Product Images Epinephrine

View Photos of Packaging, Labels & Appearance

Product Label Images

The following 24 images provide visual information about the product associated with Epinephrine NDC 49502-102 by Viatris Specialty Llc, such as packaging, labeling, and the appearance of the drug itself. This resource could be helpful for medical professionals, pharmacists, and patients seeking to verify medication information and ensure they have the correct product.

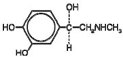
Epinephrine Structrual Formula - image 01

Epinephrine Structrual Formula - image 01

Epinephrine Injection Auto-Injectors - image 02

Epinephrine Injection Auto-Injectors - image 02

This is a description of two different doses of Epinephrine Injection, USP Auto-Injectors (0.3mg and 0.15mg), each labeled with a different color (yellow and green). The auto-injectors come in a Carrier Tube and have an expiration date printed in orange. Additionally, a blue safety indicator is shown.*

Instructions for Use Step 1 Figure 1 - image 03

Instructions for Use Step 1 Figure 1 - image 03

This documentation seems to outline the use of an auto-injector containing epinephrine. The images labeled as Figure 1 and Figure 2 illustrate the position of the blue safety release switch. In Figure 1, the blue safety release is not raised, whereas in Figure 2, it is raised. The text also suggests that if the blue safety release is not raised, the epinephrine injection should not be used and replaced with a new one.*

Instructions for Use Step 1 Figure 2 - image 04

Instructions for Use Step 1 Figure 2 - image 04

Instructions for Use Step 1 Figure 3 - image 05

Instructions for Use Step 1 Figure 3 - image 05

Instructions for Use Step 2 Figure 1 - image 06

Instructions for Use Step 2 Figure 1 - image 06

Instructions for Use Step 2 Figure 2 - image 07

Instructions for Use Step 2 Figure 2 - image 07

Instructions for Use Step 2 Figure 3 - image 08

Instructions for Use Step 2 Figure 3 - image 08

Instructions for Use Step 2 Figure 4 - image 09

Instructions for Use Step 2 Figure 4 - image 09

Epinephrine Trainer - image 10

Epinephrine Trainer - image 10

Trainer Instuctions for Use Figure 1 - image 11

Trainer Instuctions for Use Figure 1 - image 11

The text is not-available.*

Trainer Instuctions for Use Figure 2 - image 12

Trainer Instuctions for Use Figure 2 - image 12

Trainer Instuctions for Use Figure 3 - image 13

Trainer Instuctions for Use Figure 3 - image 13

Trainer Instuctions for Use Figure 4 - image 14

Trainer Instuctions for Use Figure 4 - image 14

Trainer Instructions for Use Trainer Injector - image 15

Trainer Instructions for Use Trainer Injector - image 15

Trainer Instructions for Use 0.3 mg Injector - image 16

Trainer Instructions for Use 0.3 mg Injector - image 16

Trainer Instructions for Use 0.15 mg Injector - image 17

Trainer Instructions for Use 0.15 mg Injector - image 17

Carton Contents - image 18

Carton Contents - image 18

Carton Instructions for Use Steps 1 - 3 - image 19

Carton Instructions for Use Steps 1 - 3 - image 19

Epinephrine Injection, USP 0.3 mg Carton - image 20

Epinephrine Injection, USP 0.3 mg Carton - image 20

This appears to be a set of instructions for using a medical device. The device likely requires a person to remove a cap or obstruction before using and then apply pressure or push a button to deliver medication. The user is instructed to hold the device in place for three seconds to ensure the delivery of the medication. The name of the medical device or medication is not provided in the text.*

Carton Contents - image 21

Carton Contents - image 21

This is a description of a medical product that is an Epinephrine Injection, USP auto-injector. It comes in single-dose auto-injectors of 0.3 mg, with two yellow and one grey auto-injectors in each carton. One of the auto-injectors is for training purposes only and does not contain medication. The product is for use in allergic emergencies (anaphylaxis) and should be used with adult supervision. It is important to note not to put fingers or hand over the injector and to replace if discolored. Further information can be found on www.spipen.com.*

Carton Instructions for Use Steps 1 - 3 - image 22

Carton Instructions for Use Steps 1 - 3 - image 22

Epinephrine Injection, USP 0.15 mg Carton - image 23

Epinephrine Injection, USP 0.15 mg Carton - image 23

This appears to be a set of instructions on how to administer medication using a device. It suggests pulling the orange tip upwards firmly to remove the safety seal and deliver the medicine. The text is not entirely legible and some characters are missing, but the general idea can be inferred.*

image 24

image 24

This document appears to be a description or instructions for a medication called Epinephrine Injection, USP, and specifically for the single-dose auto-injectors containing 0.15 mg. The text warns not to put any fingers over the orange part of the device and not to remove it until needed. One carton contains two green and one grey auto-injector, as well as a training device. It also states that these devices should only be used under adult supervision. For more information, a link to www.epipen.com is provided.*

* The product label images have been analyzed using a combination of traditional computing and machine learning techniques. It should be noted that the descriptions provided may not be entirely accurate as they are experimental in nature. Use the information in this page at your own discretion and risk.