize to patients and their caregivers the importance of reading the Medication Guide that they will receive from their pharmacist every time an opioid analgesic is dispensed to them.  

•  Consider using other tools to improve patient, household, and community safety, such as patient-prescriber agreements that reinforce patient-prescriber responsibilities.

To obtain further information on the opioid analgesic REMS and for a list of accredited REMS CME/CE, call 1-800-503-0784, or log on to www.opioidanalgesicrems.com. The FDA Blueprint can be found at www.fda.gov/OpioidAnalgesicREMSBlueprint. 


5.3 Life-Threatening Respiratory Depression



Serious, life-threatening, or fatal respiratory depression has been reported with the use of opioids, even when used as recommended. Respiratory depression, if not immediately recognized and treated, may lead to respiratory arrest and death. Management of respiratory depression may include close observation, supportive measures, and use of opioid antagonists, depending on the patient’s clinical status [see Overdosage (10)]. Carbon dioxide (CO2) retention from opioid-induced respiratory depression can exacerbate the sedating effects of opioids.

While serious, life-threatening, or fatal respiratory depression can occur at any time during the use of hydrocodone bitartrate extended-release tablets, the risk is greatest during the initiation of therapy or following a dosage increase. Monitor patients closely for respiratory depression especially within the first 24 to 72 hours of initiating therapy with and following dosage increases of hydrocodone bitartrate extended-release tablets.

To reduce the risk of respiratory depression, proper dosing and titration of hydrocodone bitartrate extended-release tablets are essential [see Dosage and Administration (2.1, 2.2)]. Overestimating the hydrocodone bitartrate extended-release tablets dosage when converting patients from another opioid product can result in fatal overdose with the first dose.

Accidental ingestion of even one dose of hydrocodone bitartrate extended-release tablets, especially by children, can result in respiratory depression and death due to an overdose of hydrocodone.

Opioids can cause sleep-related breathing disorders including central sleep apnea (CSA) and sleep-related hypoxemia. Opioid use increases the risk of CSA in a dose-dependent fashion. In patients who present with CSA, consider decreasing the opioid dosage using best practices for opioid taper [see Dosage and Administration (2.3)].


5.4 Neonatal Opioid Withdrawal Syndrome



Prolonged use of hydrocodone bitartrate extended-release tablets during pregnancy can result in withdrawal in the neonate. Neonatal opioid withdrawal syndrome, unlike opioid withdrawal syndrome in adults, may be life-threatening if not recognized and treated, and requires management according to protocols developed by neonatology experts. Observe newborns for signs of neonatal opioid withdrawal syndrome and manage accordingly. Advise pregnant women using opioids for a prolonged period of the risk of neonatal opioid withdrawal syndrome and ensure that appropriate treatment will be available [see Use in Specific Populations (8.1), Patient Counseling Information (17)].


5.5 Risks Of Concomitant Use Or Discontinuation Of Cytochrome P450 3A4 Inhibitors And Inducers



Concomitant use of hydrocodone bitartrate extended-release tablets with a CYP3A4 inhibitor, such as macrolide antibiotics (e.g., erythromycin), azole-antifungal agents (e.g., ketoconazole), and protease inhibitors (e.g., ritonavir), may increase plasma concentrations of hydrocodone and prolong opioid adverse reactions, which may cause potentially fatal respiratory depression [see Warnings and Precautions (5.3)], particularly when an inhibitor is added after a stable dose of hydrocodone bitartrate extended-release tablets are achieved. Similarly, discontinuation of a CYP3A4 inducer, such as rifampin, carbamazepine, and phenytoin, in hydrocodone bitartrate extended-release tablet treated patients may increase hydrocodone plasma concentrations and prolong opioid adverse reactions. When using hydrocodone bitartrate extended-release tablets with CYP3A4 inhibitors or discontinuing CYP3A4 inducers in hydrocodone bitartrate extended-release tablet treated patients, monitor patients closely at frequent intervals and consider dosage reduction of hydrocodone bitartrate extended-release tablets until stable drug effects are achieved [see Drug Interactions (7)].

Concomitant use of hydrocodone bitartrate extended-release tablets with CYP3A4 inducers or discontinuation of an CYP3A4 inhibitor could decrease hydrocodone plasma concentrations, decrease opioid efficacy or, possibly, lead to a withdrawal syndrome in a patient who had developed physical dependence to hydrocodone. When using hydrocodone bitartrate extended-release tablets with CYP3A4 inducers or discontinuing CYP3A4 inhibitors, monitor patients closely at frequent intervals and consider increasing the opioid dosage if needed to maintain adequate analgesia or if symptoms of opioid withdrawal occur [see Drug Interactions (7)].


5.6 Risks From Concomitant Use With Benzodiazepines Or Other Cns Depressants



Profound sedation, respiratory depression, coma, and death may result from the concomitant use of hydrocodone bitartrate extended-release tablets with benzodiazepines or other CNS depressants (e.g., non-benzodiazepine sedatives/hypnotics, anxiolytics, tranquilizers, muscle relaxants, general anesthetics, antipsychotics, other opioids, and alcohol). Because of these risks, reserve concomitant prescribing of these drugs for use in patients for whom alternative treatment options are inadequate.

Observational studies have demonstrated that concomitant use of opioid analgesics and benzodiazepines increases the risk of drug-related mortality compared to use of opioid analgesics alone. Because of similar pharmacological properties, it is reasonable to expect similar risk with the concomitant use of other CNS depressant drugs with opioid analgesics [see Drug Interactions (7)].

If the decision is made to prescribe a benzodiazepine or other CNS depressant concomitantly with an opioid analgesic, prescribe the lowest effective dosages and minimum durations of concomitant use. In patients already receiving an opioid analgesic, prescribe a lower initial dose of the benzodiazepine or other CNS depressant than indicated in the absence of an opioid, and titrate based on clinical response. If an opioid analgesic is initiated in a patient already taking a benzodiazepine or other CNS depressant, prescribe a lower initial dose of the opioid analgesic, and titrate based on clinical response. Follow patients closely for signs and symptoms of respiratory depression and sedation.

Advise both patients and caregivers about the risks of respiratory depression and sedation when hydrocodone bitartrate extended-release tablets are used with benzodiazepines or other CNS depressants (including alcohol and illicit drugs). Advise patients not to drive or operate heavy machinery until the effects of concomitant use of the benzodiazepine or other CNS depressant have been determined. Screen patients for risk of substance use disorders, including opioid abuse and misuse, and warn them of the risk for overdose and death associated with the use of additional CNS depressants including alcohol and illicit drugs [see Drug Interactions (7), Patient Counseling Information (17)].


5.7 Life-Threatening Respiratory Depression In Patients With Chronic Pulmonary Disease Or In Elderly, Cachectic, Or Debilitated Patients



The use of hydrocodone bitartrate extended-release tablets in patients with acute or severe bronchial asthma in an unmonitored setting or in the absence of resuscitative equipment is contraindicated.

Patients with Chronic Pulmonary Disease: Hydrocodone bitartrate extended-release tablet-treated patients with significant chronic obstructive pulmonary disease or cor pulmonale, and those with a substantially decreased respiratory reserve, hypoxia, hypercapnia, or pre-existing respiratory depression are at increased risk of decreased respiratory drive including apnea, even at recommended dosages of hydrocodone bitartrate extended-release tablets [see Warnings and Precautions (5.3)].

Elderly, Cachectic, or Debilitated Patients: Life-threatening respiratory depression is more likely to occur in elderly, cachectic, or debilitated patients because they may have altered pharmacokinetics or altered clearance compared to younger, healthier patients [see Warnings and Precautions (5.3)].

Monitor such patients closely, particularly when initiating and titrating hydrocodone bitartrate extended-release tablets and when hydrocodone bitartrate extended-release tablets are given concomitantly with other drugs that depress respiration [see Warnings and Precautions (5.3, 5.6)]. Alternatively, consider the use of non-opioid analgesics in these patients.


5.8 Adrenal Insufficiency



Cases of adrenal insufficiency have been reported with opioid use, more often following greater than one month of use. Presentation of adrenal insufficiency may include non-specific symptoms and signs including nausea, vomiting, anorexia, fatigue, weakness, dizziness, and low blood pressure. If adrenal insufficiency is suspected, confirm the diagnosis with diagnostic testing as soon as possible. If adrenal insufficiency is diagnosed, treat with physiologic replacement doses of corticosteroids. Wean the patient off of the opioid to allow adrenal function to recover and continue corticosteroid treatment until adrenal function recovers. Other opioids may be tried as some cases reported use of a different opioid without recurrence of adrenal insufficiency. The information available does not identify any particular opioids as being more likely to be associated with adrenal insufficiency.


5.9 Severe Hypotension



Hydrocodone bitartrate extended-release tablets may cause severe hypotension including orthostatic hypotension and syncope in ambulatory patients. There is an increased risk in patients whose ability to maintain blood pressure has already been compromised by a reduced blood volume, or after concurrent administration of certain CNS depressant drugs (e.g., phenothiazines or general anesthetics) [see Drug Interactions (7)]. Monitor these patients for signs of hypotension after initiating or titrating the dosage of hydrocodone bitartrate extended-release tablets. In patients with circulatory shock, hydrocodone bitartrate extended-release tablets may cause vasodilation that can further reduce cardiac output and blood pressure. Avoid the use of hydrocodone bitartrate extended-release tablets in patients with circulatory shock.


5.10 Qtc Interval Prolongation



QTc prolongation has been observed with hydrocodone bitartrate extended-release tablets following daily doses of 160 mg [see Clinical Pharmacology (12.2)]. This observation should be considered in making clinical decisions regarding patient monitoring when prescribing hydrocodone bitartrate extended-release tablets in patients with congestive heart failure, bradyarrhythmias, electrolyte abnormalities, or who are taking medications that are known to prolong the QTc interval.  

Hydrocodone bitartrate extended-release tablets should be avoided in patients with congenital long QT syndrome. In patients who develop QTc prolongation, consider reducing the dose by 33% to 50%, or changing to an alternate analgesic.


5.11 Risks Of Use In Patients With Increased Intracranial Pressure, Brain Tumors, Head Injury, Or Impaired Consciousness



In patients who may be susceptible to the intracranial effects of CO2 retention (e.g., those with evidence of increased intracranial pressure or brain tumors), hydrocodone bitartrate extended-release tablets may reduce respiratory drive, and the resultant CO2 retention can further increase intracranial pressure. Monitor such patients for signs of sedation and respiratory depression, particularly when initiating therapy with hydrocodone bitartrate extended-release tablets.  

Opioids may also obscure the clinical course in a patient with a head injury. Avoid the use of hydrocodone bitartrate extended-release tablets in patients with impaired consciousness or coma.


5.12 Gastrointestinal Obstruction, Dysphagia, And Choking



In the clinical studies with specific instructions to take hydrocodone bitartrate extended-release tablets with adequate water to swallow the tablet, 11 out of 2,476 subjects reported difficulty swallowing hydrocodone bitartrate extended-release tablets. These reports included esophageal obstruction, dysphagia, and choking, one of which had required medical intervention to remove the tablet [see Adverse Reactions (6)].  

Instruct patients not to pre-soak, lick, or otherwise wet hydrocodone bitartrate extended-release tablets prior to placing in the mouth, and to take one tablet at a time with enough water to ensure complete swallowing immediately after placing in the mouth [see Patient Counseling Information (17)].  

Patients with underlying gastrointestinal disorders such as esophageal cancer or colon cancer with a small gastrointestinal lumen are at greater risk of developing these complications. Consider use of an alternative analgesic in patients who have difficulty swallowing and patients at risk for underlying gastrointestinal disorders resulting in a small gastrointestinal lumen.  

Pediatric patients may be at increased risk of esophageal obstruction, dysphagia, and choking because of a smaller gastrointestinal lumen if they ingest hydrocodone bitartrate extended-release tablets [see Use in Specific Populations (8.4)].


5.13 Risks Of Use In Patients With Gastrointestinal Conditions



Hydrocodone bitartrate extended-release tablets are contraindicated in patients with known or suspected gastrointestinal obstruction, including paralytic ileus.  

The hydrocodone in hydrocodone bitartrate extended-release tablets may cause spasm of the sphincter of Oddi. Opioids may cause increases in serum amylase. Monitor patients with biliary tract disease, including acute pancreatitis, for worsening symptoms.


5.14 Increased Risk Of Seizures In Patients With Seizure Disorders



The hydrocodone in hydrocodone bitartrate extended-release tablets may increase the frequency of seizures in patients with seizure disorders, and may increase the risk of seizures occurring in other clinical settings associated with seizures. Monitor patients with a history of seizure disorders for worsened seizure control during hydrocodone bitartrate extended-release tablet therapy.


5.15 Withdrawal



Do not abruptly discontinue hydrocodone bitartrate extended-release tablets in a patient physically dependent on opioids. When discontinuing hydrocodone bitartrate extended-release tablets in a physically dependent patient, gradually taper the dosage. Rapid tapering of hydrocodone in a patient physically dependent on opioids may lead to a withdrawal syndrome and return of pain [see Dosage and Administration (2.6), Drug Abuse and Dependence (9.3)].  

Additionally, avoid the use of mixed agonist/antagonist analgesics (e.g., pentazocine, nalbuphine, and butorphanol) or partial agonist (e.g., buprenorphine) analgesics in patients who are receiving a full opioid agonist analgesic, including hydrocodone bitartrate extended-release tablets. In these patients, mixed agonist/antagonist and partial agonist analgesics may reduce the analgesic effect and/or may precipitate withdrawal symptoms [see Drug Interactions (7)].


5.16 Risks Of Driving And Operating Machinery



Hydrocodone bitartrate extended-release tablets may impair the mental and physical abilities needed to perform potentially hazardous activities such as driving a car or operating machinery. Peak blood levels of hydrocodone may occur 14 to 16 hours (range 6 to 30 hours) after initial dosing of hydrocodone bitartrate extended-release tablet administration. Blood levels of hydrocodone, in some patients, may be high at the end of 24 hours after repeated-dose administration. Warn patients not to drive or operate dangerous machinery unless they are tolerant to the effects of hydrocodone bitartrate extended-release tablets and know how they will react to the medication [see Clinical Pharmacology (12.3), Patient Counseling Information (17)].


6 Adverse Reactions



The following serious adverse reactions are described elsewhere in the labeling:

  • Addiction, Abuse, and Misuse [see Warnings and Precautions (5.1)]
  • Life-Threatening Respiratory Depression [see Warnings and Precautions (5.3)]
  • Neonatal Opioid Withdrawal Syndrome [see Warnings and Precautions (5.4)]
  • Interactions with Benzodiazepine or Other CNS Depressants [see Warnings and Precautions (5.6)]
  • Adrenal Insufficiency [see Warnings and Precautions (5.8)]
  • Severe Hypotension [see Warnings and Precautions (5.9)]
  • Gastrointestinal Adverse Reactions [see Warnings and Precautions (5.12, 5.13)]
  • Seizures [see Warnings and Precautions (5.14)]
  • Withdrawal [see Warnings and Precautions (5.15)]  

6.1 Clinical Trial Experience



 Because clinical trials are conducted under widely varying conditions, adverse reaction rates observed in the clinical trials of a drug cannot be directly compared to rates in the clinical trials of another drug and may not reflect the rates observed in practice.

A total of 1,827 patients were treated with hydrocodone bitartrate extended-release tablets in controlled and open-label chronic pain clinical trials. Five hundred patients were treated for 6 months and 364 patients were treated for 12 months. The clinical trial population consisted of opioid-naïve and opioid-experienced patients with persistent moderate to severe chronic pain.

The common adverse reactions (≥2%) reported by patients in clinical trials comparing hydrocodone bitartrate extended-release tablets (20 mg/day to 120 mg/day) with placebo are shown in Table 2 below:

Table 2: Adverse Reactions Reported in ≥2% of Patients during the Open-Label Titration Period and Double-Blind Treatment Period: Opioid-Naïve and Opioid-Experienced Patients

 Open-label
Titration
Period
 Double-blind Treatment Period
  MedDRA Preferred Term  (N=905) 
(%)
 Placebo
(N=292)
(%)
Hydrocodone Bitartrate
Extended-Release
Tablets
(N=296)
(%)
Nausea1658
Constipation923
Vomiting736
Dizziness723
Headache722
Somnolence511
Fatigue411
Pruritus3<10
Tinnitus212
Insomnia223
Decreased appetite112
Influenza113

The adverse reactions seen in controlled and open-label chronic pain studies are presented below in the following manner: most common (≥5%), common (≥1% to <5%), and less common (<1%).  

The most common adverse reactions (≥5%) reported by patients treated with hydrocodone bitartrate extended-release tablets in the chronic pain clinical trials were constipation, nausea, vomiting, fatigue, upper respiratory tract infection, dizziness, headache, somnolence.  

The common (≥1% to <5%) adverse events reported by patients treated with hydrocodone bitartrate extended-release tablets in the chronic pain clinical trials organized by MedDRA (Medical Dictionary for Regulatory Activities) System Organ Class were:

Ear and labyrinth disorderstinnitus
Gastrointestinal disorders abdominal pain, abdominal pain upper, diarrhea, dry mouth, dyspepsia, gastroesophageal reflux disease
General disorders and administration site conditionschest pain, chills, edema peripheral, pain, pyrexia
Infections and infestationsbronchitis, gastroenteritis, gastroenteritis viral, influenza, nasopharyngitis, sinusitis, urinary tract infection
Injury, poisoning and procedural complicationsfall, muscle strain
Metabolism and nutrition disordersdecreased appetite
Musculoskeletal and connective tissue disorders arthralgia, back pain, muscle spasms, musculoskeletal pain, myalgia, pain in extremity
Nervous system disorderslethargy, migraine, sedation
Psychiatric disordersanxiety, depression, insomnia
Respiratory, thoracic and mediastinal disorders cough, nasal congestion, oropharyngeal pain
Skin and subcutaneous tissue disordershyperhidrosis, pruritus, rash
Vascular disordershot flush, hypertension

Other less common adverse reactions that were seen in <1% of the patients in the hydrocodone bitartrate extended-release chronic pain clinical trials include the following in alphabetical order: abdominal discomfort, abdominal distention, agitation, asthenia, choking, confusional state, depressed mood, drug hypersensitivity, drug withdrawal syndrome, dysphagia, dyspnea, esophageal obstruction, flushing, hypogonadism, hypotension, hypoxia, irritability, libido decreased, malaise, mental impairment, mood altered, muscle twitching, edema, orthostatic hypotension, palpitations, presyncope, retching, syncope, thinking abnormal, thirst, tremor, and urinary retention.


6.2 Postmarketing Experience



The following adverse reactions have been identified during post approval use of hydrocodone. Because these reactions are reported voluntarily from a population of uncertain size, it is not always possible to reliably estimate their frequency or establish a causal relationship to drug exposure.  

Serotonin syndrome: Cases of serotonin syndrome, a potentially life-threatening condition, have been reported during concomitant use of opioids with serotonergic drugs.  

Adrenal insufficiency: Cases of adrenal insufficiency have been reported with opioid use, more often following greater than one month of use.

Anaphylaxis: Anaphylaxis has been reported with ingredients contained in hydrocodone bitartrate extended-release tablets.  

Androgen deficiency: Cases of androgen deficiency have occurred with chronic use of opioids [see Clinical Pharmacology (12.2)].


7 Drug Interactions



Table 3 includes clinically significant drug interactions with hydrocodone bitartrate extended-release tablets. ­­ 

Table 3: Clinically Significant Drug Interactions with Hydrocodone Bitartrate Extended-Release Tablets 

Inhibitors of CYP3A4
Clinical Impact:The concomitant use of hydrocodone bitartrate extended-release tablets and CYP3A4 inhibitors can increase the plasma concentration of hydrocodone, resulting in increased or prolonged opioid effects. These effects could be more pronounced with concomitant use of hydrocodone bitartrate extended-release tablets and CYP3A4 inhibitors, particularly when an inhibitor is added after a stable dose of hydrocodone bitartrate extended-release tablets is achieved [see Warnings and Precautions (5.5)]. After stopping a CYP3A4 inhibitor, as the effects of the inhibitor decline, the hydrocodone plasma concentration will decrease [see Clinical Pharmacology (12.3)], resulting in decreased opioid efficacy or a withdrawal syndrome in patients who had developed physical dependence to hydrocodone.
Intervention:If concomitant use is necessary, consider dosage reduction of hydrocodone bitartrate extended-release tablets until stable drug effects are achieved. Monitor patients for respiratory depression and sedation at frequent intervals.
If a CYP3A4 inhibitor is discontinued, consider increasing the hydrocodone bitartrate extended-release tablets dosage until stable drug effects are achieved. Monitor for signs of opioid withdrawal.
Examples:Macrolide antibiotics (e.g., erythromycin), azole-antifungal agents (e.g. ketoconazole), protease inhibitors (e.g., ritonavir).
CYP3A4 Inducers
Clinical Impact:The concomitant use of hydrocodone bitartrate extended-release tablets and CYP3A4 inducers can decrease the plasma concentration of hydrocodone [see Clinical Pharmacology (12.3)], resulting in decreased efficacy or onset of a withdrawal syndrome in patients who have developed physical dependence to hydrocodone [see Warnings and Precautions (5.5)]. After stopping a CYP3A4 inducer, as the effects of the inducer decline, the hydrocodone plasma concentration will increase [see Clinical Pharmacology (12.3)], which could increase or prolong both the therapeutic effects and adverse reactions, and may cause serious respiratory depression.
Intervention:If concomitant use is necessary, consider increasing the hydrocodone bitartrate extended-release tablet dosage until stable drug effects are achieved. Monitor for signs of opioid withdrawal. If a CYP3A4 inducer is discontinued, consider hydrocodone bitartrate extended-release tablet dosage reduction and monitor for signs of respiratory depression.
Examples:Rifampin, carbamazepine, phenytoin
Benzodiazepines and Other Central Nervous System (CNS) Depressants
Clinical Impact:Due to additive pharmacologic effect, the concomitant use of benzodiazepines or other CNS depressants, including alcohol, can increase the risk of hypotension, respiratory depression, profound sedation, coma, and death.
Intervention:Reserve concomitant prescribing of these drugs for use in patients for whom alternative treatment options are inadequate. Limit dosages and durations to the minimum required. Follow patients closely for signs of respiratory depression and sedation [see Warnings and Precautions (5.6)].
Examples:Benzodiazepines and other sedatives/hypnotics, anxiolytics, tranquilizers, muscle relaxants, general anesthetics, antipsychotics, other opioids, alcohol.
Serotonergic Drugs
Clinical Impact:The concomitant use of opioids with other drugs that affect the serotonergic neurotransmitter system has resulted in serotonin syndrome.
Intervention:If concomitant use is warranted, carefully observe the patient, particularly during treatment initiation and dose adjustment. Discontinue hydrocodone bitartrate extended-release tablets if serotonin syndrome is suspected.
Examples: Selective serotonin reuptake inhibitors (SSRIs), serotonin and norepinephrine reuptake inhibitors (SNRIs), tricyclic antidepressants (TCAs), triptans, 5-HT3 receptor antagonists, drugs that affect the serotonin neurotransmitter system (e.g., mirtazapine, trazodone, tramadol), certain muscle relaxants (i.e., cyclobenzaprine, metaxalone), monoamine oxidase (MAO) inhibitors (those intended to treat psychiatric disorders and also others, such as linezolid and intravenous methylene blue).
Monoamine Oxidase Inhibitors (MAOIs)
Clinical Impact:MAOI interactions with opioids may manifest as serotonin syndrome or opioid toxicity (e.g., respiratory depression, coma) [see Warnings and Precautions (5.3)].
Intervention:The use of hydrocodone bitartrate extended-release tablets is not recommended for patients taking MAOIs or within 14 days of stopping such treatment.
Examples: Phenelzine, tranylcypromine, linezolid
Mixed Agonist/Antagonist and Partial Agonist Opioid Analgesics
Clinical Impact:May reduce the analgesic effect of hydrocodone bitartrate extended-release tablets and/or precipitate withdrawal symptoms.
Intervention:Avoid concomitant use.
Examples:butorphanol, nalbuphine, pentazocine, buprenorphine
Muscle Relaxants
Clinical Impact: Hydrocodone may enhance the neuromuscular blocking action of skeletal muscle relaxants and produce an increased degree of respiratory depression.
Intervention:Monitor patients for signs of respiratory depression that may be greater than otherwise expected and decrease the dosage of hydrocodone bitartrate extended-release tablets and/or the muscle relaxant as necessary.
Diuretics
Clinical Impact:Opioids can reduce the efficacy of diuretics by inducing the release of antidiuretic hormone.
Intervention:Monitor patients for signs of diminished diuresis and/or effects on blood pressure and increase the dosage of the diuretic as needed.
Anticholinergic Drugs
Clinical Impact:The concomitant use of anticholinergic drugs may increase risk of urinary retention and/or severe constipation, which may lead to paralytic ileus.
Intervention: Monitor patients for signs of urinary retention or reduced gastric motility when hydrocodone bitartrate extended-release tablets are used concomitantly with anticholinergic drugs.
Strong Laxatives
Clinical Impact:Concomitant use of hydrocodone bitartrate extended-release tablets with strong laxatives that rapidly increase gastrointestinal motility, may decrease hydrocodone absorption and result in decreased hydrocodone plasma levels.
Intervention:If hydrocodone bitartrate extended-release tablets are used in these patients, closely monitor for the development of adverse events as well as changing analgesic requirements.
Example:lactulose


8 Use In Specific Populations




8.1 Pregnancy



Risk Summary
Prolonged use of opioid analgesics during pregnancy may cause neonatal opioid withdrawal syndrome [see Warnings and Precautions (5.4)]. Available data with hydrocodone bitartrate extended-release tablets in pregnant women are insufficient to inform a drug-associated risk for major birth defects and miscarriage. In animal reproduction studies with hydrocodone in rats and rabbits no embryotoxicity or teratogenicity was observed. However, reduced pup survival rates, reduced fetal/pup body weights, and delayed ossification were observed at doses causing maternal toxicity. In all of the studies conducted, the exposures in animals were less than the human exposure [see Data].

The estimated background risk of major birth defects and miscarriage for the indicated population is unknown. All pregnancies have a background risk of birth defect, loss, or other adverse outcomes. In the U.S. general population, the estimated background risk of major birth defects and miscarriage in clinically recognized pregnancies is 2% to 4% and 15% to 20%, respectively.  

Clinical Considerations
Fetal/neonatal adverse reactions
Prolonged use of opioid analgesics during pregnancy for medical or nonmedical purposes can result in physical dependence in the neonate and neonatal opioid withdrawal syndrome shortly after birth. Neonatal opioid withdrawal syndrome presents as irritability, hyperactivity and abnormal sleep pattern, high pitched cry, tremor, vomiting, diarrhea, and failure to gain weight. The onset, duration, and severity of neonatal opioid withdrawal syndrome vary based on the specific opioid used, duration of use, timing and amount of last maternal use, and rate of elimination of the drug by the newborn. Observe newborns for symptoms of neonatal opioid withdrawal syndrome and manage accordingly [see Warnings and Precautions (5.4)].

Labor and Delivery
Opioids cross the placenta and may produce respiratory depression and psycho-physiologic effects in neonates. An opioid antagonist, such as naloxone, must be available for reversal of opioid-induced respiratory depression in the neonate. Hydrocodone bitartrate extended-release tablets are not recommended for use in pregnant women during or immediately prior to labor, when use of shorter-acting analgesics or other analgesic techniques are more appropriate. Opioid analgesics, including hydrocodone bitartrate extended-release tablets, can prolong labor through actions which temporarily reduce the strength, duration, and frequency of uterine contractions. However, this effect is not consistent and may be offset by an increased rate of cervical dilation, which tends to shorten labor. Monitor neonates exposed to opioid analgesics during labor for signs of excess sedation and respiratory depression.  

Data
Animal Data
No evidence of embryotoxicity or teratogenicity was observed after oral administration of hydrocodone throughout the period of organogenesis in rats and rabbits at doses up to 30 mg/kg/day (approximately 0.1 and 0.3 times, respectively, the human hydrocodone dose of 120 mg/day based on AUC exposure comparisons). However, in these studies, reduced fetal body weights and delayed ossification were observed in rat at 30 mg/kg/day and reduced fetal body weights were observed in in rabbit at 30 mg/kg/day (approximately 0.1 and 0.3 times, respectively, the human hydrocodone dose of 120 mg/day based on AUC exposure comparisons). In a pre- and post-natal development study pregnant rats were administered oral hydrocodone throughout the period of gestation and lactation. 

At a dose of 30 mg/kg/day decreased pup viability, pup survival indices, litter size and pup body weight were observed. This dose is approximately 0.1 times the human hydrocodone dose of 120 mg/day based on AUC exposure comparisons.


8.2 Lactation



Risk Summary

Hydrocodone is present in human milk. A published lactation study reports variable concentrations of hydrocodone and hydromorphone (an active metabolite) in breast milk with administration of immediate-release hydrocodone to nursing mothers in the early post-partum period. This lactation study did not assess breastfed infants for potential adverse drug reactions. Lactation studies have not been conducted with hydrocodone bitartrate extended-release tablets, and no information is available on the effects of the drug on the breastfed infant or the effects of the drug on milk production. Because of the potential for serious adverse reactions, including excess sedation and respiratory depression in a breastfed infant, advise patients that breastfeeding is not recommended during treatment with hydrocodone bitartrate extended-release tablets.  

Clinical Considerations

Monitor infants exposed to hydrocodone bitartrate extended-release tablets through breast milk for excess sedation and respiratory depression. Withdrawal symptoms can occur in breastfed infants when maternal administration of an opioid analgesic is stopped, or when breastfeeding is stopped.


8.3 Females And Males Of Reproductive Potential



Infertility Chronic use of opioids may cause reduced fertility in females and males of reproductive potential. It is not known whether these effects on fertility are reversible [see Adverse Reactions (6.2)].


8.4 Pediatric Use



The safety and effectiveness of hydrocodone bitartrate extended-release tablets in pediatric patients have not been established.

Hydrocodone bitartrate extended-release tablets gradually forms a viscous hydrogel (i.e., a gelatinous mass) when exposed to water or other fluids. Pediatric patients may be at increased risk of esophageal obstruction, dysphagia, and choking because of a smaller gastrointestinal lumen if they ingest hydrocodone bitartrate extended-release tablets [see Warnings and Precautions (5.12)].


8.5 Geriatric Use



In a controlled pharmacokinetic study, elderly subjects (greater than 65 years) compared to young adults had similar plasma concentrations of hydrocodone [see Clinical Pharmacology (12.3)]. Of the 1827 subjects exposed to hydrocodone bitartrate extended-release tablets in the pooled chronic pain studies, 241 (13%) were age 65 and older (including those age 75 and older), while 42 (2%) were age 75 and older. In clinical trials with appropriate initiation of therapy and dose titration, no untoward or unexpected adverse reactions were seen in the elderly patients who received hydrocodone bitartrate extended-release tablets.  

In general, use caution when selecting a dosage for an elderly patient, usually starting at the low end of the dosing range, reflecting the greater frequency of decreased hepatic, renal, or cardiac function and of concomitant disease or other drug therapy.  

Respiratory depression is the chief risk for elderly patients treated with opioids, and has occurred after large initial doses were administered to patients who were not opioid-tolerant or when opioids were coadministered with other agents that depress respiration. Titrate the dosage of hydrocodone bitartrate extended-release tablets slowly in geriatric patients and monitor closely for signs of central nervous system and respiratory depression [see Warnings and Precautions (5.3)].  

Hydrocodone is known to be substantially excreted by the kidney, and the risk of adverse reactions to this drug may be greater in patients with impaired renal function. Because elderly patients are more likely to have decreased renal function, care should be taken in dose selection, and it may be useful to monitor renal function.  


8.6 Hepatic Impairment



No adjustment in starting dose with hydrocodone bitartrate extended-release tablets is required in patients with mild or moderate hepatic impairment. Patients with severe hepatic impairment may have higher plasma concentrations than those with normal hepatic function [see Clinical Pharmacology (12.3)]. Therefore, a dosage reduction is recommended for these patients [see Dosage and Administration (2.4)]. Monitor closely for respiratory depression, sedation, and hypotension.


8.7 Renal Impairment



No dose adjustment is needed in patients with mild renal impairment. Patients with moderate or severe renal impairment or end stage renal disease have higher plasma concentrations than those with normal renal function [see Clinical Pharmacology (12.3)]. Therefore, a dosage reduction is recommended for these patients [see Dosage and Administration (2.5)]. Monitor closely for respiratory depression, sedation, and hypotension.


9 Drug Abuse And Dependence




9.1 Controlled Substance



Hydrocodone bitartrate extended-release tablets contain hydrocodone bitartrate, a Schedule II controlled substance.


9.2 Abuse



Hydrocodone bitartrate extended-release tablets contain hydrocodone, a substance with a high potential for abuse similar to other opioids, including fentanyl, hydromorphone, methadone, morphine, oxycodone, oxymorphone, and tapentadol. Hydrocodone bitartrate extended-release tablets can be abused and is subject to misuse, addiction, and criminal diversion [see Warnings and Precautions (5.1)].

The high drug content in the extended-release formulation adds to the risk of adverse outcomes from abuse and misuse.

All patients treated with opioids require careful monitoring for signs of abuse and addiction because use of opioid analgesic products carries the risk of addiction even under appropriate medical use.  

Prescription drug abuse is the intentional non-therapeutic use of a prescription drug, even once, for its rewarding psychological or physiological effects. Drug addiction is a cluster of behavioral, cognitive, and physiological phenomena that develop after repeated substance use and includes: a strong desire to take the drug, difficulties in controlling its use, persisting in its use despite harmful consequences, a higher priority given to drug use than to other activities and obligations, increased tolerance, and sometimes a physical withdrawal.  

"Drug-seeking" behavior is very common in persons with substance use disorders. Drug seeking tactics include emergency calls or visits near the end of office hours, refusal to undergo appropriate examination, testing, or referral, repeated “loss” of prescriptions, tampering with prescriptions, and reluctance to provide prior medical records or contact information for other treating healthcare provider(s). “Doctor shopping” (visiting multiple prescribers to obtain additional prescriptions) is common among drug abusers and people with untreated addiction. Preoccupation with achieving adequate pain relief can be appropriate behavior in a patient with poor pain control.

Abuse and addiction are separate and distinct from physical dependence and tolerance. Healthcare providers should be aware that addiction may not be accompanied by concurrent tolerance and symptoms of physical dependence in all addicts. In addition, abuse of opioids can occur in the absence of true addiction.  

Hydrocodone bitartrate extended-release tablets, like other opioids, can be diverted for non-medical use into illicit channels of distribution. Careful record-keeping of prescribing information, including quantity, frequency, and renewal requests, as required by state and federal law, is strongly advised.  

Proper assessment of the patient, proper prescribing practices, periodic re-evaluation of therapy, and proper dispensing and storage are appropriate measures that help to limit abuse of opioid drugs.

Risks Specific to Abuse of Hydrocodone Bitartrate Extended-Release Tablets
Hydrocodone bitartrate extended-release tablets is for oral use only. Abuse of hydrocodone bitartrate extended-release tablets poses a risk of overdose and death. Abuse may occur by taking intact tablets in quantities greater than prescribed or without legitimate purpose, by crushing and chewing or snorting the crushed formulation, or by injecting a solution made from the crushed formulation. The risk is increased with concurrent use of hydrocodone bitartrate extended-release tablets with alcohol or other central nervous system depressants. Taking cut, broken, chewed, crushed, or dissolved hydrocodone bitartrate extended-release tablets increases the risk of overdose and death.  

With parenteral abuse, the inactive ingredients in hydrocodone bitartrate extended-release tablets can result in local tissue necrosis, infection, pulmonary granulomas, increased risk of endocarditis and valvular heart injury, embolism, and death. Parenteral drug abuse is commonly associated with transmission of infectious diseases, such as hepatitis and HIV.

Abuse Deterrence Studies
Hydrocodone bitartrate extended-release tablets are formulated with physicochemical properties intended to make the tablet more difficult to manipulate for misuse and abuse, and maintains some extended release characteristics even if the tablet is physically compromised. To evaluate the ability of these physicochemical properties to reduce the potential for abuse of hydrocodone bitartrate extended-release tablets, a series of in vitro laboratory studies, pharmacokinetic studies and clinical abuse potential studies was conducted. A summary is provided at the end of this section.

In Vitro Testing
In vitro
physical and chemical tablet manipulation studies were performed to evaluate the success of different extraction methods in defeating the extended-release formulation. Results support that hydrocodone bitartrate extended-release tablets resists crushing, breaking, and dissolution using a variety of tools and solvents and retains some extended-release properties despite manipulation. When subjected to an aqueous environment, hydrocodone bitartrate extended-release tablets gradually forms a viscous hydrogel (i.e., a gelatinous mass) that resists passage through a hypodermic needle.

Clinical Abuse Potential Studies
Studies in Non-dependent Opioid Abusers:
Two randomized, double-blind, placebo and active-comparator studies in non-dependent opioid abusers were conducted to characterize the abuse potential of hydrocodone bitartrate extended-release tablets following physical manipulation and administration via the intranasal and oral routes. For both studies, drug liking was measured on a bipolar drug liking scale of 0 to 100 where 50 represents a neutral response of neither liking nor disliking, 0 represents maximum disliking, and 100 represents maximum liking. Response to whether the subject would take the study drug again was measured on a unipolar scale of 0 to 100 where 0 represents the strongest negative response (“definitely would not take drug again”) and 100 represents the strongest positive response (“definitely would take drug again”).

Intranasal Abuse Potential Study:
In the intranasal abuse potential study, 31 subjects were dosed and 25 subjects completed the study. Treatments studied included intranasally administered tampered 60 mg hydrocodone bitartrate extended-release tablets, powdered hydrocodone bitartrate 60 mg, and placebo. Incomplete dosing due to granules falling from the subjects’ nostrils occurred in 82% (n = 23) of subjects receiving tampered hydrocodone bitartrate extended-release tablets compared to no subjects with powdered hydrocodone or placebo.  

The intranasal administration of tampered hydrocodone bitartrate extended-release tablets was associated with statistically significantly lower mean and median scores for drug liking and take drug again (P<0.001 for both), compared with powdered hydrocodone as summarized in Table 4.

Table 4. Summary of Maximum Scores (Emax) on Drug Liking and Take Drug Again VAS Following intranasal Administration of Hydrocodone Bitartrate Extended-Release Tablets and Hydrocodone Powder in Non-dependent Opioid Abusers

VAS Scale (100 point)Hydrocodone Bitartrate
Extended-Release Tablets

Hydrocodone
Intranasal (n=25)ManipulatedPowder
Drug Liking

Bipolar scale (0=maximum negative response, 50=neutral response, 100=maximum positive response)

 Mean (SE)65.4 (3.7)90.4 (2.6)
 Median (Range)56 (50–100)100 (51–100)
Take Drug Again

Unipolar scale (0=maximum negative response, 100=maximum positive response)

 Mean (SE)36.4 (8.2)85.2 (5.0)
 Median (Range)14 (0-100)100 (1-100)

Figure 1 demonstrates a comparison of peak drug liking scores for tampered hydrocodone bitartrate extended-release tablets compared with powdered hydrocodone in subjects (n = 25) who received both treatments intranasally. The Y-axis represents the percent of subjects attaining a percent reduction in peak drug liking scores for tampered hydrocodone bitartrate extended-release tablets vs. hydrocodone powder greater than or equal to the value on the X-axis.

Approximately 80% (n = 20) of subjects had some reduction in drug liking with tampered hydrocodone bitartrate extended-release tablets relative to hydrocodone powder. Sixty-eight percent (n = 17) of subjects had a reduction of at least 30% in drug liking with tampered hydrocodone bitartrate extended-release tablets compared with hydrocodone powder, and approximately 64% (n = 16) of subjects had a reduction of at least 50% in drug liking with tampered hydrocodone bitartrate extended-release tablets compared with hydrocodone powder. Approximately 20% (n = 5) of subjects had no reduction in liking with tampered hydrocodone bitartrate extended-release tablets relative to hydrocodone powder.

Figure 1: Percent Reduction Profiles for Emax of Drug Liking VAS for Manipulated Hydrocodone Bitartrate Extended-Release Tablets vs. Hydrocodone Powder, N = 25 Following Intranasal Administration


Oral Abuse Potential Study:
In the oral abuse potential study, 40 subjects were dosed and 35 subjects completed the study. Treatments studied included oral administrations of chewed 60 mg hydrocodone bitartrate extended-release tablets, intact 60 mg hydrocodone bitartrate extended-release tablets, 60 mg aqueous hydrocodone bitartrate solution, and placebo.  

The oral administration of chewed and intact hydrocodone bitartrate extended-release tablets was associated with statistically lower mean and median scores on scales that measure drug liking and desire to take drug again (P<0.001), compared to hydrocodone solution as summarized in Table 5.

Table 5. Summary of Maximum Scores (Emax) on Drug Liking and Take Drug Again VAS Following Oral Administration of Hydrocodone Bitartrate Extended-Release Tablets and Hydrocodone Solution in Non-dependent Recreational Opioid Users

VAS Scale (100 point)Hydrocodone Bitartrate Extended-Release TabletsHydrocodone
Oral (n=35)IntactChewedSolution
Drug Liking

Bipolar scale (0=maximum negative response, 50=neutral response, 100=maximum positive response)

   Mean (SE)63.3 (2.7)69.0 (3.0)94.0 (1.7)
   Median (Range)58 (50–100)66 (50–100)100 (51–100)
Take Drug Again

Unipolar scale (0=maximum negative response, 100=maximum positive response)

   Mean (SE)34.3 (6.1)44.3 (6.9)89.7 (3.6)
   Median (Range)24 (0-100)55 (0-100)100 (1-100)

Figure 2 demonstrates a comparison of peak drug liking scores for chewed hydrocodone bitartrate extended-release tablets compared with hydrocodone solution in subjects who received both treatments orally. The Y-axis represents the percent of subjects attaining a percent reduction in peak drug liking scores for chewed hydrocodone bitartrate extended-release tablets vs. hydrocodone solution greater than or equal to the value on the X-axis. 

Approximately 80% (n = 28) of subjects had some reduction in drug liking with chewed hydrocodone bitartrate extended-release tablets relative to hydrocodone solution. Approximately 69% (n = 24) of subjects had a reduction of at least 30% in drug liking with chewed hydrocodone bitartrate extended-release tablets compared with hydrocodone solution, and approximately 60% (n = 21) of subjects had a reduction of at least 50% in drug liking with chewed hydrocodone bitartrate extended-release tablets compared with hydrocodone solution. Approximately 20% (n = 7) of subjects had no reduction in drug liking with chewed hydrocodone bitartrate extended-release tablets relative to hydrocodone solution.

Figure 2. Percent Reduction Profiles for Emax of Drug Liking VAS for Chewed Hydrocodone Bitartrate Extended-Release Tablets vs. Hydrocodone Solution, N = 35 Following Oral Administration
 

The results of a similar analysis of drug liking for intact hydrocodone bitartrate extended-release tablets relative to hydrocodone solution were comparable to the results of chewed hydrocodone bitartrate extended-release tablets relative to hydrocodone solution. Approximately 83% (n = 29) of subjects had some reduction in drug liking with intact hydrocodone bitartrate extended-release tablets relative to hydrocodone solution. Eighty-three percent (n = 29) of subjects had a reduction of at least 30% in peak drug liking scores with intact hydrocodone bitartrate extended-release tablets compared to hydrocodone solution, and approximately 74% (n = 26) of subjects had a reduction of at least 50% in peak drug liking scores with intact hydrocodone bitartrate extended-release tablets compared with hydrocodone solution. Approximately 17% (n = 6) had no reduction in drug liking with intact hydrocodone bitartrate extended-release tablets relative to hydrocodone solution.  

Summary
The in vitro data demonstrate that hydrocodone bitartrate extended-release tablets has physical and chemical properties that are expected to deter intranasal and intravenous abuse. The data from the clinical abuse potential studies, along with support from the in vitro data, also indicate that hydrocodone bitartrate extended-release tablets has physicochemical properties that are expected to reduce intranasal abuse and oral abuse when chewed. However, abuse of hydrocodone bitartrate extended-release tablets by the intravenous, intranasal, and oral routes is still possible.  

Additional data, including epidemiological data, when available, may provide further information on the impact of hydrocodone bitartrate extended-release tablets on the abuse liability of the drug. Accordingly, this section may be updated in the future as appropriate.


9.3 Dependence



Both tolerance and physical dependence can develop during chronic opioid therapy. Tolerance is the need for increasing doses of opioids to maintain a defined effect such as analgesia (in the absence of disease progression or other external factors). Tolerance may occur to both the desired and undesired effects of drugs, and may develop at different rates for different effects.  

Physical dependence is a physiological state in which the body adapts to the drug after a period of regular exposure, resulting in withdrawal symptoms after abrupt discontinuation or a significant dosage reduction of a drug. Withdrawal also may be precipitated through the administration of drugs with opioid antagonist activity (e.g., naloxone, nalmefene), mixed agonist/antagonist analgesics (e.g., pentazocine, butorphanol, nalbuphine), or partial agonists (e.g., buprenorphine). Physical dependence may not occur to a clinically significant degree until after several days to weeks of continued opioid usage.

Do not abruptly discontinue hydrocodone bitartrate extended-release tablets in a patient physically dependent on opioids. Rapid tapering of hydrocodone bitartrate extended-release tablets in a patient physically dependent on opioids may lead to serious withdrawal symptoms, uncontrolled pain, and suicide. Rapid discontinuation has also been associated with attempts to find other sources of opioid analgesics, which may be confused with drug-seeking for abuse.

When discontinuing hydrocodone bitartrate extended-release tablets, gradually taper the dosage using a patients-specific plan that considers the following: the dose of hydrocodone bitartrate extended-release tablets the patient has been taking, the duration of treatment, and the physical and psychological attributes of the patient. To improve the likelihood of a successful taper and minimize withdrawal symptoms, it is important that the opioid tapering schedule is agreed upon by the patient. In patients taking opioids for a long duration at high doses, ensure that a multimodal approach to pain management, including mental health support (if needed), is in place prior to initiating an opioid analgesic taper [see Dosage and Administration (2.6), Warnings and Precautions (5.15)].  

Infants born to mothers physically dependent on opioids will also be physically dependent and may exhibit respiratory difficulties and withdrawal signs [see Use in Specific Populations (8.1)].  


10 Overdosage



Clinical Presentation
Acute overdosage with hydrocodone bitartrate extended-release tablets can be manifested by respiratory depression, somnolence progressing to stupor or coma, skeletal muscle flaccidity, cold and clammy skin, constricted pupils, and, in some cases, pulmonary edema, bradycardia, hypotension, partial or complete airway obstruction, atypical snoring, and death. Marked mydriasis rather than miosis may be seen with hypoxia in overdose situations [see Clinical Pharmacology (12.2)].  

Treatment of Overdose
In case of overdose, priorities are the re-establishment of a patent airway and institution of assisted or controlled ventilation, if needed. Employ other supportive measures (including oxygen and vasopressors) in the management of circulatory shock and pulmonary edema accompanying overdose as indicated. Cardiac arrest or arrhythmias will require advanced life support techniques.  

The opioid antagonists, naloxone or nalmefene, are specific antidotes to respiratory depression resulting from opioid overdosage. For clinically significant respiratory or circulatory depression secondary to hydrocodone overdose, administer an opioid antagonist. Opioid antagonists should not be administered in the absence of clinically significant respiratory or circulatory depression secondary to hydrocodone overdose.

Because the duration of opioid reversal is expected to be less than the duration of action of hydrocodone in hydrocodone bitartrate extended-release tablets, carefully monitor the patient until spontaneous respiration is reliably reestablished. Hydrocodone bitartrate extended-release tablets will continue to release hydrocodone and add to the hydrocodone load for 24 to 48 hours or longer following ingestion, necessitating prolonged monitoring. If the response to an opioid antagonist is suboptimal or only brief in nature, administer additional antagonist as directed by the product’s prescribing information. 

In an individual physically dependent on opioids, administration of the recommended dose of the antagonist will precipitate an acute withdrawal syndrome. The severity of the withdrawal syndrome produced will depend on the degree of physical dependence and the dose of the antagonist administered. If a decision is made to treat serious respiratory depression in the physically dependent patient, administration of the antagonist should be initiated with care and by titration with smaller than usual doses of the antagonist.


11 Description



Hydrocodone bitartrate extended-release tablets are supplied in 20 mg, 30 mg, 40 mg, 60 mg, 80 mg, 100 mg and 120 mg film-coated tablets for oral administration. The tablet strengths describe the amount of hydrocodone per tablet as the bitartrate salt.

Hydrocodone bitartrate is an opioid agonist. Its chemical name is 4,5α-epoxy-3-methoxy-17-­methylmorphinan-6-one tartrate (1:1) hydrate (2:5). Its structural formula is:

Empirical formula: C18H21NO3 • C4H6O6 • 2½H2O;     Molecular weight:   494.49.

Hydrocodone bitartrate exists as fine white crystals or a crystalline powder. It is affected by light. It is soluble in water, slightly soluble in alcohol, and insoluble in ether and chloroform.

The 20 mg, 30 mg, 40 mg, 60 mg, 80 mg, 100 mg and 120 mg tablets contain the following inactive ingredients: hydroxypropyl cellulose, magnesium stearate, microcrystalline cellulose, polyethylene glycol (PEG), polyethylene oxide, polysorbate 80, polyvinyl alcohol, talc, and titanium dioxide.

The 30 mg tablets also contain iron oxide red and iron oxide yellow.

The 40 mg tablets also contain iron oxide red.

The 60 mg tablets also contain FD&C Blue #2.

The 80 mg tablets also contain D&C Red #27 and FD&C Blue #1.

The 100 mg tablets also contain FD&C Blue #2 and iron oxide yellow.

The 120 mg tablets also contain iron oxide yellow.

The tablet imprinting ink contains ammonium hydroxide, butyl alcohol, iron oxide black, isopropyl alcohol, propylene glycol, and shellac.


12 Clinical Pharmacology




12.1 Mechanism Of Action



Hydrocodone is a full opioid agonist with relative selectivity for the mu-opioid receptor, although it can interact with other opioid receptors at higher doses. The principal therapeutic action of hydrocodone is analgesia. Like all full opioid agonists, there is no ceiling effect for analgesia with hydrocodone. Clinically, dosage is titrated to provide adequate analgesia and may be limited by adverse reactions, including respiratory and CNS depression.  

The precise mechanism of the analgesic action is unknown. However, specific CNS opioid receptors for endogenous compounds with opioid-like activity have been identified throughout the brain and spinal cord and are thought to play a role in the analgesic effects of this drug.


12.2 Pharmacodynamics



Cardiac Electrophysiology
QTc interval prolongation was studied in a double-blind, placebo- and positive-controlled 3-treatment parallel-group, dose-escalating study of hydrocodone bitartrate extended-release tablets in 196 healthy subjects. QTc interval prolongation was observed following 160 mg hydrocodone bitartrate extended-release tablets per day. The maximum mean (90% upper confidence bound) difference in the QTc interval between hydrocodone bitartrate extended-release tablets and placebo (after baseline-correction) at steady state was 6 (9) milliseconds, 7 (10) milliseconds, and 10 (13) milliseconds at hydrocodone bitartrate extended-release tablet doses of 80 mg, 120 mg and 160 mg respectively. For clinical implications of the prolonged QTc interval, see Warnings and Precautions (5.10).

Effects on the Central Nervous System
Hydrocodone produces respiratory depression by direct action on brainstem respiratory centers. The respiratory depression involves a reduction in the responsiveness of the brain stem respiratory centers to both increases in carbon dioxide tension and electrical stimulation.  

Hydrocodone causes miosis, even in total darkness. Pinpoint pupils are a sign of opioid overdose but are not pathognomonic (e.g., pontine lesions of hemorrhagic or ischemic origin may produce similar findings). Marked mydriasis rather than miosis may be seen with hypoxia in overdose situations [see Overdosage (10)].

Effects on the Gastrointestinal Tract and Other Smooth Muscle
Hydrocodone causes a reduction in motility associated with an increase in smooth muscle tone in the antrum of the stomach and duodenum. Digestion of food in the small intestine is delayed and propulsive contractions are decreased. Propulsive peristaltic waves in the colon are decreased, while tone is increased to the point of spasm, resulting in constipation. Other opioid-induced effects may include a reduction in biliary and pancreatic secretions, spasm of sphincter of Oddi, and transient elevations in serum amylase.

Effects on the Cardiovascular System
Hydrocodone produces peripheral vasodilation, which may result in orthostatic hypotension or syncope Manifestations of histamine release and/or peripheral vasodilation may include pruritus, flushing, red eyes, sweating, and/or orthostatic hypotension.

Effects on the Endocrine System
Opioids inhibit the secretion of adrenocorticotropic hormone (ACTH), cortisol, and luteinizing hormone (LH) in humans [see Adverse Reactions (6.2)]. They also stimulate prolactin, growth hormone (GH) secretion, and pancreatic secretion of insulin and glucagon. 

Chronic use of opioids may influence the hypothalamic-pituitary-gonadal axis, leading to androgen deficiency that may manifest as low libido, impotence, erectile dysfunction, amenorrhea, or infertility. The causal role of opioids in the clinical syndrome of hypogonadism is unknown because the various medical, physical, lifestyle, and psychological stressors that may influence gonadal hormone levels have not been adequately controlled for in studies conducted to date [see Adverse Reactions (6.2)].

Effects on the Immune System
Opioids have been shown to have a variety of effects on components of the immune system in in vitro and animal models. The clinical significance of these findings is unknown. Overall, the effects of opioids appear to be modestly immunosuppressive.  

Concentration—Efficacy Relationships
The minimum effective analgesic concentration will vary widely among patients who have been previously treated with potent agonist opioids. The minimum effective analgesic concentration of hydrocodone for any individual patient may increase over time due to an increase in pain, the development of a new pain syndrome, and/or the development of analgesic tolerance [see Dosage and Administration (2.1, 2.3)].  

Concentration—Adverse Experience Relationships
There is a relationship between increasing hydrocodone plasma concentration and increasing frequency of adverse reactions such as nausea, vomiting, CNS effects, and respiratory depression. In opioid-tolerant patients, the situation may be altered by the development of tolerance to opioid-related adverse reactions [see Dosage and Administration (2.1, 2.2, 2.3)].


12.3 Pharmacokinetics



Absorption
Hydrocodone bitartrate extended-release tablets are a single-entity extended-release formulation of hydrocodone that yields a gradual increase in plasma hydrocodone concentrations with a median Tmax of 14 to 16 hours noted for different dose strengths. Peak plasma levels may occur in the range of 6 to 30 hours after single dose hydrocodone bitartrate extended-release tablets administration.

Systemic exposure (AUC and Cmax) increased linearly with doses from 20 to 120 mg. Both Cmax and AUC increased slightly more than dose proportionally (Table 6). The mean terminal half-life (t1/2) was similar for all hydrocodone bitartrate extended-release tablets dose strengths ranging from 7 to 9 hours.

Table 6 Mean (SD) Single-Dose Pharmacokinetic Parameters of Hydrocodone Bitartrate Extended-Release Tablets

Dose Strength
(mg)
AUCinf
(ng•h/mL)
Cmax
(ng/mL)
Tmax

median (minimum, maximum)


(h)
20284 (128)14.6 (5.5)16 (6, 24)
40622 (252)33.9 (11.8)16 (6, 24)
601009 (294)53.6 (15.4)14 (10, 30)
801304 (375)69.1 (17.2)16 (10, 24)
1201787 (679)110 (44.1)14 (6, 30)

As compared to an immediate-release hydrocodone combination product, hydrocodone bitartrate extended-release tablets at the same daily dose results in similar bioavailability but with lower maximum concentrations at steady state (Figure 3).

Figure 3. Mean Steady-State Plasma Hydrocodone Concentration Profile

Steady-state plasma hydrocodone concentrations were confirmed on day 3 of once-daily dosing of hydrocodone bitartrate extended-release tablets. The extent of accumulation of systemic exposure was 1.3 and 1.1 fold with respect to AUC and Cmax at steady-state. The mean terminal half-life (t1/2) at steady state was 7 hours. Median Tmax values were 14 hours (range: 12 to 24 hours) on both Day 1 and Day 5 following once daily administration of hydrocodone bitartrate extended-release tablets for five days. Daily fluctuation in peak to trough plasma levels of hydrocodone were higher at 80 mg and 120 mg doses of hydrocodone bitartrate extended-release tablets compared to 30 mg dose (Table 7).

Table 7 Mean (SD) Steady-State Hydrocodone Pharmacokinetic Parameters

RegimenAUC24,ss
(ng•h/mL)
Cmax,ss
(ng/mL)
Cmin,ss
(ng/mL)
%Fluctuation*
Hydrocodone Bitartrate Extended-Release Tablets
30 mg q24h443 (128)26.4 (7.4)16.7 (5.2)61 (6.4, 113)
80 mg q24h1252 (352)82.6 (25.7)28.2 (12)105 (36, 214)
120 mg q24h1938 (729)135 (50)63.6 (29)97.9 (32, 250)

* Mean (minimum, maximum); Percentage fluctuation in plasma concentration is derived as (Cmax,ss – Cmin,  ss)*100/Cavg,ss.

Food Effects
Cmax and AUC of 120 mg hydrocodone bitartrate extended-release tablets were similar under low fat conditions relative to fasting conditions (17% and 9% higher, respectively). Cmax was higher (54%) under high fat conditions relative to fasting conditions; however, AUC of 120 mg hydrocodone bitartrate extended-release tablets was only 20% higher when co-administered with a high fat meal. Hydrocodone bitartrate extended-release tablets may be administered without regard to meals.

Distribution
Following administration of hydrocodone bitartrate extended-release tablets, the typical (70 kg adult) value of apparent volume of distribution (V/F) is 402 L, suggesting extensive tissue distribution. The extent of in vivo binding of hydrocodone to human plasma proteins was minimal with a mean % bound at 36%.

Elimination
Metabolism Hydrocodone exhibits a complex pattern of metabolism, including N-demethylation, O-demethylation, and 6-keto reduction to the corresponding 6-α-and 6-β-hydroxy metabolites. CYP3A4 mediated N-demethylation to inactive norhydrocodone is the primary metabolic pathway of hydrocodone with a lower contribution from CYP2B6 and CYP2C19. The minor metabolite hydromorphone (<3% of the circulating parent hydrocodone) was mainly formed by CYP2D6 mediated O-demethylation with a smaller contribution by CYP2B6 and CYP2C19. Hydromorphone may contribute to the total analgesic effect of hydrocodone.

Excretion
Hydrocodone and its metabolites are cleared primarily by renal excretion. The percent of administered dose excreted unchanged as hydrocodone in urine was 6.5% in subjects with normal renal function, and 5.0%, 4.8%, and 2.3% in subjects with mild, moderate, and severe renal impairment, respectively. Renal clearance (CLr) of hydrocodone in healthy subjects was small (5.3 L/h) compared to apparent oral clearance (CL/F, 83 L/h); suggesting that non-renal clearance is the main elimination route. Ninety-nine percent of the administered dose is eliminated within 72 hours. The mean terminal half-life (t1/2) was similar for all hydrocodone bitartrate extended-release tablets dose strengths ranging from approximately 7 to 9 hours across the range of doses.

Specific Populations
Age: Geriatric Patients
Following administration of 40 mg hydrocodone bitartrate extended-release tablets, the pharmacokinetics of hydrocodone in healthy elderly subjects (65 to 77 years) are similar to the pharmacokinetics in healthy younger subjects (20 to 45 years). There were no clinically meaningful increase in Cmax (16%) and AUC (15%) of hydrocodone in elderly as compared with younger adult subjects [see Use in Specific Populations (8.5)].

Sex
Systemic exposure of hydrocodone (Cmax and AUC) was similar between males and females.

Hepatic Impairment
After a single dose of 20 mg hydrocodone bitartrate extended-release tablets in subjects (8 each) with normal hepatic function, mild, moderate or severe hepatic impairment based on Child-Pugh classifications, mean hydrocodone Cmax values were 16 ng/mL, 15 ng/mL, 17 ng/mL, and 18 ng/mL, respectively. Mean hydrocodone AUC values were 342 ng.hr/mL, 310 ng.hr/mL, 390 ng.hr/mL, and 415 ng.hr/mL for subjects with normal hepatic function, mild, moderate or severe hepatic impairment, respectively. Geometric mean hydrocodone Cmax values were -6%, 5%, and 5% and AUC values were -14%, 13%, and 4% in patients with mild, moderate or severe hepatic impairment, respectively, when compared with subjects with normal hepatic function.

The mean in vivo plasma protein binding of hydrocodone across the groups was similar, ranging from 33% to 37% [see Use in Specific Populations (8.6)].

Renal Impairment
After a single dose of 60 mg hydrocodone bitartrate extended-release tablets in subjects (8 each) with normal renal function, mild, moderate, or severe renal impairment based on Cockcroft-Gault criteria and end stage renal disease (with dialysis) patients, mean hydrocodone Cmax values were 40 ng/mL, 50 ng/mL, 51 ng/mL, 46 ng/mL, and 38 ng/mL, respectively. Mean hydrocodone AUC values were 754 ng.hr/mL, 942 ng.hr/mL, 1222 ng.hr/mL, 1220 ng.hr/mL, and 932 ng.hr/mL for subjects with normal renal function, mild, moderate or severe renal impairment and ESRD with dialysis, respectively. Hydrocodone Cmax values were 14%, 23%, 11% and -13% and AUC values were 13%, 61%, 57% and 4% higher in patients with mild, moderate or severe renal impairment or end stage renal disease with dialysis, respectively [see Use in Specific Populations (8.7)].

Drug Interaction Studies
CYP3A4
Co-administration of hydrocodone bitartrate extended-release tablets (20 mg single dose) and CYP3A4 inhibitor ketoconazole (200 mg BID for 6 days) increased mean hydrocodone AUC and Cmax by 135% and 78%, respectively [see Warnings and Precautions (5.5) and Drug Interactions (7)].

CYP2D6
The 90% confidence interval (CI) of the geometric means for hydrocodone AUCinf (98% to 115%), AUCt (98% to 115%), and Cmax (93 to 121%) values were within the range of 80% to 125% when a single dose of 20 mg hydrocodone bitartrate extended-release tablets was co-administered with CYP2D6 inhibitor paroxetine (20 mg treatment each morning for 12 days). No differences in systemic exposure of hydrocodone were observed in the presence of paroxetine.


13 Nonclinical Toxicology




13.1 Carcinogenesis, Mutagenesis, Impairment Of Fertility



Carcinogenesis
Hydrocodone was evaluated for carcinogenic potential in rats and mice. In a two-year bioassay in rats, doses up to 25 mg/kg in males and females were administered orally and no treatment-related neoplasms were observed (exposure is equivalent to 0.2 times the human hydrocodone dose of 120 mg/day based on AUC exposure comparisons). In a two-year bioassay in mice, doses up to 200 mg/kg in males and 100 mg/kg in females were administered orally and no treatment-related neoplasms were observed (exposure is equivalent to 3.5 times and 3.0 times, respectively, the human hydrocodone dose of 120 mg/day based on AUC exposure comparisons).  

Mutagenesis
Hydrocodone was genotoxic in the mouse lymphoma assay in the presence of rat S9 metabolic activation but not in the absence of rat metabolic activation. However, hydrocodone was not genotoxic in the mouse lymphoma assay with or without human S9 metabolic activation. There was no evidence of genotoxic potential with hydrocodone in an in vitro bacterial reverse mutation assay with Salmonella typhimurium and Escherichia coli with or without metabolic activation or in an in vivo mouse bone marrow micronucleus test with or without metabolic activation.  

Impairment of Fertility
No effect on fertility or general reproductive performance was seen with oral administration of hydrocodone to male and female rats at doses up to 25 mg/kg/day (approximately 0.06 times and 0.08 times, respectively, the human hydrocodone dose of 120 mg/day based on AUC exposure comparisons).


14.1 Moderate To Severe Chronic Lower Back Pain Study



The efficacy and safety of hydrocodone bitartrate extended-release tablets was evaluated in a randomized double-blind, placebo-controlled, multi-center, 12-week clinical trial in both opioid-experienced and opioid-naïve patients with moderate to severe chronic low back pain.

A total of 905 chronic low back pain patients (opioid naive and opioid-experienced) who were not responsive to their prior analgesic therapy entered an open-label conversion and dose- titration period for up to 45 days with hydrocodone bitartrate extended-release tablets. Patients were dosed once daily with hydrocodone bitartrate extended-release tablets (20 mg to 120 mg). Patients stopped their prior opioid analgesics and/or nonopioid analgesics prior to starting hydrocodone bitartrate extended-release tablet treatment. Optional use of rescue medication (immediate-release oxycodone 5 mg) up to 2 doses (2 tablets) was permitted during the dose titration period. For inadequately controlled pain, hydrocodone bitartrate extended-release tablets dose was allowed to be increased once every 3 to 5 days until a stabilized and tolerable dose was identified. During the dose-titration period, 65% of the patients achieved a stable hydrocodone bitartrate extended-release tablets dose and entered the double-blind treatment period. The remaining subjects discontinued from the dose-titration period for the following reasons: adverse events (10%); lack of therapeutic effect (5%); confirmed or suspected diversion (3%); subject’s choice (5%); lost to follow-up (2%); administrative reasons (2%); and failure to achieve protocol-defined reduction in pain score (7%).

Following the dose titration period, 588 patients (65%) were randomized at a ratio of 1:1 into a 12-week double-blind treatment period with their fixed stabilized dose of hydrocodone bitartrate extended-release tablets (or matching placebo). These patients met the study randomization criteria of adequate analgesia (pain reduction of at least 2 points to a score of 4 or less on a 0 to 10 numerical rating scale) and acceptable tolerability of hydrocodone bitartrate extended-release tablets. Patients randomized to placebo were given a blinded taper of hydrocodone bitartrate extended-release tablets according to a pre-specified tapering schedule, 3 days on each step-down dose (reduced by 25% to 50% from the previous dose). Patients were allowed to use rescue medication (immediate-release oxycodone 5 mg) up to 6 doses (6 tablets) per day depending on their randomized hydrocodone bitartrate extended-release tablets dose. During the double-blind period, 229 treated patients (77%) completed the 12-week treatment with hydrocodone bitartrate extended-release tablets and 210 patients (72%) completed on placebo. Overall, 10% of patients discontinued due to lack of therapeutic effect (5% in hydrocodone bitartrate extended-release patients and 15% in placebo patients); 5% of patients discontinued due to adverse events (6% in hydrocodone bitartrate extended-release tablet treated patients and 3% in placebo patients).

Hydrocodone bitartrate extended-release tablets provided greater analgesia compared with placebo. There was a statistically significant difference in the weekly average pain scores at Week 12 between the two groups.

The percentage of patients (responders) in each group who demonstrated improvement in their weekly average pain scores at Week 12, as compared with screening is shown in Figure 4. The figure is cumulative, so that patients whose change from screening is, for example, 30%, are also included at every level of improvement below 30%. Patients who did not complete the study were classified as non-responders. Treatment with hydrocodone bitartrate extended-release tablets resulted in a higher proportion of responders, defined as patients with at least a 30% and 50% improvement, as compared with placebo.

Figure 4. Percent Improvement in Pain Intensity


16 How Supplied/Storage And Handling



Hydrocodone Bitartrate Extended-Release Tablets 20 mg are white, round, film-coated tablets, with “A392” printed in black ink on one side, and blank on the other side. They are supplied in opaque plastic bottles with a child-resistant closure. (NDC 47781-392-60, Bottle of 60 tablets).

Hydrocodone Bitartrate Extended-Release Tablets 30 mg are beige, round, film-coated tablets, with “A393” printed in black ink on one side, and blank on the other side. They are supplied in opaque plastic bottles with a child-resistant closure. (NDC 47781-393-60, Bottle of 60 tablets).

Hydrocodone Bitartrate Extended-Release Tablets 40 mg are pink, round, film-coated tablets, with “A394” printed in black ink on one side, and blank on the other side. They are supplied in opaque plastic bottles with a child-resistant closure. (NDC 47781-394-60, Bottle of 60 tablets).

Hydrocodone Bitartrate Extended-Release Tablets 60 mg are blue, round, film-coated tablets, with “A395” printed in black ink on one side, and blank on the other side. They are supplied in opaque plastic bottles with a child-resistant closure. (NDC 47781-395-60, Bottle of 60 tablets).

Hydrocodone Bitartrate Extended-Release Tablets 80 mg are violet, round, film-coated tablets, with “A396” printed in black ink on one side, and blank on the other side. They are supplied in opaque plastic bottles with a child-resistant closure. (NDC 47781-396-60, Bottle of 60 tablets).

Hydrocodone Bitartrate Extended-Release Tablets 100 mg are green, round, film-coated tablets, with “A397” printed in black ink on one side, and blank on the other side. They are supplied in opaque plastic bottles with a child-resistant closure. (NDC 47781-397-60, Bottle of 60 tablets).

Hydrocodone Bitartrate Extended-Release Tablets 120 mg are yellow, round, film-coated tablets, with “A398” printed in black ink on one side, and blank on the other side. They are supplied in opaque plastic bottles with a child-resistant closure. (NDC 47781-398-60, Bottle of 60 tablets).

Store at 25°C (77°F); excursions permitted between 15° to 30°C (59° to 86°F) [see USP Controlled Room Temperature].

Dispense in a tight, light-resistant container, as defined by the USP.

Store Hydrocodone Bitartrate Extended-Release Tablets securely and dispose of properly [see Patient Counseling Information (17)].


17 Patient Counseling Information



Advise the patient to read the FDA-approved patient labeling (Medication Guide).

Storage and Disposal
Because of the risks associated with accidental ingestion, misuse, and abuse, advise patients to store hydrocodone bitartrate extended-release tablets securely, out of sight and reach of children, and in a location not accessible by others, including visitors to the home [see Warnings and Precautions (5.1, 5.3), Drug Abuse and Dependence (9.2)]. Inform patients that leaving hydrocodone bitartrate extended-release tablets unsecured can pose a deadly risk to others in the home.

Advise patients and caregivers that when medicines are no longer needed, they should be disposed of promptly. Expired, unwanted, or unused hydrocodone bitartrate extended-release tablets should be disposed of by flushing the unused medication down the toilet if a drug take-back option is not readily available. Inform patients that they can visit www.fda.gov/drugdisposal for a complete list of medicines recommended for disposal by flushing, as well as additional information on disposal of unused medicines.

Addiction, Abuse, and Misuse
Inform patients that the use of hydrocodone bitartrate extended-release tablets, even when taken as recommended, can result in addiction, abuse, and misuse, which can lead to overdose or death [see Warnings and Precautions (5.1)]. Instruct patients not to share hydrocodone bitartrate extended-release tablets with others and to take steps to protect hydrocodone bitartrate extended-release tablets from theft or misuse.

Life-Threatening Respiratory Depression
Inform patients of the risk of life-threatening respiratory depression, including information that the risk is greatest when starting hydrocodone bitartrate extended-release tablets or when the dosage is increased, and that it can occur even at recommended dosages [see Warnings and Precautions (5.3)]. Advise patients how to recognize respiratory depression and to seek medical attention if breathing difficulties develop.

Accidental Ingestion
Inform patients that accidental ingestion, especially by children, may result in respiratory depression or death [see Warnings and Precautions (5.3)].

Interaction with Benzodiazepines and other CNS Depressants
Inform patients and caregivers that potentially fatal additive effects may occur if hydrocodone bitartrate extended-release tablets are used with benzodiazepines or other CNS depressants, including alcohol, and not to use these concomitantly unless supervised by a health care provider [see Warnings and Precautions (5.6), Drug Interactions (7)].

Serotonin Syndrome
Inform patients that opioids could cause a rare but potentially life-threatening condition resulting from concomitant administration of serotonergic drugs. Warn patients of the symptoms of serotonin syndrome and to seek medical attention right away if symptoms develop. Instruct patients to inform their healthcare providers if they are taking, or plan to take serotonergic medications [see Drug Interactions (7)].

MAOI Interaction
Inform patients to avoid taking hydrocodone bitartrate extended-release tablets while using any drugs that inhibit monoamine oxidase. Patients should not start MAOIs while taking hydrocodone bitartrate extended-release tablets [see Drug Interactions (7)].

Adrenal Insufficiency
Inform patients that opioids could cause adrenal insufficiency, a potentially life-threatening condition. Adrenal insufficiency may present with non-specific symptoms and signs such as nausea, vomiting, anorexia, fatigue, weakness, dizziness, and low blood pressure. Advise patients to seek medical attention if they experience a constellation of these symptoms [see Warnings and Precautions (5.8)].

Important Administration Instructions
Instruct patients how to properly take hydrocodone bitartrate extended-release tablets, including the following:

  • Use hydrocodone bitartrate extended-release tablets exactly as prescribed to reduce the risk of life-threatening adverse reactions (e.g., respiratory depression) [see Warnings and Precautions (5.3)].
  • Swallow tablets whole, one tablet at a time, with enough water to ensure swallowing immediately after placing in the mouth [see Dosage and Administration (2.1)].
  • Do not pre-soak, lick, or otherwise wet the tablet prior to placing in the mouth [see Dosage and Administration (2.1)].
  • Do not chew, crush, or dissolve the tablets [see Dosage and Administration (2.1)].
  • Important Discontinuation Instructions
    In order to avoid developing withdrawal symptoms, instruct patients not to discontinue hydrocodone bitartrate extended-release tablets without first discussing a tapering plan with the prescriber [see Dosage and Administration (2.6)].

    Hypotension
    Inform patients that hydrocodone bitartrate extended-release tablets may cause orthostatic hypotension and syncope. Instruct patients how to recognize symptoms of low blood pressure and how to reduce the risk of serious consequences should hypotension occur (e.g., sit or lie down, carefully rise from a sitting or lying position) [see Warnings and Precautions (5.9)].

    QTc interval prolongation
    Inform patients that QT prolongation has been observed with hydrocodone bitartrate extended-release tablets [see Clinical Pharmacology (12.2)]. Hydrocodone bitartrate extended-release tablets should be avoided in patients with congenital long QT syndrome. Instruct patients with a history of congestive heart failure or bradyarrhythmias, and patients at risk for electrolyte abnormalities or who are taking other medications known to prolong the QT interval, that periodic monitoring of electrocardiograms and electrolytes may be necessary during therapy with hydrocodone bitartrate extended-release tablets [see Warnings and Precautions (5.10)].

    Anaphylaxis
    Inform patients that anaphylaxis has been reported with ingredients contained in hydrocodone bitartrate extended-release tablets. Advise patients how to recognize such a reaction and when to seek medical attention [see Contraindications (4), Adverse Reactions (6)].

    Pregnancy
    Neonatal Opioid Withdrawal Syndrome
    Inform female patients of reproductive potential that prolonged use of hydrocodone bitartrate extended-release tablets during pregnancy can result in neonatal opioid withdrawal syndrome, which may be life-threatening if not recognized and treated [see Warnings and Precautions (5.4), Use in Specific Populations (8.1)].  

    Embryo-Fetal Toxicity
    Inform female patients of reproductive potential that hydrocodone bitartrate extended-release tablets can cause fetal harm and to inform their healthcare provider of a known or suspected pregnancy [see Use in Specific Populations (8.1)].

    Lactation
    Advise patients that breastfeeding is not recommended during treatment with hydrocodone bitartrate extended-release tablets [see Use in Specific Populations (8.2)].

    Infertility
    Inform patients that chronic use of opioids may cause reduced fertility. It is not known whether these effects on fertility are reversible [see Adverse Reactions (6.2), Use in Specific Populations (8.3)].

    Driving or Operating Heavy Machinery
    Inform patients that hydrocodone bitartrate extended-release tablets may impair the ability to perform potentially hazardous activities such as driving a car or operating heavy machinery. Blood levels of hydrocodone, in some patients, may be high at the end of 24 hours after repeated dose administration. Advise patients not to perform such tasks until they know how they will react to the medication [see Warnings and Precautions (5.16)].

    Constipation
    Advise patients of the potential for severe constipation, including management instructions and when to seek medical attention. Instruct patients to monitor their analgesic response following the use of strong laxatives and to contact the prescriber if changes are noted [see Adverse Reactions (6), Clinical Pharmacology (12.2)].

    Healthcare professionals can telephone Alvogen, Inc. at 1-866-770-3024 for information on this product.

    Distributed by:
    Alvogen, Inc.
    Morristown, NJ 07960 USA

    PKG02660
    PI392-00



* Please review the disclaimer below.