Product Images P-care K80mx

View Photos of Packaging, Labels & Appearance

Product Label Images

The following 8 images provide visual information about the product associated with P-care K80mx NDC 49836-007 by Rx Pharma-pack, Inc., such as packaging, labeling, and the appearance of the drug itself. This resource could be helpful for medical professionals, pharmacists, and patients seeking to verify medication information and ensure they have the correct product.

Kenalog-40 Structural Formula - p care k80mx 1

Kenalog-40 Structural Formula - p care k80mx 1

Fresenius Kabi Logo - p care k80mx 2

Fresenius Kabi Logo - p care k80mx 2

This appears to be a postal code for Lake Zurich, a village in the northern suburbs of Chicago, Illinois, United States.*

Xylocaine MPF Structural Formula - p care k80mx 3

Xylocaine MPF Structural Formula - p care k80mx 3

Epinephrine Structural Formula - p care k80mx 4

Epinephrine Structural Formula - p care k80mx 4

Fresenius Kabi Logo - p care k80mx 5

Fresenius Kabi Logo - p care k80mx 5

This text is not available as it does not provide sufficient information to generate a description. It appears to be an incomplete address without any other relevant details.*

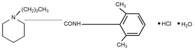
Marcaine Structural Formula - p care k80mx 6

Marcaine Structural Formula - p care k80mx 6

Epinephrine Structural Formula - p care k80mx 7

Epinephrine Structural Formula - p care k80mx 7

P-Care K80MX Kit - p care k80mx 8

P-Care K80MX Kit - p care k80mx 8

The text appears to be a list of contents found in a medication kit named "P-Care K80MX". The kit includes various medications such as Kenalog 40, Xylocaine, and Sodium Chordenjcton, as well as sterile pads, bandages, gauzes, and syringes. It also contains a sterile fenestrated towel drape and hopropy| Aconal 0% rs P, among other items. The NDC code for this kit is 4983600721 and it is designated for RX-only use.*

* The product label images have been analyzed using a combination of traditional computing and machine learning techniques. It should be noted that the descriptions provided may not be entirely accurate as they are experimental in nature. Use the information in this page at your own discretion and risk.