FDA Label for Ermeza
View Indications, Usage & Precautions
- WARNING: NOT FOR TREATMENT OF OBESITY OR FOR WEIGHT LOSS
- 1 INDICATIONS AND USAGE
- 2.1 IMPORTANT ADMINISTRATION INSTRUCTIONS
- 2.2 IMPORTANT CONSIDERATIONS FOR DOSING
- PRIMARY, SECONDARY, AND TERTIARY HYPOTHYROIDISM IN ADULTS
- PRIMARY, SECONDARY, AND TERTIARY HYPOTHYROIDISM IN PEDIATRIC PATIENTS
- PEDIATRIC PATIENTS FROM BIRTH TO 3 MONTHS OF AGE AT RISK FOR CARDIAC FAILURE
- PEDIATRIC PATIENTS AT RISK FOR HYPERACTIVITY
- HYPOTHYROIDISM IN PREGNANT PATIENTS
- TSH SUPPRESSION IN WELL-DIFFERENTIATED THYROID CANCER IN ADULT AND PEDIATRIC PATIENTS
- 2.4 CONVERTING RECOMMENDED MICROGRAM DOSAGE TO MILLILITERS
- 2.5 MONITORING TSH AND/OR THYROXINE (T4) LEVELS
- ADULTS
- PEDIATRIC PATIENTS
- SECONDARY AND TERTIARY HYPOTHYROIDISM
- 3 DOSAGE FORMS AND STRENGTHS
- 4 CONTRAINDICATIONS
- 5.1 SERIOUS RISKS RELATED TO OVERTREATMENT OR UNDERTREATMENT OF ERMEZA
- 5.2 CARDIAC ADVERSE REACTIONS IN THE ELDERLY AND IN PATIENTS WITH UNDERLYING CARDIOVASCULAR DISEASE
- 5.3 MYXEDEMA COMA
- 5.4 ACUTE ADRENAL CRISIS IN PATIENTS WITH CONCOMITANT ADRENAL INSUFFICIENCY
- 5.5 WORSENING OF DIABETIC CONTROL
- 5.6 DECREASED BONE MINERAL DENSITY ASSOCIATED WITH THYROID HORMONE OVER-REPLACEMENT
- 6 ADVERSE REACTIONS
- 7.1 DRUGS KNOWN TO AFFECT THYROID HORMONE PHARMACOKINETICS
- 7.2 ANTIDIABETIC THERAPY
- 7.3 ORAL ANTICOAGULANTS
- 7.4 DIGITALIS GLYCOSIDES
- 7.5 ANTIDEPRESSANT THERAPY
- 7.6 KETAMINE
- 7.7 SYMPATHOMIMETICS
- 7.8 TYROSINE-KINASE INHIBITORS
- 7.9 DRUG-FOOD INTERACTIONS
- 7.10 DRUG-LABORATORY TEST INTERACTIONS
- RISK SUMMARY
- DISEASE-ASSOCIATED MATERNAL AND/OR EMBRYO/FETAL RISK
- DOSE ADJUSTMENTS DURING PREGNANCY AND THE POSTPARTUM PERIOD
- 8.4 PEDIATRIC USE
- 8.5 GERIATRIC USE
- 10 OVERDOSAGE
- 11 DESCRIPTION
- 12.1 MECHANISM OF ACTION
- 12.2 PHARMACODYNAMICS
- ABSORPTION
- DISTRIBUTION
- METABOLISM
- EXCRETION
- 13.1 CARCINOGENESIS, MUTAGENESIS, IMPAIRMENT OF FERTILITY
- 16 HOW SUPPLIED/STORAGE AND HANDLING
- 17 PATIENT COUNSELING INFORMATION
- PATIENT INFORMATION
- INSTRUCTIONS FOR USE
- PRINCIPAL DISPLAY PANEL – 150 MCG/5 ML
Ermeza Product Label
The following document was submitted to the FDA by the labeler of this product Viatris Specialty Llc. The document includes published materials associated whith this product with the essential scientific information about this product as well as other prescribing information. Product labels may durg indications and usage, generic names, contraindications, active ingredients, strength dosage, routes of administration, appearance, warnings, inactive ingredients, etc.
Warning: Not For Treatment Of Obesity Or For Weight Loss
Thyroid hormones, including ERMEZA, either alone or with other therapeutic agents, should not be used for the treatment of obesity or for weight loss.
In euthyroid patients, doses within the range of daily hormonal requirements are ineffective for weight reduction.
Larger doses may produce serious or even life threatening manifestations of toxicity, particularly when given in association with sympathomimetic amines such as those used for their anorectic effects [see Adverse Reactions (6), Drug Interactions (7.7), and Overdosage (10)].
1 Indications And Usage
Hypothyroidism
ERMEZA is indicated in adult and pediatric patients, including neonates, as a replacement therapy in primary (thyroidal), secondary (pituitary), and tertiary (hypothalamic) congenital or acquired hypothyroidism.
Pituitary Thyrotropin (Thyroid-Stimulating Hormone, TSH) Suppression
ERMEZA is indicated in adult and pediatric patients, including neonates, as an adjunct to surgery and radioiodine therapy in the management of thyrotropin-dependent well-differentiated thyroid cancer.
Limitations of Use:
• ERMEZA is not indicated for suppression of benign thyroid nodules and nontoxic diffuse goiter in iodine-sufficient patients as there are no clinical benefits and overtreatment with ERMEZA may induce hyperthyroidism [see Warnings and Precautions (5.1)].• ERMEZA is not indicated for treatment of hypothyroidism during the recovery phase of subacute thyroiditis.
2.1 Important Administration Instructions
Administer ERMEZA as a single daily oral dose, on an empty stomach, one-half to one hour before breakfast.
Administer ERMEZA at least 4 hours before or after drugs known to interfere with levothyroxine absorption [see Drug Interactions (7.1)].
Evaluate the need for dose adjustments when regularly administering within one hour of certain foods that may affect levothyroxine absorption [see Dosage and Administration (2.2 and 2.3), Drug Interactions (7.9) and Clinical Pharmacology (12.3)].
Convert mcg dosage to mL using the following equation and round up or down to the nearest syringe graduation [see Dosage and Administration (2.4)]:
Administer ERMEZA directly to the mouth using the 5 mL or 10 mL oral syringe provided in the original carton. A household teaspoon or tablespoon is not an adequate measuring device. Instruct patients to read the “Instructions for Use” carefully for complete directions on how to properly dose and administer ERMEZA.
2.2 Important Considerations For Dosing
ERMEZA oral solution may have a different concentration from other levothyroxine oral solution products. Use caution and consider the total dosage in terms of mcg and not volume (mL) when converting between ERMEZA and other levothyroxine oral solution products.
The dosage of ERMEZA for hypothyroidism or pituitary TSH suppression depends on a variety of factors including: the patient's age, body weight, cardiovascular status, concomitant medical conditions (including pregnancy), concomitant medications, co-administered food and the specific nature of the condition being treated [see Dosage and Administration (2.3), Warnings and Precautions (5), and Drug Interactions (7)]. Dosing must be individualized to account for these factors and dose adjustments made based on periodic assessment of the patient's clinical response and laboratory parameters [see Dosage and Administration (2.5)].
For adult patients with primary hypothyroidism, titrate until the patient is clinically euthyroid and the serum TSH returns to normal [see Dosage and Administration (2.3)].
For secondary or tertiary hypothyroidism, serum TSH is not a reliable measure of ERMEZA dosage adequacy and should not be used to monitor therapy. Use the serum free-T4 level to titrate ERMEZA dosing until the patient is clinically euthyroid and the serum free-T4 level is restored to the upper half of the normal range [see Dosage and Administration (2.3)].
The peak therapeutic effect of a given dose of ERMEZA may not be attained for 4 to 6 weeks.
Primary, Secondary, And Tertiary Hypothyroidism In Adults
The recommended starting daily dosage of ERMEZA in adults with primary, secondary, or tertiary hypothyroidism is based on age and comorbid cardiac conditions, as described in Table 1. For patients at risk of atrial fibrillation or patients with underlying cardiac disease, start with a lower dosage and titrate the dosage more slowly to avoid exacerbation of cardiac symptoms. Dosage titration is based on serum TSH or free-T4 [see Dosage and Administration (2.2)].
Patient Population | Starting Dosage | Dosage Titration Based on Serum TSH or Free-T4 |
Adults diagnosed with hypothyroidism | Full replacement dose is 1.6 mcg/kg/day. Some patients require a lower starting dose. | Titrate dosage by 12.5 to 25 mcg increments every 4 to 6 weeks, as needed until the patient is euthyroid. |
Adults at risk for atrial fibrillation or with underlying cardiac disease | Lower starting dose, less than 1.6 mcg/kg/day. |
Titrate dosage every 6 to 8 weeks, as needed until the patient is euthyroid. |
Geriatric patients | Lower starting dose, less than 1.6 mcg/kg/day. |
Primary, Secondary, And Tertiary Hypothyroidism In Pediatric Patients
The recommended starting daily dosage of ERMEZA in pediatric patients with primary, secondary, or tertiary hypothyroidism is based on body weight and changes with age as described in Table 2. Titrate the dosage (every 2 weeks) as needed based on serum TSH or free-T4 until the patient is euthyroid [see Dosage and Administration (2.2)].
Age | Starting Daily Dosage Per Kg Body Weight Adjust dosage based on clinical response and laboratory parameters [see Dosage and Administration (2.4) and Use in Specific Populations (8.4)]. |
0-3 months | 10-15 mcg/kg/day |
3-6 months | 8-10 mcg/kg/day |
6-12 months | 6-8 mcg/kg/day |
1-5 years | 5-6 mcg/kg/day |
6-12 years | 4-5 mcg/kg/day |
Greater than 12 years but growth and puberty incomplete | 2-3 mcg/kg/day |
Growth and puberty complete | 1.6 mcg/kg/day |
Pediatric Patients From Birth To 3 Months Of Age At Risk For Cardiac Failure
Start at a lower starting dosage and increase the dosage every 4 to 6 weeks as needed based on clinical and laboratory response.
Pediatric Patients At Risk For Hyperactivity
To minimize the risk of hyperactivity, start at one-fourth the recommended full replacement dosage, and increase on a weekly basis by one-fourth the full recommended replacement dosage until the full recommended replacement dosage is reached.
Hypothyroidism In Pregnant Patients
For pregnant patients with pre-existing hypothyroidism, measure serum TSH and free-T4 as soon as pregnancy is confirmed and, at minimum, during each trimester of pregnancy. In pregnant patients with primary hypothyroidism, maintain serum TSH in the trimester-specific reference range. The recommended daily dosage of ERMEZA in pregnant patients is described in Table 3.
Patient Population | Starting Dosage | Dose Adjustment and Titration |
Pre-existing primary hypothyroidism with serum TSH above normal trimester-specific range | Pre-pregnancy dosage may increase during pregnancy | Increase ERMEZA dosage by 12.5 to 25 mcg per day. Monitor TSH every 4 weeks until a stable dose is reached and serum TSH is within normal trimester-specific range.
Reduce ERMEZA dosage to pre-pregnancy levels immediately after delivery. Monitor serum TSH 4 to 8 weeks postpartum. |
New onset hypothyroidism | 1.6 mcg/kg/day | Monitor serum TSH every 4 weeks and adjust ERMEZA dosage until serum TSH is within normal trimester specific range. |
New onset hypothyroidism | 1.0 mcg/kg/day |
Tsh Suppression In Well-Differentiated Thyroid Cancer In Adult And Pediatric Patients
The ERMEZA dosage is based on the target level for TSH suppression for the stage and clinical status of thyroid cancer.
2.4 Converting Recommended Microgram Dosage To Milliliters
After determination of the recommended ERMEZA dosage in mcg [see Dosage and Administration (2.3)], convert the required mcg dosage to mL using the following equation:
Once the mcg dose has been converted to mL, it should be rounded up or down to the nearest syringe graduation (0.1 mL for doses up to 5 mL or 0.2 mL for doses up to 10 mL).
Example of dosing volumes in mL for the equivalent mcg dosages is shown in Table 4.
Dose (mcg) | Dose (mL) using 5 mL syringe | Dose (mL) using 10 mL syringe |
12.5 | 0.4 | Do not use |
25 | 0.8 | |
50 | 1.7 | |
75 | 2.5 | |
88 | 2.9 | |
100 | 3.3 | |
112 | 3.7 | |
125 | 4.2 | |
137 | 4.6 | |
150 | 5.0 | |
175 | Do not use | 5.8 |
200 | 6.6 | |
300 | 10.0 |
The 5 mL syringe provided in the original carton should be used for doses up to 5 mL with each graduation mark representing 0.1 mL.
The 10 mL syringe provided in the original carton should be used for doses over 5 mL with each graduation mark representing 0.2 mL.
2.5 Monitoring Tsh And/Or Thyroxine (T4) Levels
Assess the adequacy of therapy by periodic assessment of laboratory tests and clinical evaluation. Persistent clinical and laboratory evidence of hypothyroidism, despite an apparent adequate replacement dose of ERMEZA, may be evidence of inadequate absorption, poor compliance, drug interactions, or a combination of these factors.
The risk of thyroid imbalance can be linked to the switch between levothyroxine-containing products. Assess the adequacy of therapy by assessment of laboratory tests, and clinical evaluation is recommended.
Adults
In adult patients with primary hypothyroidism, monitor serum TSH levels after an interval of 6 to 8 weeks after any change in dosage. In patients on a stable and appropriate replacement dose, evaluate clinical and biochemical response every 6 to 12 months and whenever there is a change in the patient’s clinical status.
Pediatric Patients
In patients with hypothyroidism, assess the adequacy of replacement therapy by measuring both serum TSH and total or free-T4. Monitor TSH and total or free-T4 in pediatric patients as follows: 2 and 4 weeks after the initiation of treatment, 2 weeks after any change in dosage, and then every 3 to 12 months thereafter following dosage stabilization until growth is completed. Poor compliance or abnormal values may necessitate more frequent monitoring. Perform routine clinical examination, including assessment of development, mental and physical growth, and bone maturation, at regular intervals.
The general aim of therapy is to normalize the serum TSH level. TSH may not normalize in some patients due to in utero hypothyroidism causing a resetting of pituitary-thyroid feedback. Failure of the serum T4 to increase into the upper half of the normal range within 2 weeks of initiation of ERMEZA therapy and/or of the serum TSH to decrease below 20 mIU per liter within 4 weeks may indicate the patient is not receiving adequate therapy. Assess compliance, dose of medication administered, and method of administration prior to increasing the dose of ERMEZA [see Warnings and Precautions (5.1) and Use in Specific Populations (8.4)].
Secondary And Tertiary Hypothyroidism
Monitor serum free-T4 levels and maintain in the upper half of the normal range in these patients.
3 Dosage Forms And Strengths
ERMEZA (levothyroxine sodium) Oral Solution, 150 mcg/ 5 mL (30 mcg/ mL) is a clear, colorless solution supplied in a 90 mL or 180 mL amber glass bottle with a child-resistant closure.
ERMEZA is to be used with the 5 mL or 10 mL oral syringe provided in the original carton.
4 Contraindications
ERMEZA is contraindicated in patients with:
• Uncorrected adrenal insufficiency [see Warnings and Precautions (5.4)].• Hypersensitivity to glycerin and edetate disodium, inactive ingredients in ERMEZA [see Adverse Reactions (6) and Pediatric Use (8.4)].
5.1 Serious Risks Related To Overtreatment Or Undertreatment Of Ermeza
ERMEZA has a narrow therapeutic index. Overtreatment or undertreatment with ERMEZA may have negative effects on growth and development, cardiovascular function, bone metabolism, reproductive function, cognitive function, gastrointestinal function, and glucose and lipid metabolism in adult or pediatric patients.
In pediatric patients with congenital and acquired hypothyroidism, undertreatment may adversely affect cognitive development and linear growth, and overtreatment is associated with craniosynostosis and acceleration of bone age [see Use in Specific Populations (8.4)].
Titrate the dose of ERMEZA carefully and monitor response to titration to avoid these effects [see Dosage and Administration (2.4)]. Consider the potential for food or drug interactions and adjust the administration or dosage of ERMEZA as needed [see Dosage and Administration (2.1), Drug Interactions (7.1), and Clinical Pharmacology (12.3)].
5.2 Cardiac Adverse Reactions In The Elderly And In Patients With Underlying Cardiovascular Disease
Over-treatment with levothyroxine may cause an increase in heart rate, cardiac wall thickness, and cardiac contractility and may precipitate angina or arrhythmias, particularly in patients with cardiovascular disease and in elderly patients. Initiate ERMEZA therapy in this population at lower doses than those recommended in younger individuals or in patients without cardiac disease [see Dosage and Administration (2.3), Use in Specific Populations (8.5)].
Monitor for cardiac arrhythmias during surgical procedures in patients with coronary artery disease receiving suppressive ERMEZA therapy. Monitor patients receiving concomitant ERMEZA and sympathomimetic agents for signs and symptoms of coronary insufficiency.
If cardiac symptoms develop or worsen, reduce the ERMEZA dose or withhold for one week and restart at a lower dose.
5.3 Myxedema Coma
Myxedema coma is a life-threatening emergency characterized by poor circulation and hypometabolism and may result in unpredictable absorption of levothyroxine sodium from the gastrointestinal tract. Use of oral thyroid hormone drug products is not recommended to treat myxedema coma. Administer thyroid hormone products formulated for intravenous administration to treat myxedema coma.
5.4 Acute Adrenal Crisis In Patients With Concomitant Adrenal Insufficiency
Thyroid hormone increases metabolic clearance of glucocorticoids. Initiation of thyroid hormone therapy prior to initiating glucocorticoid therapy may precipitate an acute adrenal crisis in patients with adrenal insufficiency. Treat patients with adrenal insufficiency with replacement glucocorticoids prior to initiating treatment with ERMEZA [see Contraindications (4)].
5.5 Worsening Of Diabetic Control
Addition of levothyroxine therapy in patients with diabetes mellitus may worsen glycemic control and result in increased antidiabetic agent or insulin requirements. Carefully monitor glycemic control after starting, changing, or discontinuing ERMEZA [see Drug Interactions (7.2)].
5.6 Decreased Bone Mineral Density Associated With Thyroid Hormone Over-Replacement
Increased bone resorption and decreased bone mineral density may occur as a result of levothyroxine over-replacement, particularly in post-menopausal women. The increased bone resorption may be associated with increased serum levels and urinary excretion of calcium and phosphorous, elevations in bone alkaline phosphatase, and suppressed serum parathyroid hormone levels. Administer the minimum dose of ERMEZA that achieves the desired clinical and biochemical response to mitigate this risk.
6 Adverse Reactions
Adverse reactions associated with levothyroxine therapy are primarily those of hyperthyroidism due to therapeutic overdosage [see Warnings and Precautions (5), Overdosage (10)]. They include the following:
• General: fatigue, increased appetite, weight loss, heat intolerance, fever, excessive sweating• Central nervous system: headache, hyperactivity, nervousness, anxiety, irritability, emotional lability, insomnia• Musculoskeletal: tremors, muscle weakness, muscle spasm• Cardiovascular: palpitations, tachycardia, arrhythmias, increased pulse and blood pressure, heart failure, angina, myocardial infarction, cardiac arrest• Respiratory: dyspnea• Gastrointestinal: diarrhea, vomiting, abdominal cramps, elevations in liver function tests• Dermatologic: hair loss, flushing, rash• Endocrine: decreased bone mineral density• Reproductive: menstrual irregularities, impaired fertility
Seizures have been reported rarely with the institution of levothyroxine therapy.
Adverse Reactions in Pediatric Patients
Pseudotumor cerebri and slipped capital femoral epiphysis have been reported in pediatric patients receiving levothyroxine therapy. Overtreatment may result in craniosynostosis in infants who have not undergone complete closure of the fontanelles, and in premature closure of the epiphyses in pediatric patients still experiencing growth with resultant compromised adult height.
Hypersensitivity Reactions
Hypersensitivity reactions to inactive ingredients have occurred in patients treated with thyroid hormone products. These include urticaria, pruritus, skin rash, flushing, angioedema, various gastrointestinal symptoms (abdominal pain, nausea, vomiting and diarrhea), fever, arthralgia, serum sickness, and wheezing. Hypersensitivity to levothyroxine itself is not known to occur.
7.1 Drugs Known To Affect Thyroid Hormone Pharmacokinetics
Many drugs can exert effects on thyroid hormone pharmacokinetics (e.g., absorption, synthesis, secretion, metabolism, protein binding, and target tissue response) and may alter the therapeutic response to ERMEZA (Tables 5 to 8).
Potential impact: Concurrent use may reduce the efficacy of ERMEZA by binding and delaying or preventing absorption, potentially resulting in hypothyroidism. | |
Drug or Drug Class | Effect |
Phosphate Binders (e.g., calcium carbonate, ferrous sulfate, sevelamer, lanthanum) | Phosphate binders may bind to levothyroxine. Administer ERMEZA at least 4 hours apart from these agents. |
Orlistat | Monitor patients treated concomitantly with orlistat and ERMEZA for changes in thyroid function. |
Bile Acid Sequestrants -Colesevelam -Cholestyramine -Colestipol Ion Exchange Resins -Kayexalate | Bile acid sequestrants and ion exchange resins are known to decrease levothyroxine absorption. Administer ERMEZA at least 4 hours prior to these drugs or monitor TSH levels. |
Other drugs: Proton Pump Inhibitors Sucralfate Antacids - Aluminum & Magnesium Hydroxides - Simethicone | Gastric acidity is an essential requirement for adequate absorption of levothyroxine. Sucralfate, antacids and proton pump inhibitors may cause hypochlorhydria, affect intragastric pH, and reduce levothyroxine absorption. Monitor patients appropriately. |
Drug or Drug Class | Effect |
Clofibrate Estrogen-containing oral contraceptives Estrogens (oral) Heroin / Methadone 5-Fluorouracil Mitotane Tamoxifen | These drugs may increase serum thyroxine-binding globulin (TBG) concentration. |
Androgens / Anabolic Steroids Asparaginase Glucocorticoids Slow-Release Nicotinic Acid | These drugs may decrease serum TBG concentration. |
Potential impact (below): Administration of these agents with ERMEZA results in an initial transient increase in FT4. Continued administration results in a decrease in serum T4 and normal FT4 and TSH concentrations. | |
Salicylates (> 2 g/day) | Salicylates inhibit binding of T4 and T3 to TBG and transthyretin. An initial increase in serum FT4 is followed by return of FT4 to normal levels with sustained therapeutic serum salicylate concentrations, although total T4 levels may decrease by as much as 30%. |
Other drugs: Carbamazepine Furosemide (> 80 mg IV) Heparin Hydantoins Non-Steroidal Anti-inflammatory Drugs -Fenamates | These drugs may cause protein-binding site displacement. Furosemide has been shown to inhibit the protein binding of T4 to TBG and albumin, causing an increase free T4 fraction in serum. Furosemide competes for T4-binding sites on TBG, prealbumin, and albumin, so that a single high dose can acutely lower the total T4 level. Phenytoin and carbamazepine reduce serum protein binding of levothyroxine, and total and free T4 may be reduced by 20% to 40%, but most patients have normal serum TSH levels and are clinically euthyroid. Closely monitor thyroid hormone parameters. |
Potential impact: Stimulation of hepatic microsomal drug-metabolizing enzyme activity may cause increased hepatic degradation of levothyroxine, resulting in increased ERMEZA requirements. | |
Drug or Drug Class | Effect |
Phenobarbital Rifampin | Phenobarbital has been shown to reduce the response to thyroxine. Phenobarbital increases L-thyroxine metabolism by inducing uridine 5’-diphospho-glucuronosyltransferase (UGT) and leads to a lower T4 serum levels. Changes in thyroid status may occur if barbiturates are added or withdrawn from patients being treated for hypothyroidism. Rifampin has been shown to accelerate the metabolism of levothyroxine. |
Potential impact: Administration of these enzyme inhibitors decreases the peripheral conversion of T4 to T3, leading to decreased T3 levels. However, serum T4 levels are usually normal but may occasionally be slightly increased. | |
Drug or Drug Class | Effect |
Beta-adrenergic antagonists (e.g., Propranolol > 160 mg/day) | In patients treated with large doses of propranolol (> 160 mg/day), T3 and T4 levels change, TSH levels remain normal, and patients are clinically euthyroid. Actions of particular beta-adrenergic antagonists may be impaired when the hypothyroid patient is converted to the euthyroid state. |
Glucocorticoids (e.g., Dexamethasone ≥ 4 mg/day) | Short-term administration of large doses of glucocorticoids may decrease serum T3 concentrations by 30% with minimal change in serum T4 levels. However, long-term glucocorticoid therapy may result in slightly decreased T3 and T4 levels due to decreased TBG production (See above). |
Other drugs: Amiodarone | Amiodarone inhibits peripheral conversion of levothyroxine (T4) to triiodothyronine (T3) and may cause isolated biochemical changes (increase in serum free-T4, and decrease or normal free-T3) in clinically euthyroid patients. |
7.2 Antidiabetic Therapy
Addition of ERMEZA therapy in patients with diabetes mellitus may worsen glycemic control and result in increased antidiabetic agent or insulin requirements. Carefully monitor glycemic control, especially when thyroid therapy is started, changed, or discontinued [see Warnings and Precautions (5.5)].
7.3 Oral Anticoagulants
ERMEZA increases the response to oral anticoagulant therapy. Therefore, a decrease in the dose of anticoagulant may be warranted with correction of the hypothyroid state or when the ERMEZA dose is increased. Closely monitor coagulation tests to permit appropriate and timely dosage adjustments.
7.4 Digitalis Glycosides
ERMEZA may reduce the therapeutic effects of digitalis glycosides. Serum digitalis glycoside levels may decrease when a hypothyroid patient becomes euthyroid, necessitating an increase in the dose of digitalis glycosides.
7.5 Antidepressant Therapy
Concurrent use of tricyclic (e.g., amitriptyline) or tetracyclic (e.g., maprotiline) antidepressants and ERMEZA may increase the therapeutic and toxic effects of both drugs, possibly due to increased receptor sensitivity to catecholamines. Toxic effects may include increased risk of cardiac arrhythmias and central nervous system stimulation. ERMEZA may accelerate the onset of action of tricyclics. Administration of sertraline in patients stabilized on ERMEZA may result in increased ERMEZA requirements.
7.6 Ketamine
Concurrent use of ketamine and ERMEZA may produce marked hypertension and tachycardia. Closely monitor blood pressure and heart rate in these patients.
7.7 Sympathomimetics
Concurrent use of sympathomimetics and ERMEZA may increase the effects of sympathomimetics or thyroid hormone. Thyroid hormones may increase the risk of coronary insufficiency when sympathomimetic agents are administered to patients with coronary artery disease.
7.8 Tyrosine-Kinase Inhibitors
Concurrent use of tyrosine-kinase inhibitors such as imatinib may cause hypothyroidism. Closely monitor TSH levels in such patients.
7.9 Drug-Food Interactions
Consumption of certain foods may affect ERMEZA absorption thereby necessitating adjustments in dosing [see Dosage and Administration (2.1)]. Soybean products, such as infant formula and soybean flour, cottonseed meal, walnuts, and dietary fiber may bind and decrease the absorption of ERMEZA from the gastrointestinal tract. Grapefruit juice may delay the absorption of levothyroxine and reduce its bioavailability.
7.10 Drug-Laboratory Test Interactions
Consider changes in TBG concentration when interpreting T4 and T3 values. Measure and evaluate unbound (free) hormone and/or determine the free-T4 index (FT4I) in this circumstance. Pregnancy, infectious hepatitis, estrogens, estrogen-containing oral contraceptives, and acute intermittent porphyria increase TBG concentration. Nephrosis, severe hypoproteinemia, severe liver disease, acromegaly, androgens, and corticosteroids decrease TBG concentration. Familial hyper- or hypo-thyroxine binding globulinemias have been described, with the incidence of TBG deficiency approximating 1 in 9000.
Risk Summary
The clinical experience, including data from post-marketing studies in pregnant women treated with oral levothyroxine, to maintain a euthyroid state have not reported increased rates of major birth defects, miscarriages, or other adverse maternal or fetal outcomes. There are risks to the mother and fetus associated with hypothyroidism in pregnancy. Since TSH levels may increase during pregnancy, TSH should be monitored, and ERMEZA dosage adjusted during pregnancy (see Clinical Considerations). Animal reproduction studies have not been conducted with levothyroxine sodium. ERMEZA should not be discontinued during pregnancy and hypothyroidism diagnosed during pregnancy should be promptly treated.
The estimated background risk of major birth defects and miscarriage for the indicated population is unknown. All pregnancies have a background risk of birth defect, loss or other adverse outcomes. In the U.S. general population, the estimated background risk of major birth defects and miscarriage in clinically recognized pregnancies is 2% to 4% and 15% to 20%, respectively.
Published studies report that levothyroxine is present in human milk following the administration of oral levothyroxine sodium. No adverse effects on the breastfed infant have been reported and there is no information on the effects of levothyroxine on milk production. Adequate levothyroxine treatment during lactation may normalize milk production in hypothyroid lactating mothers with low milk supply. The developmental and health benefits of breastfeeding should be considered along with the mother’s clinical need for ERMEZA and any potential adverse effects on the breastfed infant from ERMEZA or from the underlying maternal condition.
Disease-Associated Maternal And/Or Embryo/Fetal Risk
Maternal hypothyroidism during pregnancy is associated with a higher rate of complications, including spontaneous abortion, gestational hypertension, pre-eclampsia, stillbirth, and premature delivery. Untreated maternal hypothyroidism may have an adverse effect on fetal neurocognitive development.
Dose Adjustments During Pregnancy And The Postpartum Period
Pregnancy may increase ERMEZA requirements. Serum TSH levels should be monitored, and the ERMEZA dosage adjusted during pregnancy. Since postpartum TSH levels are similar to preconception values, the ERMEZA dosage should return to the pre-pregnancy dose immediately after delivery [see Dosage and Administration (2.3)].
8.4 Pediatric Use
ERMEZA is indicated in patients from birth to less than 17 years of age:
• As a replacement therapy in primary (thyroidal), secondary (pituitary), and tertiary (hypothalamic) congenital or acquired hypothyroidism.• As an adjunct to surgery and radioiodine therapy in the management of thyrotropin-dependent well-differentiated thyroid cancer.
Glycerin has the potential to cause gastrointestinal irritation resulting in vomiting and/or osmotic diarrhea. Patients in the first 3 months of life may be particularly susceptible to serious fluid and electrolyte complications from glycerin-induced gastrointestinal irritation. Closely monitor patients from birth to 3 months of age receiving ERMEZA for signs and symptoms of gastrointestinal irritation.
Rapid restoration of normal serum T4 concentrations is essential for preventing the adverse effects of congenital hypothyroidism on cognitive development as well as on overall physical growth and maturation. Therefore, initiate ERMEZA therapy immediately upon diagnosis. Levothyroxine is generally continued for life in these patients [see Warnings and Precautions (5.1)].
Closely monitor patients during the first 2 weeks of ERMEZA therapy for cardiac overload and arrhythmias.
8.5 Geriatric Use
Because of the increased prevalence of cardiovascular disease among the elderly, initiate ERMEZA at less than the full replacement dose [see Dosage and Administration (2.3) and Warnings and Precautions (5.2)]. Atrial arrhythmias can occur in elderly patients. Atrial fibrillation is the most common of the arrhythmias observed with levothyroxine overtreatment in the elderly.
10 Overdosage
The signs and symptoms of overdosage are those of hyperthyroidism [see Warnings and Precautions (5) and Adverse Reactions (6)]. In addition, confusion and disorientation may occur. Cerebral embolism, shock, coma, and death have been reported. Seizures occurred in a 3-year-old child ingesting 3.6 mg of levothyroxine. Symptoms may not necessarily be evident or may not appear until several days after ingestion of levothyroxine sodium.
Reduce the ERMEZA dosage or discontinue temporarily if signs or symptoms of overdosage occur. Initiate appropriate supportive treatment as dictated by the patient’s medical status. For current information on the management of poisoning or overdosage, contact the National Poison Control Center at 1-800-222-1222 or www.poison.org.
11 Description
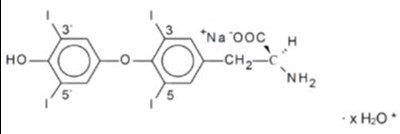
ERMEZA (levothyroxine sodium) oral solution contains synthetic L-3,3', 5,5'-tetraiodothyronine sodium salt [levothyroxine (T4) sodium]. Synthetic T4 is chemically identical to that produced in the human thyroid gland, and is very slightly soluble in water. Levothyroxine (T4) sodium hydrate has an empirical formula of C15H10I4NNaO4 with x ≈ 5*, molecular weight of 798.86 (anhydrous), and structural formula as shown:
ERMEZA oral solution is supplied in the following strength: 150 mcg/5 mL (30 mcg/mL). ERMEZA oral solution contains the following inactive ingredients: edetate disodium, glycerin, and purified water.
12.1 Mechanism Of Action
Thyroid hormones exert their physiologic actions through control of DNA transcription and protein synthesis. Triiodothyronine (T3) and L-thyroxine (T4) diffuse into the cell nucleus and bind to thyroid receptor proteins attached to DNA. This hormone nuclear receptor complex activates gene transcription and synthesis of messenger RNA and cytoplasmic proteins.
The physiological actions of thyroid hormones are produced predominantly by T3, the majority of which (approximately 80%) is derived from T4 by deiodination in peripheral tissues.
12.2 Pharmacodynamics
Oral levothyroxine sodium is a synthetic T4 hormone that exerts the same physiologic effect as endogenous T4, thereby maintaining normal T4 levels when a deficiency is present.
Absorption
Absorption of orally administered T4 from the gastrointestinal tract ranges from 40% to 80%. The majority of the ERMEZA dose is absorbed from the jejunum and upper ileum. T4 absorption is increased by fasting, and decreased in malabsorption syndromes and by certain foods such as soybeans. Dietary fiber decreases bioavailability of T4. Absorption may also decrease with age. In addition, many drugs and foods affect T4 absorption [see Drug Interactions (7)].
Distribution
Circulating thyroid hormones are greater than 99% bound to plasma proteins, including thyroxine-binding globulin (TBG), thyroxine-binding prealbumin (TBPA), and thyroxine-binding albumin (TBA), whose capacities and affinities vary for each hormone. The higher affinity of both TBG and TBPA for T4 partially explains the higher serum levels, slower metabolic clearance, and longer half-life of T4 compared to T3. Protein-bound thyroid hormones exist in reverse equilibrium with small amounts of free hormone. Only unbound hormone is metabolically active. Many drugs and physiologic conditions affect the binding of thyroid hormones to serum proteins [see Drug Interactions (7)]. Thyroid hormones do not readily cross the placental barrier [see Use in Specific Populations (8.1)].
Metabolism
T4 is slowly eliminated (see Table 9). The major pathway of thyroid hormone metabolism is through sequential deiodination. Approximately 80% of circulating T3 is derived from peripheral T4 by monodeiodination. The liver is the major site of degradation for both T4 and T3, with T4 deiodination also occurring at a number of additional sites, including the kidney and other tissues. Approximately 80% of the daily dose of T4 is deiodinated to yield equal amounts of T3 and reverse T3 (rT3). T3 and rT3 are further deiodinated to diiodothyronine. Thyroid hormones are also metabolized via conjugation with glucuronides and sulfates and excreted directly into the bile and gut where they undergo enterohepatic recirculation.
Excretion
Thyroid hormones are primarily eliminated by the kidneys. A portion of the conjugated hormone reaches the colon unchanged and is eliminated in the feces. Approximately 20% of T4 is eliminated in the stool. Urinary excretion of T4 decreases with age.
Hormone | Ratio in Thyroglobulin | Biologic Potency | Half-Life (days) | Protein Binding (%) Includes TBG, TBPA, and TBA |
Levothyroxine (T4) | 10 -20 | 1 | 6-7 3 to 4 days in hyperthyroidism, 9 to 10 days in hypothyroidism | 99.96 |
Liothyronine (T3) | 1 | 4 | ≤ 2 | 99.5 |
13.1 Carcinogenesis, Mutagenesis, Impairment Of Fertility
Long-term carcinogenicity studies in animals to evaluate the carcinogenic potential of levothyroxine have not been performed. Studies to evaluate mutagenic potential and animal fertility have not been performed.
16 How Supplied/Storage And Handling
How Supplied
ERMEZA (levothyroxine sodium) Oral Solution, 150 mcg/ 5 mL (30 mcg/ mL) is a clear, colorless solution supplied in a 90 mL or 180 mL amber glass bottle with a child-resistant closure. A 5 mL with 0.1 mL graduation and a 10 mL with 0.2 mL graduation oral syringe are provided within the carton to accurately measure the prescribed dose. It is available as follows:
NDC 49502-378-75: 75 mL of oral solution filled in 90 mL size amber glass bottles.
NDC 49502-378-15: 150 mL of oral solution filled in 180 mL size amber glass bottles.
Storage and Handling
Store ERMEZA at 20°C to 25°C (68°F to 77°F), excursions permitted between 15°C to 30°C (59°F to 86°F) (see USP Controlled Room Temperature).
ERMEZA oral solution should be protected from light.
Store and dispense in original bottle. Use within 90 days of opening the bottle.
17 Patient Counseling Information
Inform the patient of the following information to aid in the safe and effective use of ERMEZA:
Dosing and Administration
• Instruct patients to take ERMEZA only as directed by their healthcare provider.• Instruct patients to take ERMEZA once daily, preferably on an empty stomach, one-half to one hour before breakfast.• Instruct patients to always use the 5 mL or 10 mL oral syringe provided in the original carton when administering ERMEZA to ensure that the dose is measured and administered accurately. Instruct patients to read the “Instructions for Use” carefully for complete directions on how to properly dose and administer ERMEZA.• Inform patients that agents such as iron and calcium supplements and antacids can decrease the absorption of levothyroxine. Instruct patients not to take ERMEZA within 4 hours of these agents.• Instruct patients to notify their healthcare provider if they are pregnant or breastfeeding or are thinking of becoming pregnant while taking ERMEZA.• Inform patients that it may take several weeks before they notice an improvement in symptoms.• Inform patients that the levothyroxine in ERMEZA is intended to replace a hormone that is normally produced by the thyroid gland. Generally, replacement therapy is to be taken for life.• Inform patients that ERMEZA should not be used as a primary or adjunctive therapy in a weight control program.• Instruct patients to notify their healthcare provider if they are taking any other medications, including prescription and over-the-counter preparations.• Instruct patients to notify their physician of any other medical conditions they may have, particularly heart disease, diabetes, clotting disorders, and adrenal or pituitary gland problems, as the dose of medications used to control these other conditions may need to be adjusted while they are taking ERMEZA. If they have diabetes, instruct patients to monitor their blood and/or urinary glucose levels as directed by their physician and immediately report any changes to their physician. If patients are taking anticoagulants, their clotting status should be checked frequently.• Instruct patients to notify their physician or dentist that they are taking ERMEZA prior to any surgery.• Instruct patients to notify their healthcare provider if they experience any of the following symptoms: rapid or irregular heartbeat, chest pain, shortness of breath, leg cramps, headache, nervousness, irritability, sleeplessness, tremors, change in appetite, weight gain or loss, vomiting, diarrhea, excessive sweating, heat intolerance, fever, changes in menstrual periods, hives or skin rash, or any other unusual medical event.• Inform patients that partial hair loss may occur rarely during the first few months of ERMEZA therapy, but this is usually temporary.
Important Information
Adverse Reactions
Manufactured for:
Mylan Specialty L.P.
Morgantown, WV 26505 U.S.A.
Manufactured by:
DPT Laboratories, Ltd.
San Antonio, TX 78215 U.S.A.
LEVOOSN:R1
Patient Information
ERMEZA™ [er-meh-zah] | ||
What is the most important information I should know about ERMEZA? Do not use ERMEZA to treat weight problems or weight loss. | ||
What is ERMEZA? ERMEZA is a prescription medicine that contains a hormone called levothyroxine which is normally produced by the thyroid gland. ERMEZA is used in adults and children, including newborns:
ERMEZA should not be used to treat people who are recovering from swelling of the thyroid gland (thyroiditis) and whose bodies do not produce enough levothyroxine for a short time. | ||
Do not take ERMEZA:
| ||
Before you take ERMEZA, tell your doctor about all of your medical conditions, including if you:
Talk to your doctor about the best way to feed your baby if you take ERMEZA. Tell your doctor about all the medicines you are taking including prescription and over-the-counter medicines, vitamins and herbal supplements. ERMEZA may affect the way other medicines work, and other medicines may affect how ERMEZA works so your doctor may have to adjust the amount of medicines you take. You can ask your doctor or pharmacist for a list of medicines that interact with ERMEZA. | ||
How should I take ERMEZA?
It may take weeks before you notice your symptoms getting better. Keep using this medicine even if you feel well. In case of overdose, get medical help or contact a live Poison Control expert at 1-800-222-1222. Advice is also available online at www.poison.org. | ||
What are the possible side effects of ERMEZA? ERMEZA may cause serious side effects, including:
The most common side effects of ERMEZA include: | ||
|
|
|
Other side effects may include partial hair loss during the first months of treatment with ERMEZA. This usually lasts a short period of time (temporary).
These are not all the possible side effects of ERMEZA. Call your doctor for medical advice about side effects. You may report side effects to FDA at 1-800-FDA-1088. | ||
How should I store ERMEZA?
Keep ERMEZA and all medicines out of the reach of children. | ||
General information about the safe and effective use of ERMEZA Medicines are sometimes prescribed for purposes other than those listed in a Patient Information leaflet. Do not use ERMEZA for a condition for which it was not prescribed. Do not give ERMEZA to other people, even if they have the same symptoms as you. It may harm them. You can ask your pharmacist or doctor for information about ERMEZA that is written for health professionals. | ||
What are the ingredients in ERMEZA oral solution? Active ingredient: levothyroxine sodium Inactive ingredients: edetate disodium, glycerin, and purified water
Manufactured for: Mylan Specialty L.P., Morgantown, WV 26505 U.S.A.
For more information, call Mylan at 1-877-446-3679 (1-877-4-INFO-RX). © 2022 Viatris Inc.
ERMEZA is a trademark of Mylan Pharmaceuticals Inc., a Viatris Company. | ||
This Patient Information has been approved by the U.S. Food and Drug Administration.
Issued: 4/2022
PL:LEVOOSN:R1
Instructions For Use
ERMEZA™ [er-meh-zah]
(levothyroxine sodium oral solution)
Read this Instructions for Use before you start taking ERMEZA and each time you get a refill. There may be new information. This information does not take the place of talking to your healthcare provider about your medical condition or your treatment.
Important Information You Need to Know Before Taking ERMEZA.
For oral use only (take by mouth).
Two ERMEZA syringes are provided in the carton (see Figure A): | |
Do not wash the syringes in a dishwasher, use warm water only. | |
Step 1: Preparing the Dose
| |
Step 2: Taking ERMEZA
| |
Step 3: Cleaning and Storage
For more information, call Mylan at 1-877-446-3679 (1-877-4-INFO-RX). | |
© 2022 Viatris Inc.
ERMEZA is a trademark of Mylan Pharmaceuticals Inc., a Viatris Company.
Manufactured for:
Mylan Specialty L.P.
Morgantown, WV 26505 U.S.A.
Manufactured by:
DPT Laboratories, Ltd.
San Antonio, TX 78215 U.S.A.
This Instructions for Use has been approved by the U.S. Food and Drug Administration. Issued: 4/2022
141152-0422
IFU:LEVOOSN:R1
Principal Display Panel – 150 Mcg/5 Ml
NDC 49502-378-75 Rx only
Ermeza™
(levothyroxine sodium)
Oral Solution
150 mcg/5 mL
(30 mcg/mL)
For Oral Administration Only
Please read the
Instructions for Use before
administering Ermeza.
One 5 mL oral syringe and one
10 mL oral syringe provided.
Store and dispense
in original bottle.
75 mL
Each 5 mL contains:
Levothyroxine sodium, USP
150 mcg
Usual Dosage: See
accompanying prescribing
information.
Keep this and all
medication out of the
reach of children.
Store at 20°C to 25°C (68°F to 77°F), excursions permitted between 15°C to 30°C (59°F to 86°F). [See USP Controlled Room Temperature.]
Protect from light.
Use within 90 days of
opening the bottle.
Manufactured for:
Mylan Specialty L.P.
Morgantown, WV 26505 U.S.A.
Manufactured by:
DPT Laboratories, Ltd.
San Antonio, TX 78215 U.S.A.
Mylan.com
ERMEZA is a trademark of
Mylan Pharmaceuticals Inc.,
a Viatris Company.
© 2022 Viatris Inc.
DPT:37875:1C:R2
117605-0522
* Please review the disclaimer below.




