FDA Label for Olmesartan Medoxomil / Amlodipine Besylate / Hydrochlorothiazide
View Indications, Usage & Precautions
- BOXED WARNING
- RECENT MAJOR CHANGES
- 1 INDICATIONS AND USAGE
- 2 DOSAGE AND ADMINISTRATION
- 3 DOSAGE FORMS AND STRENGTHS
- 4 CONTRAINDICATIONS
- 5.1 FETAL TOXICITY PREGNANCY
- 5.2 HYPOTENSION IN VOLUME- OR SALT-DEPLETED PATIENTS
- 5.3 INCREASED ANGINA AND/OR MYOCARDIAL INFARCTION
- 5.4 IMPAIRED RENAL FUNCTION
- 5.5 HEPATIC IMPAIRMENT
- 5.6 ELECTROLYTE AND METABOLIC IMBALANCES
- 5.7 HYPERSENSITIVITY REACTION
- 5.8 SYSTEMIC LUPUS ERYTHEMATOSUS
- 5.9 ACUTE MYOPIA AND SECONDARY ANGLE-CLOSURE GLAUCOMA
- 5.10 SPRUE-LIKE ENTEROPATHY
- 5.11 VASODILATION
- 5.12 HEART FAILURE
- 5.13 LABORATORY TESTS
- 6.1 CLINICAL TRIALS EXPERIENCE
- 6.2 POST-MARKETING EXPERIENCE
- 7.1 DRUG INTERACTIONS WITH OLMESARTAN MEDOXOMIL, AMLODIPINE AND HYDROCHLOROTHIAZIDE
- 7.2 DRUG INTERACTIONS WITH OLMESARTAN MEDOXOMIL
- 7.3 DRUG INTERACTIONS WITH AMLODIPINE
- 7.4 DRUG INTERACTIONS WITH HYDROCHLOROTHIAZIDE
- 8.1 PREGNANCY
- 8.3 NURSING MOTHERS
- 8.4 PEDIATRIC USE
- 8.5 GERIATRIC USE
- 8.6 HEPATIC IMPAIRMENT
- 8.7 RENAL IMPAIRMENT
- 8.8 BLACK PATIENTS
- 10 OVERDOSAGE
- 11 DESCRIPTION
- 12.1 MECHANISM OF ACTION
- 12.2 PHARMACODYNAMICS
- 12.3 PHARMACOKINETICS
- 13 NONCLINICAL TOXICOLOGY
- 13.1 CARCINOGENESIS AND MUTAGENESIS AND IMPAIRMENT OF FERTILITY
- 13.3 DEVELOPMENTAL TOXICITY
- 14.1 OLMESARTAN MEDOXOMIL, AMLODIPINE AND HYDROCHLOROTHIAZIDE TABLETS
- 16 HOW SUPPLIED/STORAGE AND HANDLING
- 17 PATIENT COUNSELING INFORMATION
- PATIENT INFORMATION
- PRINCIPAL DISPLAY PANEL - 40 MG, 5 MG AND 12.5 MG - 30S
- PRINCIPAL DISPLAY PANEL - 40 MG, 5 MG AND 25 MG - 30S
- PRINCIPAL DISPLAY PANEL - 40 MG, 10 MG AND 12.5 MG - 30S
- PRINCIPAL DISPLAY PANEL - 40 MG, 10 MG AND 25 MG - 30S
Olmesartan Medoxomil / Amlodipine Besylate / Hydrochlorothiazide Product Label
The following document was submitted to the FDA by the labeler of this product Endo Usa, Inc.. The document includes published materials associated whith this product with the essential scientific information about this product as well as other prescribing information. Product labels may durg indications and usage, generic names, contraindications, active ingredients, strength dosage, routes of administration, appearance, warnings, inactive ingredients, etc.
Boxed Warning
WARNING: FETAL TOXICITY
- When pregnancy is detected, discontinue olmesartan medoxomil, amlodipine and hydrochlorothiazide tablets as soon as possible. (5.1)
- Drugs that act directly on the renin-angiotensin system can cause injury and death to the developing fetus. (5.1)
Recent Major Changes
Warnings and Precautions (5.6) 12/2016
1 Indications And Usage
Olmesartan medoxomil, amlodipine and hydrochlorothiazide tablets is indicated for the treatment of hypertension, to lower blood pressure. Lowering blood pressure reduces the risk of fatal and nonfatal cardiovascular events, primarily strokes and myocardial infarctions. These benefits have been seen in controlled trials of antihypertensive drugs from a wide variety of pharmacologic classes including the class to which this drug principally belongs. There are no controlled trials demonstrating risk reduction with olmesartan medoxomil, amlodipine and hydrochlorothiazide tablets.
Control of high blood pressure should be part of comprehensive cardiovascular risk management, including, as appropriate, lipid control, diabetes management, antithrombotic therapy, smoking cessation, exercise, and limited sodium intake. Many patients will require more than one drug to achieve blood pressure goals. For specific advice on goals and management, see published guidelines, such as those of the National High Blood Pressure Education Program’s Joint National Committee on Prevention, Detection, Evaluation, and Treatment of High Blood Pressure (JNC).
Numerous antihypertensive drugs, from a variety of pharmacologic classes and with different mechanisms of action, have been shown in randomized controlled trials to reduce cardiovascular morbidity and mortality, and it can be concluded that it is blood pressure reduction, and not some other pharmacologic property of the drugs, that is largely responsible for those benefits. The largest and most consistent cardiovascular outcome benefit has been a reduction in the risk of stroke, but reductions in myocardial infarction and cardiovascular mortality also have been seen regularly.
Elevated systolic or diastolic pressure causes increased cardiovascular risk, and the absolute risk increase per mmHg is greater at higher blood pressures, so that even modest reductions of severe hypertension can provide substantial benefit. Relative risk reduction from blood pressure reduction is similar across populations with varying absolute risk, so the absolute benefit is greater in patients who are at higher risk independent of their hypertension (for example, patients with diabetes or hyperlipidemia), and such patients would be expected to benefit from more aggressive treatment to a lower blood pressure goal.
Some antihypertensive drugs have smaller blood pressure effects (as monotherapy) in black patients, and many antihypertensive drugs have additional approved indications and effects (e.g., on angina, heart failure, or diabetic kidney disease). These considerations may guide selection of therapy.
This fixed combination drug is not indicated for the initial therapy of hypertension [see Dosage and Administration (2)].
2 Dosage And Administration
General Considerations
Dose once daily.
Dosage may be increased after 2 weeks. The full blood pressure lowering effects are attained within 2 weeks after a change in dose. The maximum recommended dose of olmesartan medoxomil, amlodipine and hydrochlorothiazide tablets is 40/10/25 mg.
Olmesartan medoxomil, amlodipine and hydrochlorothiazide tablets may be taken with or without food.
Olmesartan medoxomil, amlodipine and hydrochlorothiazide tablets may be administered with other antihypertensive agents.
Renal Impairment
The usual regimens of therapy with olmesartan medoxomil, amlodipine and hydrochlorothiazide tablets may be followed if the patient’s creatinine clearance is >30 mL/min. In patients with more severe renal impairment, loop diuretics are preferred to thiazides, so avoid use of olmesartan medoxomil, amlodipine and hydrochlorothiazide tablets [see Warnings and Precautions (5.4)].
Elderly
Patients ≥ 75 years of age should start amlodipine at 2.5 mg, which is not available with olmesartan medoxomil, amlodipine and hydrochlorothiazide tablets.
Hepatic Impairment
Patients with severe hepatic impairment should start amlodipine at 2.5 mg, which is not available with olmesartan medoxomil, amlodipine and hydrochlorothiazide tablets [see Warnings and Precautions (5.5)].
Replacement Therapy
Olmesartan medoxomil, amlodipine and hydrochlorothiazide tablets may be substituted for its individually titrated components.
Add-on/Switch Therapy
Olmesartan medoxomil, amlodipine and hydrochlorothiazide tablets may be used to provide additional blood pressure lowering for patients not adequately controlled on maximally tolerated, labeled, or usual doses of any two of the following antihypertensive classes: angiotensin receptor blockers (ARB), calcium channel blockers (CCB), and diuretics.
A patient who experiences dose-limiting adverse reactions to an individual component while on any dual combination of the components of olmesartan medoxomil, amlodipine and hydrochlorothiazide tablets may be switched to olmesartan medoxomil, amlodipine and hydrochlorothiazide tablets containing a lower dose of that component to achieve similar blood pressure reductions.
3 Dosage Forms And Strengths
Olmesartan medoxomil, amlodipine and hydrochlorothiazide tablets are formulated for oral administration in the following strength combinations: 20/5/12.5 mg, 40/5/12.5 mg, 40/5/25 mg, 40/10/12.5 mg and 40/10/25 mg.
4 Contraindications
Because of the hydrochlorothiazide component, olmesartan medoxomil, amlodipine and hydrochlorothiazide tablets is contraindicated in patients with anuria or hypersensitivity to other sulfonamide-derived drugs.
Do not coadminister aliskiren with olmesartan medoxomil, amlodipine and hydrochlorothiazide tablets in patients with diabetes [see Drug Interactions (7.2)].
5.1 Fetal Toxicity Pregnancy
Category D
Use of drugs that act on the renin-angiotensin system during the second and third trimesters of pregnancy reduces fetal renal function and increases fetal and neonatal morbidity and death. Resulting oligohydramnios can be associated with fetal lung hypoplasia and skeletal deformations. Potential neonatal adverse effects include skull hypoplasia, anuria, hypotension, renal failure, and death. When pregnancy is detected, discontinue olmesartan medoxomil, amlodipine and hydrochlorothiazide tablets as soon as possible [see Use in specific Populations (8.1].
5.2 Hypotension In Volume- Or Salt-Depleted Patients
Olmesartan medoxomil. Symptomatic hypotension may be anticipated after initiation of treatment with olmesartan medoxomil. Patients with an activated renin-angiotensin system, such as volume- and/or salt-depleted patients (e.g., those being treated with high doses of diuretics) may be particularly vulnerable. Initiate treatment with olmesartan medoxomil, amlodipine and hydrochlorothiazide tablets under close medical supervision. If hypotension does occur, place the patient in the supine position and, if necessary, give an intravenous infusion of normal saline. A transient hypotensive response is not a contraindication to further treatment, which usually can be continued without difficulty once the blood pressure has stabilized.
5.3 Increased Angina And/Or Myocardial Infarction
Amlodipine. Patients, particularly those with severe obstructive coronary artery disease, may develop increased frequency, duration, or severity of angina or acute myocardial infarction upon starting calcium channel blocker therapy or at the time of dosage increase. The mechanism of this effect has not been elucidated.
5.4 Impaired Renal Function
Olmesartan Medoxomil, Amlodipine and Hydrochlorothiazide. Olmesartan medoxomil, amlodipine and hydrochlorothiazide tablets has not been studied in patients with impaired renal function. Avoid use in patients with severe renal impairment (creatinine clearance ≤30 ml/min) [see Dosage and Administration (2)].
An adverse event of impaired renal function was reported in 2.1% of subjects receiving olmesartan medoxomil, amlodipine and hydrochlorothiazide tablets compared to 0.2% to 1.3% of subjects receiving dual combination therapy. If progressive renal impairment becomes evident consider withholding or discontinuing either diuretic or angiotensin receptor blocker therapies.
Olmesartan medoxomil. Changes in renal function occur in some individuals treated with olmesartan medoxomil as a consequence of inhibiting the renin-angiotensinaldosterone system. In patients whose renal function may depend upon the activity of the renin-angiotensin-aldosterone system (e.g., patients with severe congestive heart failure), treatment with ACE inhibitors and angiotensin receptor antagonists has been associated with oliguria or progressive azotemia and (rarely) with acute renal failure and/or death. Similar effects may occur in patients treated with olmesartan medoxomil, amlodipine, and hydrochlorothiazide tablets due to the olmesartan medoxomil component [see Drug Interactions (7.2) and Clinical Pharmacology (12.3)].
In studies of ACE inhibitors in patients with unilateral or bilateral renal artery stenosis, increases in serum creatinine or blood urea nitrogen (BUN) have been reported. There has been no long-term use of olmesartan medoxomil in patients with unilateral or bilateral renal artery stenosis, but similar effects would be expected with olmesartan medoxomil, amlodipine and hydrochlorothiazide tablets because of the olmesartan medoxomil component.
Hydrochlorothiazide. Thiazides may precipitate azotemia in patients with renal disease. Cumulative effects of the drug may develop in patients with impaired renal function.
5.5 Hepatic Impairment
Amlodipine. Amlodipine is extensively metabolized by the liver and the plasma elimination half-life (t 1/2 ) is 56 hours in patients with severely impaired hepatic function [see Dosage and Administration (2)].
Hydrochlorothiazide. Minor alterations of fluid and electrolyte balance may precipitate hepatic coma.
5.6 Electrolyte And Metabolic Imbalances
Hydrochlorothiazide. Perform periodic determinations of serum electrolytes to detect possible electrolyte imbalance. Observe patients receiving thiazide therapy for clinical signs of fluid or electrolyte imbalance: hyponatremia, hypochloremic alkalosis, and hypokalemia. Serum and urine electrolyte determinations are important when the patient is vomiting excessively or receiving parental fluids. Warning signs or symptoms of fluid and electrolyte imbalance, irrespective of cause, include dryness of mouth, thirst, weakness, lethargy, drowsiness, restlessness, confusion, seizures, muscle pains or cramps, muscular fatigue, hypotension, oliguria, tachycardia, and gastrointestinal disturbances such as nausea and vomiting.
Hypokalemia may develop, especially during brisk diuresis, when severe cirrhosis is present, or after prolonged therapy.
Interference with adequate oral electrolyte intake will also contribute to hypokalemia. Hypokalemia may cause cardiac arrhythmia and may also sensitize or exaggerate the response of the heart to the toxic effects of digitalis (e.g., increased ventricular irritability).
Olmesartan medoximil, amlodipine and hydrochlorothiazide tablets also contain olmesartan, a drug that inhibits the renin-angiotensin system (RAS). Drugs that inhibit the RAS can cause hyperkalemia. Monitor serum electrolytes periodically.
Metabolic acidosis may occur. Although a chloride deficit in a particular patient is generally mild and usually does not require specific treatment, except under extraordinary circumstances (as in liver disease or renal disease), chloride replacement may be required in the treatment of metabolic alkalosis.
Dilutional hyponatremia may occur in edematous patients in hot weather; appropriate therapy is water restriction, rather than administration of salt, except in rare instances when the hyponatremia is life-threatening. In actual salt depletion, appropriate replacement is the therapy of choice.
Hyperuricemia may occur or frank gout may be precipitated in certain patients receiving thiazide therapy.
In diabetic patients dosage adjustments of insulin or oral hypoglycemic agents may be required. Hyperglycemia may occur with thiazide diuretics. Thus, latent diabetes mellitus may become manifest during thiazide therapy.
The antihypertensive effects of the drug may be enhanced in the post-sympathectomy patient.
Thiazides have been shown to increase the urinary excretion of magnesium; this may result in hypomagnesemia.
Thiazides may decrease urinary calcium excretion. Thiazides may cause intermittent and slight elevation of serum calcium in the absence of known disorders of calcium metabolism. Marked hypercalcemia may be evidence of hyperparathyroidism. Olmesartan medoxomil, amlodipine and hydrochlorothiazide tablets should be discontinued before carrying out tests for parathyroid function.
5.7 Hypersensitivity Reaction
Hydrochlorothiazide. Hypersensitivity reactions to hydrochlorothiazide may occur in patients with or without a history of allergy or bronchial asthma, but are more likely in patients with such a history.
5.8 Systemic Lupus Erythematosus
Hydrochlorothiazide. Thiazide diuretics have been reported to cause exacerbation or activation of systemic lupus erythematosus.
5.9 Acute Myopia And Secondary Angle-Closure Glaucoma
Hydrochlorothiazide, a sulfonamide, can cause an idiosyncratic reaction, resulting in acute transient myopia and acute angle-closure glaucoma. Symptoms include acute onset of decreased visual acuity or ocular pain and typically occur within hours to weeks of drug initiation. Untreated acute angle-closure glaucoma can lead to permanent vision loss. The primary treatment is to discontinue hydrochlorothiazide as rapidly as possible. Prompt medical or surgical treatments may need to be considered if the intraocular pressure remains uncontrolled. Risk factors for developing acute angle-closure glaucoma may include a history of sulfonamide or penicillin allergy.
5.10 Sprue-Like Enteropathy
Severe, chronic diarrhea with substantial weight loss has been reported in patients taking olmesartan months to years after drug initiation. Intestinal biopsies of patients often demonstrated villous atrophy. If a patient develops these symptoms during treatment with olmesartan, exclude other etiologies. Consider discontinuation of olmesartan medoxomil, amlodipine and hydrochlorothiazide tablets in cases where no other etiology is identified.
5.11 Vasodilation
Amlodipine. Although vasodilation attributable to amlodipine is generally gradual in onset, acute hypotension has rarely been reported after oral administration. Patients with severe aortic stenosis may be at particular risk.
5.12 Heart Failure
Olmesartan Medoxomil, Amlodipine and Hydrochlorothiazide. Olmesartan medoxomil, amlodipine and hydrochlorothiazide tablets has not been studied in patients with heart failure.
Amlodipine. Amlodipine (5-10 mg per day) has been studied in a placebo-controlled trial of 1153 patients with New York Heart Association (NYHA) Class III or IV heart failure on stable doses of ACE inhibitor, digoxin, and diuretics. Follow-up was at least 6 months, with a mean of about 14 months. There was no overall adverse effect on survival or cardiac morbidity (as defined by life-threatening arrhythmia, acute myocardial infarction, or hospitalization for worsened heart failure). Amlodipine has been compared to placebo in four 8-12 week studies of patients with NYHA Class II/III heart failure, involving a total of 697 patients. In these studies, there was no evidence of worsening of heart failure based on measures of exercise tolerance, NYHA classification, symptoms, or left ventricular ejection fraction.
5.13 Laboratory Tests
Olmesartan medoxomil. In post-marketing experience, increased blood creatinine levels have been reported.
Amlodipine. In post-marketing experience, hepatic enzyme elevations have been reported [see Adverse Reactions (6.2)].
Hydrochlorothiazide. Increases in cholesterol and triglyceride levels may be associated with thiazide diuretic therapy.
6.1 Clinical Trials Experience
Because clinical studies are conducted under widely varying conditions, adverse reaction rates observed in the clinical studies of a drug cannot be directly compared to rates in the clinical studies of another drug and may not reflect the rates observed in practice.
Olmesartan Medoxomil, Amlodipine and Hydrochlorothiazide
In the controlled trial of olmesartan medoxomil, amlodipine and hydrochlorothiazide tablets, patients were randomized to olmesartan medoxomil/amlodipine/hydrochlorothiazide tablets 40/10/25 mg, olmesartan medoxomil/amlodipine 40/10 mg, olmesartan medoxomil/hydrochlorothiazide 40/25 mg, or amlodipine/hydrochlorothiazide 10/25 mg. Subjects who received triple combination therapy were treated between two and four weeks with one of the three dual combination therapies. Safety data from this study were obtained in 574 patients with hypertension who received olmesartan medoxomil, amlodipine and hydrochlorothiazide for 8 weeks.
The frequency of adverse reactions was similar between men and women, patients <65 years of age and patients ≥65 years of age, patients with and without diabetes, and Black and non-Black patients. Discontinuations because of adverse events occurred in 4% of patients treated with olmesartan medoxomil, amlodipine and hydrochlorothiazide tablets 40/10/25 mg compared to 1% of patients treated with olmesartan medoxomil/amlodipine 40/10 mg, 2% of patients treated with olmesartan medoxomil/hydrochlorothiazide 40/25 mg, and 2% of patients treated with amlodipine/hydrochlorothiazide 10/25 mg. The most common reason for discontinuation with olmesartan medoxomil, amlodipine and hydrochlorothiazide tablets was dizziness (1%).
Dizziness was one of the most frequently reported adverse reactions with incidence of 1.4% to 3.6% in subjects continuing on dual combination therapy compared to 5.8% to 8.9% in subjects who switched to olmesartan medoxomil, amlodipine and hydrochlorothiazide tablets.
The other most frequent adverse reactions that occurred in at least 2% of subjects are presented in the table below:
Table 1 Adverse Reaction | OM40/ AML10/ HCTZ25 mg (N = 574) n (%) | OM40/ AML10 mg (N = 596) n (%) | OM40/ HCTZ25mg (N = 580) n (%) | AML10/ HCTZ25 mg (N = 552) n (%) |
Edema peripheral | 44 (7.7) | 42 (7.0) | 6 (1.0) | 46 (8.3) |
Headache | 37 (6.4) | 42 (7.0) | 38 (6.6) | 33 (6.0) |
Fatigue | 24 (4.2) | 34 (5.7) | 31 (5.3) | 36 (6.5) |
Nasopharyngitis | 20 (3.5) | 11 (1.8) | 20 (3.4) | 16 (2.9) |
Muscle spasms | 18 (3.1) | 12 (2.0) | 14 (2.4) | 13 (2.4) |
Nausea | 17 (3.0) | 12 (2.0) | 22 (3.8) | 12 (2.2) |
Upper respiratory tract infection | 16 (2.8) | 26 (4.4) | 18 (3.1) | 14 (2.5) |
Diarrhea | 15 (2.6) | 14 (2.3) | 12 (2.1) | 9 (1.6) |
Urinary tract infection | 14 (2.4) | 8 (1.3) | 6 (1.0) | 7 (1.3) |
Joint swelling | 12 (2.1) | 17 (2.9) | 2 (0.3) | 16 (2.9) |
Syncope was reported by 1% of olmesartan medoxomil, amlodipine and hydrochlorothiazide tablets subjects compared to 0.5% or less for the other treatment groups.
Olmesartan medoxomil
Olmesartan medoxomil has been evaluated for safety in more than 3825 patients/subjects, including more than 3275 patients treated for hypertension in controlled trials. This experience included about 900 patients treated for at least 6 months and more than 525 treated for at least 1 year. Treatment with olmesartan medoxomil was well tolerated, with an incidence of adverse reactions similar to that seen with placebo. Adverse reactions were generally mild, transient, and without relationship to the dose of olmesartan medoxomil.
Amlodipine
Amlodipine has been evaluated for safety in more than 11,000 patients in U.S. and foreign clinical trials.
The following adverse reactions occurred in <1% but >0.1% of patients in controlled clinical trials under conditions of open trials or marketing experience where a causal relationship is uncertain; they are listed to alert physicians to a possible relationship:
Cardiovascular: arrhythmia (including ventricular tachycardia and atrial fibrillation), bradycardia, chest pain, hypotension, peripheral ischemia, syncope, tachycardia, postural dizziness, postural hypotension, vasculitis
Central and Peripheral Nervous System: hypoesthesia, neuropathy peripheral, paresthesia, tremor, vertigo
Gastrointestinal: anorexia, constipation, dyspepsia*, dysphagia, diarrhea, flatulence, pancreatitis, vomiting, gingival hyperplasia
General: allergic reaction, asthenia*, back pain, hot flushes, malaise, pain, rigors, weight gain, weight decrease
Musculoskeletal System: arthralgia, arthrosis, muscle cramps*, myalgia Psychiatric: sexual dysfunction (male* and female), insomnia, nervousness, depression, abnormal dreams, anxiety, depersonalization
Respiratory: dyspnea*, epistaxis
Skin and Appendages: angioedema, erythema multiforme, pruritus*, rash*, rash erythematous, rash maculopapular
Special Senses: abnormal vision, conjunctivitis, diplopia, eye pain, tinnitus Urinary System: micturition frequency, micturition disorder, nocturia
Autonomic Nervous System: dry mouth, sweating increased
Metabolic and Nutritional: hyperglycemia, thirst
Hemopoietic: leukopenia, purpura, thrombocytopenia
* = events that occurred in less than 1% in placebo-controlled trials, but the incidence of these side effects was between 1% and 2% in all multiple dose studies.
The following adverse reactions occurred in <0.1% of patients: cardiac failure, pulse irregularity, extrasystoles, skin discoloration, urticaria, skin dryness, alopecia, dermatitis, muscle weakness, twitching, ataxia, hypertonia, migraine, cold and clammy skin, apathy, agitation, amnesia, gastritis, increased appetite, loose stools, coughing, rhinitis, dysuria, polyuria, parosmia, taste perversion, abnormal visual accommodation, and xerophthalmia.
Hydrochlorothiazide
Other adverse reactions that have been reported with hydrochlorothiazide, without regard to causality, are listed below:
Body as a Whole: weakness
Digestive: pancreatitis, jaundice (intrahepatic cholestatic jaundice), sialadenitis, cramping, gastric irritation
Hematologic: aplastic anemia, agranulocytosis, leukopenia, hemolytic anemia, thrombocytopenia
Hypersensitivity: purpura, photosensitivity, urticaria, necrotizing angiitis (vasculitis and cutaneous vasculitis), fever, respiratory distress including pneumonitis and pulmonary edema, anaphylactic reactions
Metabolic: hyperglycemia, glycosuria, hyperuricemia
Musculoskeletal: muscle spasm
Nervous System/Psychiatric: restlessness
Renal: renal failure, renal dysfunction, interstitial nephritis
Skin: erythema multiforme including Stevens-Johnson syndrome, exfoliative dermatitis including toxic epidermal necrolysis
Special Senses: transient blurred vision, xanthopsia
6.2 Post-Marketing Experience
The following adverse reactions have been identified during post-approval use of the individual components of olmesartan medoxomil, amlodipine and hydrochlorothiazide tablets. Because these reactions are reported voluntarily from a population of uncertain size, it is not always possible to reliably estimate their frequency or establish a causal relationship to drug exposure.
Olmesartan medoxomil. The following adverse reactions have been reported in post-marketing experience:
Body as a Whole: asthenia, angioedema, anaphylactic reactions, peripheral edema
Gastrointestinal: vomiting, diarrhea, spruce-like enteropathy [see Warnings and Precautions (5.10)]
Metabolic and Nutritional Disorders: hyperkalemia
Musculoskeletal: rhabdomyolysis Urogenital System: acute renal failure
Skin and Appendages: alopecia, pruritus, urticaria
Data from one controlled trial and an epidemiologic study have suggested that high-dose olmesartan may increase cardiovascular (CV) risk in diabetic patients, but the overall data are not conclusive. The randomized, placebo-controlled, double-blind ROADMAP trial (Randomized Olmesartan And Diabetes MicroAlbuminuria Prevention trial, n= 4447) examined the use of olmesartan, 40 mg daily, vs. placebo in patients with type 2 diabetes mellitus, normoalbuminuria, and at least one additional risk factor for CV disease. The trial met its primary endpoint, delayed onset of microalbuminuria, but olmesartan had no beneficial effect on decline in glomerular filtration rate (GFR). There was a finding of increased CV mortality (adjudicated sudden cardiac death, fatal myocardial infarction, fatal stroke, revascularization death) in the olmesartan group compared to the placebo group (15 olmesartan vs. 3 placebo, HR 4.9, 95% confidence interval [CI], 1.4, 17), but the risk of non-fatal myocardial infarction was lower with olmesartan (HR 0.64, 95% CI 0.35, 1.18).
The epidemiologic study included patients 65 years and older with overall exposure of >300,000 patient-years. In the sub-group of diabetic patients receiving high-dose olmesartan (40 mg/d) for > 6 months, there appeared to be an increased risk of death (HR 2.0, 95% CI 1.1, 3.8) compared to similar patients taking other angiotensin receptor blockers. In contrast, high-dose olmesartan use in non-diabetic patients appeared to be associated with a decreased risk of death (HR 0.46, 95% CI 0.24, 0.86) compared to similar patients taking other angiotensin receptor blockers. No differences were observed between the groups receiving lower doses of olmesartan compared to other angiotensin blockers or those receiving therapy for ˂6 months.
Overall, these data raise a concern of a possible increased CV risk associated with the use of high-dose olmesartan in diabetic patients. There are, however, concerns with the credibility of the finding of increased CV risk, notably the observation in the large epidemiologic study for a survival benefit in non-diabetics of a magnitude similar to the adverse finding in diabetics.
Amlodipine. The following post-marketing event has been reported infrequently where a causal relationship is uncertain: gynecomastia. In post-marketing experience, jaundice and hepatic enzyme elevations (mostly consistent with cholestasis or hepatitis), in some cases severe enough to require hospitalization, have been reported in association with use of amlodipine.
7.1 Drug Interactions With Olmesartan Medoxomil, Amlodipine And Hydrochlorothiazide
The pharmacokinetics of olmesartan medoxomil, amlodipine and hydrochlorothiazide are not altered when the drugs are coadministered.
No drug interaction studies have been conducted with other drugs and olmesartan medoxomil, amlodipine and hydrochlorothiazide tablets, although studies have been conducted with the olmesartan medoxomil, amlodipine, and hydrochlorothiazide tablets components of olmesartan medoxomil, amlodipine and hydrochlorothiazide tablets, as described below.
7.2 Drug Interactions With Olmesartan Medoxomil
No significant drug interactions were reported in studies in which olmesartan medoxomil was coadministered with digoxin or warfarin in healthy volunteers.
The bioavailability of olmesartan medoxomil was not significantly altered by the co-administration of antacids [Al(OH)3 /Mg(OH)2].
Olmesartan medoxomil is not metabolized by the cytochrome P450 system and has no effects on P450 enzymes; thus, interactions with drugs that inhibit, induce, or are metabolized by those enzymes are not expected.
Non-Steroidal Anti-Inflammatory Agents including Selective Cyclooxygenase-2 Inhibitors (COX-2 Inhibitors)
In patients who are elderly, volume-depleted (including those on diuretic therapy), or with compromised renal function, co-administration of NSAIDs, including selective COX-2 inhibitors, with angiotensin II receptor antagonists, including olmesartan medoxomil, may result in deterioration of renal function, including possible acute renal failure. These effects are usually reversible. Monitor renal function periodically in patients receiving olmesartan medoxomil and NSAID therapy.
The antihypertensive effect of angiotensin II receptor antagonists, including olmesartan medoxomil may be attenuated by NSAIDs including selective COX-2 inhibitors.
Dual Blockage of the Renin-Angiotensin System (RAS)
Dual blockage of the RAS with angiotensin receptor blockers, ACE inhibitors, or aliskiren is associated with increased risks of hypotension, hyperkalemia, and changes in renal function (including acute renal failure) compared to monotherapy. Most patients receiving the combination of two RAS inhibitors do not obtain any addition benefit compared to monotherapy. In general, avoid combined use of RAS inhibitors. Closely monitor blood pressure, renal function and electrolytes in patients on olmesartan medoxomil, amlodipine and hydrochlorothiazide tablets and other agents that affect the RAS.
Do not co-administer aliskiren with olmesartan medoxomil, amlodipine and hydrochlorothiazide tablets in patients with diabetes [see Contraindications (4)]. Avoid use of aliskiren with olmesartan medoxomil, amlodipine, and hydrochlorothiazide tablets in patients with renal impairment (GFR <60 ml/min).
Use with Colesevelam Hydrochloride
Concurrent administration of bile acid sequestering agent colesevelam hydrochloride reduces the systemic exposure and peak plasma concentration of olmesartan. Administration of olmesartan at least 4 hours prior to colesevelam hydrochloride decreased the drug interaction effect. Consider administering olmesartan at least 4 hours before the colesevelam hydrochloride dose [see Clinical Pharmacology (12.3)].
Lithium
Increases in serum lithium concentrations and lithium toxicity have been reported with concomitant use of olmesartan or thiazide diuretics. Monitor lithium levels in patients receiving olmesartan medoxomil, amlodipine, hydrochlorothiazide tablets and lithium.
7.3 Drug Interactions With Amlodipine
In vitro data indicate that amlodipine has no effect on the human plasma protein binding of digoxin, phenytoin, warfarin, and indomethacin.
Effect of Other Agents on Amlodipine
Cimetidine: Co-administration of amlodipine with cimetidine did not alter the pharmacokinetics of amlodipine.
Grapefruit juice: Co-administration of 240 mL of grapefruit juice with a single oral dose of amlodipine 10 mg in 20 healthy volunteers had no significant effect on the pharmacokinetics of amlodipine.
Maalox® (antacid): Co-administration of the antacid Maalox with a single dose of amlodipine had no significant effect on the pharmacokinetics of amlodipine.
Sildenafil: A single 100 mg dose of sildenafil in patients with essential hypertension had no effect on the pharmacokinetic parameters of amlodipine. When amlodipine and sildenafil were used in combination, each agent independently exerted its own blood pressure lowering effect.
Effect of Amlodipine on Other Agents
Atorvastatin: Co-administration of multiple 10 mg doses of amlodipine with 80 mg of atorvastatin resulted in no significant change in the steady state pharmacokinetic parameters of atorvastatin. Digoxin: Co-administration of amlodipine with digoxin did not change serum digoxin levels or digoxin renal clearance in normal volunteers. Ethanol (alcohol): Single and multiple 10 mg doses of amlodipine had no significant effect on the pharmacokinetics of ethanol. Warfarin: Co-administration of amlodipine with warfarin did not change the warfarin prothrombin response time. Simvastatin: Co-administration of multiple doses of 10 mg of amlodipine with 80 mg simvastatin resulted in a 77% increase in exposure to simvastatin compared to simvastatin alone. Limit the dose of simvastatin in patients on amlodipine to 20 mg daily.
In clinical trials, amlodipine has been safely administered with thiazide diuretics, beta-blockers, ACE inhibitors, long-acting nitrates, sublingual nitroglycerin, digoxin, warfarin, non-steroidal anti-inflammatory drugs, antibiotics, and oral hypoglycemic drugs.
7.4 Drug Interactions With Hydrochlorothiazide
When administered concurrently the following drugs may interact with thiazide diuretics:
Alcohol, Barbiturates, or Narcotics: Potentiation of orthostatic hypotension may occur.
Antidiabetic Drugs (oral agents and insulin): Dosage adjustment of the antidiabetic drug may be required.
Other Antihypertensive Drugs: Additive effect or potentiation.
Cholestyramine and Colestipol Resins: Absorption of hydrochlorothiazide is impaired in the presence of anionic exchange resins. Single dose of either cholestyramine or colestipol resins bind the hydrochlorothiazide and reduce its absorption from the gastrointestinal tract by up to 85% and 43%, respectively.
Corticosteroids, ACTH: Intensified electrolyte depletion, particularly hypokalemia.
Pressor Amines (e.g., Norepinephrine): Possible decreased response to pressor amines but not sufficient to preclude their use.
Skeletal Muscle Relaxants, Non-depolarizing (e.g., Tubocurarine): Possible increased responsiveness to the muscle relaxant.
Lithium: Monitor lithium levels [see Drug Interactions (7.2)].
Non-steroidal Anti-inflammatory Drugs: In some patients the administration of a non-steroidal anti-inflammatory agent can reduce the diuretic, natriuretic, and antihypertensive effects of loop, potassium-sparing and thiazide diuretics. Therefore, when hydrochlorothiazide tablets and non-steroidal anti-inflammatory agents are used concomitantly, the patients should be observed closely to determine if the desired effect of the diuretic is obtained.
8.1 Pregnancy
Pregnancy Category D
Use of drugs that act on the renin-angiotensin system during the second and third trimesters of pregnancy reduces fetal renal function and increases fetal and neonatal morbidity and death. Resulting oligohydramnios can be associated with fetal lung hypoplasia and skeletal deformations. Potential neonatal adverse effects include skull hypoplasia, anuria, hypotension, renal failure, and death. When pregnancy is detected, discontinue olmesartan medoxomil, amlodipine and hydrochlorothiazide tablets as soon as possible. These adverse outcomes are usually associated with use of these drugs in the second and third trimester of pregnancy. Most epidemiologic studies examining fetal abnormalities after exposure to antihypertensive use in the first trimester have not distinguished drugs affecting the renin-angiotensin system from other antihypertensive agents. Appropriate management of maternal hypertension during pregnancy is important to optimize outcomes for both mother and fetus.
In the unusual case that there is no appropriate alternative to therapy with drugs affecting the renin-angiotensin system for a particular patient, apprise the mother of the potential risk to the fetus. Perform serial ultrasound examinations to assess the intraamniotic environment. If oligohydramnios is observed, discontinue olmesartan medoxomil, amlodipine and hydrochlorothiazide tablets, unless it is considered lifesaving for the mother. Fetal testing may be appropriate, based on the week of pregnancy. Patients and physicians should be aware, however, that oligohydramnios may not appear until after the fetus has sustained irreversible injury. Closely observe infants with histories of in utero exposure to olmesartan medoxomil, amlodipine and hydrochlorothiazide tablets for hypotension, oliguria, and hyperkalemia [see Use in Specific Populations (8.4)].
8.3 Nursing Mothers
It is not known whether amlodipine or olmesartan are excreted in human milk, but thiazides appear in human milk and olmesartan is secreted at low concentration in the milk of lactating rats. Because of the potential for adverse effects on the nursing infant, a decision should be made whether to discontinue nursing or discontinue the drug, taking into account the importance of the drug to the mother.
8.4 Pediatric Use
Neonates with a history of in utero exposure to olmesartan medoxomil, amlodipine and hydrochlorothiazide tablets:
If oliguria or hypotension occurs, direct attention toward support of blood pressure and renal perfusion. Exchange transfusions or dialysis may be required as a means of reversing hypotension and/or substituting for disordered renal function
The safety and effectiveness of olmesartan medoxomil, amlodipine and hydrochlorothiazide tablets in pediatric patients have not been established
8.5 Geriatric Use
Olmesartan Medoxomil, Amlodipine and Hydrochlorothiazide Tablets. In a controlled clinical trial, 123 hypertensive patients treated with olmesartan medoxomil, amlodipine and hydrochlorothiazide were ≥65 years of age and 18 patients were ≥75 years of age. No overall differences in the efficacy or safety of olmesartan medoxomil, amlodipine and hydrochlorothiazide tablets were observed in these patient populations; however, greater sensitivity of some older individuals cannot be ruled out.
8.6 Hepatic Impairment
There are no studies of olmesartan medoxomil, amlodipine and hydrochlorothiazide tablets in patients with hepatic insufficiency, but both amlodipine and olmesartan medoxomil show moderate increases in exposure in patients with severe hepatic impairment. Initiate amlodipine at 2.5 mg in patients with severe hepatic impairment.
Olmesartan medoxomil. Increases in AUC0-00 and peak plasma concentration (C max ) for olmesartan were observed with moderate hepatic impairment compared to those in matched controls with an increase in AUC of about 60%.
Hydrochlorothiazide. In patients with impaired hepatic function or progressive liver disease, minor alterations of fluid and electrolyte balance may precipitate hepatic coma.
8.7 Renal Impairment
There are no studies of olmesartan medoxomil, amlodipine and hydrochlorothiazide tablets in patients with renal impairment. Avoid use in patients with severe renal impairment (creatinine clearance <30 mL/min).
Olmesartan medoxomil. Patients with renal insufficiency have elevated serum concentrations of olmesartan compared with patients with normal renal function. After repeated dosing, AUC was approximately tripled in patients with severe renal impairment (creatinine clearance <20 mL/min). No initial dosage adjustment is recommended for patients with moderate to marked renal impairment (creatinine clearance <40 mL/min). The pharmacokinetics of olmesartan in patients undergoing hemodialysis has not been studied.
Amlodipine. The pharmacokinetics of amlodipine are not significantly influenced by renal impairment.
Hydrochlorothiazide. Thiazide should be used with caution in patients with severe renal disease. In patients with renal disease, thiazides may precipitate azotemia. Cumulative effects of the drug may develop in patients with impaired renal function.
8.8 Black Patients
Of the total number of patients who received olmesartan medoxomil, amlodipine and hydrochlorothiazide in a randomized trial, 29% (184/627) were black. Olmesartan medoxomil, amlodipine and hydrochlorothiazide tablets was effective in lowering both systolic and diastolic blood pressure in black patients (usually a low-renin population) to the same extent as in non-black patients.
10 Overdosage
There is no information on overdosage with olmesartan medoxomil, amlodipine and hydrochlorothiazide tablets in humans.
Olmesartan medoxomil. Limited data are available related to overdosage in humans. The most likely manifestations of overdosage would be hypotension and tachycardia; bradycardia could be encountered if parasympathetic (vagal) stimulation occurs. If symptomatic hypotension should occur, supportive treatment should be initiated. The dialyzability of olmesartan is unknown.
Amlodipine. Single oral doses of amlodipine maleate equivalent to 40 mg amlodipine/kg and 100 mg amlodipine/kg in mice and rats, respectively, caused deaths. Single oral amlodipine maleate doses equivalent to 4 or more mg amlodipine/kg or higher in dogs (11 or more times the maximum recommended human dose on a mg/m 2 basis) caused a marked peripheral vasodilation and hypotension.
Overdosage might be expected to cause excessive peripheral vasodilation with marked hypotension and possibly a reflex tachycardia. In humans, experience with intentional overdosage of amlodipine is limited.
If massive overdose should occur, active cardiac and respiratory monitoring should be instituted. Frequent blood pressure measurements are essential. Should hypotension occur, cardiovascular support including elevation of the extremities and the judicious administration of fluids should be initiated. If hypotension remains unresponsive to these conservative measures, administration of vasopressors (such as phenylephrine) should be considered with attention to circulating volume and urine output. Intravenous calcium gluconate may help to reverse the effects of calcium entry blockade. As amlodipine is highly protein bound, hemodialysis is not likely to be of benefit.
Hydrochlorothiazide. The most common signs and symptoms of overdose observed in humans are those caused by electrolyte depletion (hypokalemia, hypochloremia, hyponatremia) and dehydration resulting from excessive diuresis. If digitalis has also been administered, hypokalemia may accentuate cardiac arrhythmias. The degree to which hydrochlorothiazide is removed by hemodialysis has not been established. The oral LD50 of hydrochlorothiazide is greater than 10 g/kg in both mice and rats, more than 1000-fold the highest recommended human dose.
11 Description
Olmesartan medoxomil, amlodipine and hydrochlorothiazide provided as a tablet for oral administration, is a fixed combination of olmesartan medoxomil (ARB), amlodipine (CCB), and hydrochlorothiazide (thiazide diuretic).
Olmesartan medoxomil, a prodrug, is hydrolyzed to olmesartan during absorption from the gastrointestinal tract.
The olmesartan medoxomil component of olmesartan medoxomil, amlodipine and hydrochlorothiazide tablets is chemically described as 2,3-dihydroxy-2-butenyl 4-(1-hydroxy-1-methylethyl)-2-propyl-1-[p-(o-1H-tetrazol-5- ylphenyl)benzyl]imidazole-5-carboxylate, cyclic 2,3-carbonate. Its empirical formula is C29 H30 N6O6 .
The amlodipine besylate component of olmesartan medoxomil, amlodipine and hydrochlorothiazide tablets is chemically described as 3-ethyl-5methyl (±)-2-[(2-aminoethoxy)methyl]-4-(2-chlorophenyl)-1,4-dihydro-6-methyl-3,5pyridinedicarboxylate, monobenzenesulphonate. Its empirical formula is C20 H25 CIN2O5•C6H6O3S.
The hydrochlorothiazide component of olmesartan medoxomil, amlodipine and hydrochlorothiazide tablets is chemically described as 6-chloro-3,4-dihydro-2H-1,2,4-benzo-thiazidiazine-7-sulfonamide 1,1-dioxide. Its empirical formula is C7 H8CIN3 O4 S2 .
The structural formula for olmesartan medoxomil is:
The structural formula for amlodipine besylate is:
The structural formula for hydrochlorothiazide is:
Olmesartan medoxomil, amlodipine and hydrochlorothiazide tablets contains olmesartan medoxomil, a white to light yellowish-white powder or crystalline powder, amlodipine besylate, a white to off-white crystalline powder, and hydrochlorothiazide, a white or practically white, crystalline powder. The molecular weights of olmesartan medoxomil, amlodipine besylate, and hydrochlorothiazide tablets are 558.6, 567.1, and 297.7, respectively. Olmesartan medoxomil is practically insoluble in water and sparingly soluble in methanol. Amlodipine besylate is slightly soluble in water and sparingly soluble in ethanol. Hydrochlorothiazide is slightly soluble in water but freely soluble in sodium hydroxide solution.
Each 20/5/12.5 mg tablet contains 20 mg of olmesartan medoxomil, 5 mg of amlodipine besylate and 12.5 mg of hydrochlorothiazide.
Each 40/5/12.5 mg tablet contains 40 mg of olmesartan medoxomil, 5 mg of amlodipine besylate and 12.5 mg of hydrochlorothiazide.
Each 40/5/25 mg tablet contains 40 mg of olmesartan medoxomil, 5 mg of amlodipine besylate and 25 mg of hydrochlorothiazide.
Each 40/10/12.5 mg tablet contains 40 mg of olmesartan medoxomil, 10 mg of amlodipine besylate and 12.5 mg of hydrochlorothiazide.
Each 40/10/25 mg tablet contains 40 mg of olmesartan medoxomil, 10 mg of amlodipine besylate and 25 mg of hydrochlorothiazide.
Each tablet of olmesartan medoxomil, amlodipine besylate and hydrochlorothiazide also contains the following inactive ingredients: silicified microcrystalline cellulose, pregelatinized starch, croscarmellose sodium, and magnesium stearate. The color coating for 20 /5 /12.5 mg, 40 /5 /25 mg tablets contains titanium dioxide, hypromellose, polyethylene glycol and polysorbate, the color coating for 40/10/25 mg and 40/5/12.5 mg tablets contains polyvinyl alcohol - part dehydrolyzed, titanium dioxide, polyethylene glycol, talc and iron oxide red and the color coating for 40 /10 /12.5 mg tablets polyvinyl alcohol - part dehydrolyzed, titanium dioxide, polyethylene glycol, talc iron oxide yellow and FD&C #6.
12.1 Mechanism Of Action
The active ingredients of olmesartan medoxomil, amlodipine and hydrochlorothiazide tablets target three separate mechanisms involved in blood pressure regulation. Specifically, amlodipine blocks the contractile effects of calcium on cardiac and vascular smooth muscle cells; olmesartan medoxomil blocks the vasoconstriction and sodium retaining effects of angiotensin II on cardiac, vascular smooth muscle, adrenal and renal cells; and hydrochlorothiazide directly promotes the excretion of sodium and chloride in the kidney leading to reductions in intravascular volume. For a more detailed description of the mechanisms of action for each individual component, see below.
Olmesartan medoxomil. Angiotensin II is formed from angiotensin I in a reaction catalyzed by ACE, kininase II. Angiotensin II is the principal pressor agent of the renin-angiotensin system, with effects that include vasoconstriction, stimulation of synthesis and release of aldosterone, cardiac stimulation, and renal reabsorption of sodium. Olmesartan blocks the vasoconstrictor effects of angiotensin II by selectively blocking the binding of angiotensin II to the AT1 receptor in vascular smooth muscle. Its action is, therefore, independent of the pathways for angiotensin II synthesis.
An AT2 receptor is found also in many tissues, but this receptor is not known to be associated with cardiovascular homeostasis. Olmesartan has more than a 12,500-fold greater affinity for the AT1 receptor than for the AT2 receptor.
Blockade of the renin-angiotensin system with ACE inhibitors, which inhibit the biosynthesis of angiotensin II from angiotensin I, is a mechanism of many drugs used to treat hypertension. Angiotensin-converting enzyme inhibitors also inhibit the degradation of bradykinin, a reaction also catalyzed by ACE. Because olmesartan does not inhibit ACE (kininase II), it does not affect the response to bradykinin. Whether this difference has clinical relevance is not yet known.
Blockade of the angiotensin II receptor inhibits the negative regulatory feedback of angiotensin II on renin secretion, but the resulting increased plasma renin activity and circulating angiotensin II levels do not overcome the effect of olmesartan on blood pressure.
Amlodipine. Amlodipine is a dihydropyridine calcium channel blocker that inhibits the transmembrane influx of calcium ions into vascular smooth muscle and cardiac muscle. Experimental data suggests that amlodipine binds to both dihydropyridine and nonhydropyridine binding sites. The contractile processes of cardiac muscle and vascular smooth muscle are dependent upon the movement of extracellular calcium ions into these cells through specific ion channels. Amlodipine inhibits calcium ion influx across cell membranes selectively, with a greater effect on vascular smooth muscle cells than on cardiac muscle cells. Negative inotropic effects can be detected in vitro but such effects have not been seen in intact animals at therapeutic doses. Serum calcium concentration is not affected by amlodipine. Within the physiologic pH range, amlodipine is an ionized compound (pKa=8.6), and its kinetic interaction with the calcium channel receptor is characterized by a gradual rate of association and dissociation with the receptor binding site, resulting in a gradual onset of effect.
Amlodipine is a peripheral arterial vasodilator that acts directly on vascular smooth muscle to cause a reduction in peripheral vascular resistance and reduction in blood pressure.
Hydrochlorothiazide. Hydrochlorothiazide is a thiazide diuretic. Thiazides affect the renal tubular mechanisms of electrolyte reabsorption, directly increasing excretion of sodium and chloride in approximately equivalent amounts. Indirectly, the diuretic action of hydrochlorothiazide reduces plasma volume, with consequent increases in plasma renin activity, increases in aldosterone secretion, increases in urinary potassium loss, and decreases in serum potassium. The renin-aldosterone link is mediated by angiotensin II, so co-administration of an angiotensin II receptor antagonist tends to reverse the potassium loss associated with these diuretics.
The mechanism of the antihypertensive effect of thiazides is not fully understood.
12.2 Pharmacodynamics
Olmesartan medoxomil, amlodipine and hydrochlorothiazide tablets has been shown to be effective in lowering blood pressure. The three components olmesartan medoxomil, amlodipine and hydrochlorothiazide lower the blood pressure through complementary mechanisms, each working at a separate site and blocking different effects or pathways. The pharmacodynamics of each individual component is described below.
Olmesartan medoxomil. Olmesartan medoxomil doses of 2.5 to 40 mg inhibit the pressor effects of angiotensin I infusion. The duration of the inhibitory effect was related to dose, with doses of olmesartan medoxomil >40 mg giving >90% inhibition at 24 hours.
Plasma concentrations of angiotensin I and angiotensin II and plasma renin activity (PRA) increase after single and repeated administration of olmesartan medoxomil to healthy subjects and hypertensive patients. Repeated administration of up to 80 mg olmesartan medoxomil had minimal influence on aldosterone levels and no effect on serum potassium.
Amlodipine. Following administration of therapeutic doses to patients with hypertension, amlodipine produces vasodilation resulting in a reduction of supine and standing blood pressures. These decreases in blood pressure are not accompanied by a significant change in heart rate or plasma catecholamine levels with chronic dosing.
With chronic once daily oral administration, antihypertensive effectiveness is maintained for at least 24 hours. Plasma concentrations correlate with effect in both young and elderly patients. The magnitude of reduction in blood pressure with amlodipine is also correlated with the height of pretreatment elevation; thus, individuals with moderate hypertension (diastolic pressure 105-114 mmHg) had about a 50% greater response than patients with mild hypertension (diastolic pressure 90-104 mmHg). Normotensive patients experienced no clinically significant change in blood pressures (+1/-2 mmHg).
In hypertensive patients with normal renal function, therapeutic doses of amlodipine resulted in a decrease in renal vascular resistance and an increase in glomerular filtration rate and effective renal plasma flow without change in filtration fraction or proteinuria.
As with other calcium channel blockers, hemodynamic measurements of cardiac function at rest and during exercise (or pacing) in patients with normal ventricular function treated with amlodipine have generally demonstrated a small increase in cardiac index without significant influence on dP/dt or on left ventricular end diastolic pressure or volume. In hemodynamic studies, amlodipine has not been associated with a negative inotropic effect when administered in the therapeutic dose range to intact animals and man, even when coadministered with beta-blockers to man. Similar findings, however, have been observed in normal or well-compensated patients with heart failure with agents possessing significant negative inotropic effects.
Amlodipine does not change sinoatrial nodal function or atrioventricular conduction in intact animals or man. In clinical studies in which amlodipine was administered in combination with beta-blockers to patients with either hypertension or angina, no adverse effects on electrocardiographic parameters were observed.
Hydrochlorothiazide. After oral administration of hydrochlorothiazide, diuresis begins within 2 hours, peaks in about 4 hours, and lasts about 6 to 12 hours.
12.3 Pharmacokinetics
Olmesartan Medoxomil, Amlodipine and Hydrochlorothiazide Tablets . After oral administration of olmesartan medoxomil, amlodipine and hydrochlorothiazide tablets in normal healthy adults, peak plasma concentrations of olmesartan, amlodipine, and hydrochlorothiazide are reached in about 1.5 to 3 hours, 6 to 8 hours, and 1.5 to 2 hours, respectively. The rate and extent of absorption of olmesartan medoxomil, amlodipine, and hydrochlorothiazide tablets are the same as when administered as individual dosage forms. Food does not affect the bioavailability of olmesartan medoxomil, amlodipine and hydrochlorothiazide tablets.
Olmesartan medoxomil. Olmesartan medoxomil is rapidly and completely bioactivated by ester hydrolysis to olmesartan during absorption from the gastrointestinal tract. The absolute bioavailability of olmesartan medoxomil is approximately 26%. After oral administration, the Cmax of olmesartan is reached after 1 to 2 hours. Food does not affect the bioavailability of olmesartan medoxomil.
Amlodipine. After oral administration of therapeutic doses of amlodipine, absorption produces peak plasma concentrations between 6 and 12 hours. Absolute bioavailability is estimated between 64% and 90%.
Hydrochlorothiazide. When plasma levels have been followed for at least 24 hours, the plasma half-life has been observed to vary between 5.6 and 14.8 hours.
Distribution
Olmesartan medoxomil. The volume of distribution of olmesartan is approximately 17 L. Olmesartan is highly bound to plasma proteins (99%) and does not penetrate red blood cells. The protein binding is constant at plasma olmesartan concentrations well above the range achieved with recommended doses.
In rats, olmesartan crossed the blood-brain barrier poorly, if at all. Olmesartan passed across the placental barrier in rats and was distributed to the fetus. Olmesartan was distributed to milk at low levels in rats.
Amlodipine. Ex vivo studies have shown that approximately 93% of the circulating drug is bound to plasma proteins in hypertensive patients. Steady-state plasma levels of amlodipine are reached after 7 to 8 days of consecutive daily dosing.
Hydrochlorothiazide. Hydrochlorothiazide crosses the placental but not the blood-brain barrier and is excreted in breast milk.
Metabolism and Excretion
Olmesartan medoxomil. Following the rapid and complete conversion of olmesartan medoxomil to olmesartan during absorption, there is virtually no further metabolism of olmesartan. Total plasma clearance of olmesartan is 1.3 L/h, with a renal clearance of 0.6 L/h. Approximately 35% to 50% of the absorbed dose is recovered in urine while the remainder is eliminated in feces via the bile.
Olmesartan appears to be eliminated in a biphasic manner with a terminal elimination half-life of approximately 13 hours. Olmesartan shows linear pharmacokinetics following single oral doses of up to 320 mg and multiple oral doses of up to 80 mg. Steady-state levels of olmesartan are achieved within 3 to 5 days and no accumulation in plasma occurs with once-daily dosing.
Amlodipine. Amlodipine is extensively (about 90%) converted to inactive metabolites via hepatic metabolism. Elimination from the plasma is biphasic with a terminal elimination half-life of about 30 to 50 hours. Ten percent of the parent compound and 60% of the metabolites are excreted in the urine.
Hydrochlorothiazide. Hydrochlorothiazide is not metabolized but is eliminated rapidly by the kidney. At least 61% of the oral dose is eliminated unchanged within 24 hours.
Geriatric
Olmesartan medoxomil. The pharmacokinetics of olmesartan medoxomil were studied in the elderly (≥65 years). Overall, maximum plasma concentrations of olmesartan were similar in young adults and the elderly. Modest accumulation of olmesartan was observed in the elderly with repeated dosing; AUCѕѕ, τ was 33% higher in elderly patients, corresponding to an approximate 30% reduction in CLR.
Amlodipine. Elderly patients have decreased clearance of amlodipine with a resulting increase in AUC of approximately 40% to 60%, and a lower initial dose may be required.
Gender
Population pharmacokinetic analysis indicated that gender had no effect on the clearance of olmesartan and amlodipine. Female patients had approximately 20% smaller clearances of hydrochlorothiazide than male patients.
Olmesartan medoxomil. Minor differences were observed in the pharmacokinetics of olmesartan medoxomil in women compared to men. Area under the curve and Cmax were 10% to 15% higher in women than in men.
Renal Insufficiency
Olmesartan medoxomil. In patients with renal insufficiency, serum concentrations of olmesartan were elevated compared to subjects with normal renal function. After repeated dosing, the AUC was approximately tripled in patients with severe renal impairment (creatinine clearance <20 mL/min). The pharmacokinetics of olmesartan medoxomil in patients undergoing hemodialysis has not been studied.
Amlodipine. The pharmacokinetics of amlodipine are not significantly influenced by renal impairment.
Hepatic Insufficiency
Olmesartan medoxomil. Increases in AUC0-∞ and Cmax were observed in patients with moderate hepatic impairment compared to those in matched controls, with an increase in AUC of about 60%.
Amlodipine. Patients with hepatic insufficiency have decreased clearance of amlodipine with a resulting increase in AUC of approximately 40% to 60%.
Heart Failure
Amlodipine. Patients with heart failure have decreased clearance of amlodipine with a resulting increase in AUC of approximately 40% to 60%.
Drug Interaction
Bile acid sequestering agent colesevelam.
Concomitant administration of 40 mg olmesartan medoxomil and 3750 mg colesevelam hydrochloride in healthy subjects resulted in 28% reduction in Cmax and 39% reduction in AUC of olmesartan. Lesser effects, 4% and 15% reduction in Cmax and AUC respectively, were observed when olmesartan, medoxomil was administered 4 hours prior to colesevelam hydrochloride [see Drug Interactions (7.2)].
13 Nonclinical Toxicology
The rationale for no or limited new toxicity from the triple combination of olmesartan medoxomil, amlodipine, and hydrochlorothiazide tablets has already been established on the basis of the safety profile of the individual compounds or the dual combinations. To clarify the toxicological profile for olmesartan medoxomil, amlodipine and hydrochlorothiazide tablets, a 3-month repeated dose toxicity study was conducted in rats, and the results demonstrated that the combined administration of olmesartan medoxomil, amlodipine, and hydrochlorothiazide tablets neither augment any existing toxicities of the individual agents nor induce any new toxicities and there were no toxicologically synergistic effects observed in the study.
13.1 Carcinogenesis And Mutagenesis And Impairment Of Fertility
No carcinogenicity, mutagenicity or fertility studies have been conducted with the combination of olmesartan medoxomil, amlodipine and hydrochlorothiazide tablets. However, these studies have been conducted for olmesartan medoxomil, amlodipine and hydrochlorothiazide tablets alone.
Olmesartan medoxomil. Olmesartan was not carcinogenic when administered by dietary administration to rats for up to 2 years. The highest dose tested (2000 mg/kg/day) was, on a mg/m2 basis, about 480 times the MRHD of 40 mg/day. Two carcinogenicity studies conducted in mice, a 6-month gavage study in the p53 knockout mouse and a 6-month dietary administration study in the Hras2 transgenic mouse, at doses of up to 1000 mg/kg/day (on a mg/m2 basis, about 120 times the MRHD of 40 mg/day), revealed no evidence of a carcinogenic effect of olmesartan.
Both olmesartan medoxomil and olmesartan tested negative in the in vitro Syrian hamster embryo cell transformation assay and showed no evidence of genetic toxicity in the Ames (bacterial mutagenicity) test. However, both were shown to induce chromosomal aberrations in cultured cells in vitro (Chinese hamster lung) and tested positive for thymidine kinase mutations in the in vitro mouse lymphoma assay. Olmesartan medoxomil tested negative in vivo for mutations in the MutaMouse intestine and kidney and for clastogenicity in mouse bone marrow (micronucleus test) at oral doses of up to 2000 mg/kg (olmesartan not tested).
Fertility of rats was unaffected by administration of olmesartan at dose levels as high as 1000 mg/kg/day (240 times the MRHD of 40 mg/day on a mg/m2 basis) in a study in which dosing was begun 2 (female) or 9 (male) weeks prior to mating. (Calculations based on a 60 kg patient.)
Amlodipine. Rats and mice treated with amlodipine maleate in the diet for up to 2 years, at concentrations calculated to provide daily dosage levels of amlodipine 0.5, 1.25, and 2.5 mg/kg/day showed no evidence of a carcinogenic effect of the drug. For the mouse, the highest dose was, on a mg/m2 basis, similar to the MRHD of amlodipine 10 mg/day. For the rat, the highest dose was, on a mg/m2 basis, about two times the MRHD (calculations based on a 60 kg patient).
Mutagenicity studies conducted with amlodipine maleate revealed no drug related effects at either the gene or chromosome level.
There was no effect on the fertility of rats treated orally with amlodipine maleate (males for 64 days and females for 14 days prior to mating) at doses of amlodipine up to 10 mg/kg/day (about 10 times the MRHD of 10 mg/day on a mg/m2 basis).
Hydrochlorothiazide. Two-year feeding studies in mice and rats conducted under the auspices of the National Toxicology Program (NTP) uncovered no evidence of a carcinogenic potential of hydrochlorothiazide in female mice (at doses of up to approximately 600 mg/kg/day) or in male and female rats (at doses of up to approximately 100 mg/kg/day). These doses in mice and rats are about 117 and 39 times, respectively, the MRHD of 25 mg/day on a mg/m2 basis. (Calculations based on a 60 kg patient.) The NTP, however, found equivocal evidence for hepatocarcinogenicity in male mice.
Hydrochlorothiazide was not genotoxic in vitro in the Ames mutagenicity assay of Salmonella typhimurium strains TA 98, TA 100, TA 1535, TA 1537, and TA 1538, or in the Chinese Hamster Ovary (CHO) test for chromosomal aberrations. It was also not genotoxic in vivo in assays using mouse germinal cell chromosomes, Chinese Hamster bone marrow chromosomes, or in Drosophilla sex-linked recessive lethal trait gene. Positive test results were obtained in the in vitro CHO Sister Chromatid Exchange (clastogenicity) assay, the Mouse Lymphoma Cell (mutagenicity) assay and the Aspergillus nidulans nondisjunction assay.
Hydrochlorothiazide had no adverse effects on the fertility of mice and rats of either sex in studies wherein these species were exposed, via their diet, to doses of up to 100 and 4 mg/kg, respectively, prior to mating and throughout gestation. These doses in mice and rats are about 19 and 1.5 times, respectively, the MRHD of 25 mg/day on a mg/m2 basis. (Calculations based on a 60 kg patient.)
13.3 Developmental Toxicity
No reproductive studies have been conducted with the combination of olmesartan medoxomil, amlodipine and hydrochlorothiazide tablets. However, these studies have been conducted for olmesartan medoxomil, amlodipine and hydrochlorothiazide tablets alone, and olmesartan medoxomil and hydrochlorothiazide together.
Olmesartan medoxomil. No teratogenic effects were observed when olmesartan medoxomil was administered to pregnant rats at oral doses up to 1000 mg/kg/day (240 times the maximum recommended human dose [MRHD] on a mg/m2 basis) or pregnant rabbits at oral doses up to 1 mg/kg/day (half the MRHD on a mg/m2 basis; higher doses could not be evaluated for effects on fetal development as they were lethal to the does). In rats, significant decreases in pup birth weight and weight gain were observed at doses ≥1.6 mg/kg/day, and delays in developmental milestones (delayed separation of ear auricular, eruption of lower incisors, appearance of abdominal hair, descent of testes, and separation of eyelids) and dose-dependent increases in the incidence of dilation of the renal pelvis were observed at doses ≥8 mg/kg/day. The no observed effect dose for developmental toxicity in rats is 0.3 mg/kg/day, about one-tenth the MRHD of 40 mg/day.
Olmesartan medoxomil and Hydrochlorothiazide. No teratogenic effects were observed when 1.6:1 combinations of olmesartan medoxomil and hydrochlorothiazide were administered to pregnant mice at oral doses up to 1625 mg/kg/day (122 times the MRHD on a mg/m2 basis) or pregnant rats up to 1625 mg/kg/day (243 times the MRHD on a mg/m2 basis) or pregnant rabbits at oral doses up to 1 mg/kg/day (0.3 times the MRHD on a mg/m2 basis). In rats, however, fetal body weights at 1625 mg/kg/day (a toxic, sometimes lethal dose in the dams) were significantly lower than control. The no observed effect dose for developmental toxicity in rats is 162.5 mg/kg/day, about 24 times, on a mg/m2 basis, the MRHD of 40 mg olmesartan medoxomil/25 mg hydrochlorothiazide/day. (Calculations based on a 60 kg patient.)
Amlodipine. No evidence of teratogenicity or other embryo/fetal toxicity was found when pregnant rats and rabbits were treated orally with amlodipine maleate at doses of up to 10 mg amlodipine/kg/day (respectively about 10 and 20 times the maximum recommended human dose of 10 mg amlodipine on a mg/m2 basis) during their respective periods of major organogenesis (calculations based on a patient weight of 60 kg). However, litter size was significantly decreased (by about 50%) and the number of intrauterine deaths was significantly increased (about 5-fold) in rats receiving amlodipine maleate at a dose equivalent to 10 mg amlodipine/kg/day for 14 days before mating and throughout mating and gestation. Amlodipine maleate has been shown to prolong both the gestational period and the duration of labor in rats at this dose. There are no adequate and well-controlled studies in pregnant women. Amlodipine should be used during pregnancy only if the potential benefit justifies the potential risk to the fetus.
Hydrochlorothiazide. Thiazides cross the placental barrier and appear in cord blood. There is a risk of fetal or neonatal jaundice, thrombocytopenia and possibly other adverse reactions that have occurred in adults.
14.1 Olmesartan Medoxomil, Amlodipine And Hydrochlorothiazide Tablets
The antihypertensive efficacy of olmesartan medoxomil, amlodipine and hydrochlorothiazide tablets was studied in a double-blind, active-controlled study in hypertensive patients. A total of 2492 patients with hypertension (mean baseline blood pressure 169/101 mmHg) received olmesartan medoxomil/amlodipine/hydrochlorothiazide 40/10/25 mg (627 patients), olmesartan medoxomil/amlodipine 40/10 mg (628 patients), olmesartan medoxomil/hydrochlorothiazide 40/25 mg (637 patients ), or amlodipine/hydrochlorothiazide 10/25 mg (600 patients). Each subject was randomized to one of the three dual therapy combinations for two to four weeks. Patients were then randomized to continue on the dual therapy they were receiving or to receive triple therapy. A total of 53% of patients were male, 19% were 65 years or older, 67% were white, 30% were black, and 15% were diabetic.
After 8 weeks of treatment, the triple combination therapy produced greater reductions in both systolic and diastolic blood pressures (p< 0.0001) compared to each of the 3 dual combination therapies.
The seated blood pressure reductions attributable to the addition of a single high-dose drug to each high-dose dual drug combination are shown in Table 2.
Table 2 Additional blood pressure reductions on high-dose Olmesartan Medoxomil, Amlodipine and Hydrochlorothiazide Tablets compared to high doses of dual combination drugs
Start on | Adding | BP reduction* |
Olmesartan medoxomil 40 / amlodipine 10 mg | HCTZ 25 mg | 8.4/4.5 mmHg |
Olmesartan medoxomil 40 / HCTZ 25 mg | Amlodipine 10 mg | 7.6/5.4. mmHg |
Amlodipine 10 / HCTZ 25 mg | Olmesartan medoxomil 40 mg | 8.1/5.4 mmHg |
*all highly statistically significant.
There were no apparent differences in terms of seated diastolic blood pressure (SeDBP) or seated systolic blood pressure (SeSBP) reductions in black and non-black patients treated with olmesartan medoxomil, amlodipine and hydrochlorothiazide tablets [see Use in Specific Populations (8.8)].
There were no apparent differences in terms of SeDBP or SeSBP reductions in diabetic and non-diabetic patients treated with olmesartan medoxomil, amlodipine and hydrochlorothiazide tablets.
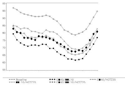
A total of 440 patients participated in the ambulatory blood pressure monitoring portion of the study. Over the 24-hour period, there was a greater reduction in diastolic and systolic ambulatory blood pressure for olmesartan medoxomil/amlodipine/hydrochlorothiazide tablets 40/10/25 mg compared to each of the dual combination therapies (see Figure 1 and Figure 2).
Figure 1: Mean Ambulatory Diastolic Blood Pressure at Endpoint by Treatment and Hour
The blood pressure lowering effects of lower dose strengths of olmesartan medoxomil, amlodipine and hydrochlorothiazide tablets (olmesartan medoxomil/amlodipine/hydrochlorothiazide tablets 20/5/12.5 mg, 40/5/12.5 mg, 40/10/12.5 mg, and 40/5/25 mg) have not been studied.
All of the dose strengths of the triple combination are expected to provide superior blood pressure lowering effects compared to their respective mono and dual combination components. The order of the blood pressure lowering effects among the different dose strengths of olmesartan medoxomil /amlodipine /hydrochlorothiazide tablets is expected to be 20/5/12.5 mg < 40/5/12.5 mg < (40/10/12.5 mg ≈ 40/5/25 mg) < 40/10/25 mg.
There are no trials of olmesartan medoxomil, amlodipine and hydrochlorothiazide tablets demonstrating reductions in cardiovascular risk in patients with hypertension, but at least one pharmacologically similar drug has demonstrated such benefits.
16 How Supplied/Storage And Handling
Olmesartan medoxomil, amlodipine besylate and hydrochlorothiazide tablets contain olmesartan medoxomil, amlodipine besylate at a dose equivalent to 5 or 10 mg amlodipine and hydrochlorothiazide in the strengths described below.
Olmesartan medoxomil, amlodipine and hydrochlorothiazide tablets are differentiated by tablet color/size and are debossed with an individual product tablet code on one side. Olmesartan medoxomil, amlodipine and hydrochlorothiazide tablets are supplied for oral administration in the following strength and package configurations:
Tablet Strength (OM/AML equivalent HCTZ) | Package Configuration | NDC# | Tablet Color |
20/5/12.5 mg | Bottle of 30 Bottle of 90 | 49884-786-11 49884-786-09 | White, film coated, round shaped biconvex tablet, debossed with “p” on one side and “786” on the other |
40/5/12.5 mg | Bottle of 30 Bottle of 90 | 49884-787-11 49884-787-09 | Pink, film coated, round shaped biconvex tablet, debossed with “p” on one side and “787” on the other |
40/5/25 mg | Bottle of 30 Bottle of 90 | 49884-788-11 49884-788-09 | White, film coated, oval shaped biconvex tablet, debossed with “p” on one side and “788” on the other |
40/10/12.5 mg | Bottle of 30 Bottle of 90 | 49884-789-11 49884-789-09 | Orange, film coated, round shaped biconvex tablet, debossed with “p” on one side and “789” on the other |
40/10/25 mg | Bottle of 30 Bottle of 90 | 49884-790-11 49884-790-09 | Pink, film coated, oval shaped biconvex tablet, debossed with “p” on one side and “790” on the other |
Store at 25°C (77°F); excursions permitted to 15°C-30°C (59°F-86°F) [see USP Controlled Room Temperature].
17 Patient Counseling Information
See FDA-Approved Patient Labeling
Pregnancy: Female patients of childbearing age should be told about the consequences of exposure to olmesartan medoxomil, amlodipine and hydrochlorothiazide tablets during pregnancy. Discuss treatment options with women planning to become pregnant. Patients should be asked to report pregnancies to their physicians as soon as possible.
Symptomatic Hypotension: A patient receiving olmesartan medoxomil, amlodipine and hydrochlorothiazide tablets should be cautioned that lightheadedness can occur, especially during the first days of therapy, and that it should be reported to the prescribing physician. Tell patients that if syncope occurs, olmesartan medoxomil, amlodipine and hydrochlorothiazide tablets should be discontinued until the physician has been consulted.
Caution patients that inadequate fluid intake, excessive perspiration, diarrhea, or vomiting can lead to an excessive fall in blood pressure, with the same consequences of lightheadedness and possible syncope [see Warnings and Precautions (5.2)].
Patient Information
Olmesartan Medoxomil, Amlodipine and Hydrochlorothiazide Tablets
Read the Patient Information that comes with olmesartan medoxomil, amlodipine and hydrochlorothiazide tablets before you take it and each time you get a refill. There may be new information. This leaflet does not take the place of talking with your doctor about your medical condition or treatment.
What is the most important information I should know about Olmesartan Medoxomil, Amlodipine and Hydrochlorothiazide Tablets?
- Olmesartan medoxomil, amlodipine and hydrochlorothiazide tablets can cause harm or death to an unborn baby.
- Talk to your doctor about other ways to lower your blood pressure if you plan to become pregnant.
- If you get pregnant while taking olmesartan medoxomil, amlodipine and hydrochlorothiazide tablets, tell your doctor right away.
- amlodipine, a calcium channel blocker
- olmesartan medoxomil, an angiotensin receptor blocker, and
- hydrochlorothiazide, a diuretic (water pill)
- have low or no urine output
- are allergic to other Sulfonamide type medicines. Ask your doctor if you are not sure.
- are taking aliskiren and have diabetes.
- are breast feeding or plan to breast feed. One of the medicines in olmesartan medoxomil, amlodipine and hydrochlorothiazide tablets can pass into your breast milk and may harm your baby. You and your doctor should decide if you will take olmesartan medoxomil, amlodipine and hydrochlorothiazide tablets or breastfeed. You should not do both.
- are allergic to any of the ingredients in olmesartan medoxomil, amlodipine and hydrochlorothiazide tablets. See the end of the leaflet for a list of the ingredients in olmesartan medoxomil, amlodipine and hydrochlorothiazide tablets.
- have liver problems
- have heart problems
- have kidney problems
- have lupus
- are vomiting or have a lot of diarrhea
- have any other medical conditions
- water pills (diuretics)
- other medicines for high blood pressure or a heart problem
- potassium supplements or using salt substitute containing potassium
- diabetes medicine including insulin
- narcotic pain medicine
- sleeping pills and anti-seizure medicines called barbiturates
- lithium, a medicine used to treat certain kinds of depression
- medicines used to treat pain or arthritis such as aspirin or non-steroidal anti-inflammatory drugs (NSAIDs)
- steroids
- cholesterol lowering medicines
- Take olmesartan medoxomil, amlodipine and hydrochlorothiazide tablets exactly as prescribed by your doctor. Your doctor may change your dose if needed.
- Take olmesartan medoxomil, amlodipine and hydrochlorothiazide tablets one time a day.
- Olmesartan medoxomil, amlodipine and hydrochlorothiazide tablets can be taken with or without food.
- If you miss a dose, take it as soon as you remember. If it is close to your next dose, do not take the missed dose. Just take the next dose at your regular time.
- If you take too much olmesartan medoxomil, amlodipine and hydrochlorothiazide tablets, call your doctor or Poison Control Center, or go to the nearest hospital emergency room.
- Harm to an unborn baby causing injury or death. See “What is the most important information I should know about olmesartan medoxomil, amlodipine and hydrochlorothiazide tablets?”
- Low Blood Pressure (hypotension). Low blood pressure may cause you to feel faint or dizzy. Lie down, if you feel faint or dizzy. Call your doctor right away.
- Kidney problems. Kidney problems may get worse in people that already have kidney disease. Blood tests for kidney function may be done while you are taking olmesartan medoxomil, amlodipine and hydrochlorothiazide tablets and the doctor may need to lower your dose of olmesartan medoxomil, amlodipine and hydrochlorothiazide tablets. Call your doctor if you get swelling in your feet, ankles, or hands, or unexplained weight gain. If you have heart failure, your doctor should check your kidney function before prescribing olmesartan medoxomil, amlodipine and hydrochlorothiazide tablets.
- Worsening chest pain or heart attack. Get medical help right away if you have chest pain that gets worse, or that does not go away, during treatment with olmesartan medoxomil, amlodipine and hydrochlorothiazide tablets.
- Allergic reactions. Hydrochlorothiazide, one of the medicines in olmesartan medoxomil, amlodipine and hydrochlorothiazide tablets can cause allergic reactions.
- Changes in body salts (such as sodium and potassium), and body fluids. Tell your doctor if you have any of these signs or symptoms during treatment with olmesartan medoxomil, amlodipine and hydrochlorothiazide tablets:
- Dry mouth
- thirst
- weakness
- tiredness or sleepiness
- restlessness
- confusion
- seizures
- muscle pains or cramps
- muscle tiredness
- dizziness or fainting
- low or no urine output
- fast heartbeat
- nausea and vomiting
- Eye problems. One of the medicines in olmesartan medoxomil, amlodipine and hydrochlorothiazide tablets can cause eye problems that may lead to vision loss. Symptoms of eye problems can happen within hours to weeks of starting olmesartan medoxomil, amlodipine and hydrochlorothiazide tablets. Tell your doctor right away if you have:
- decrease in vision
- eye pain
- Severe diarrhea and weight loss. Severe, chronic diarrhea with considerable weight loss may develop months to years after starting olmesartan medoxomil, amlodipine and hydrochlorothiazide tablets. Tell your doctor if you are experiencing these symptoms.
- dizziness
- swelling (edema) of the ankles, feet, and hands
- headache
- tiredness
- stuffy or runny nose and sore throat
- muscle twitching (spasms)
- nausea
- upper respiratory tract infection
- diarrhea
- urinary tract infection
- swelling (edema) of the joints
- Store olmesartan medoxomil, amlodipine and hydrochlorothiazide tablets at 59°F-86°F (15°C-30°C).
- Keep Olmesartan Medoxomil, Amlodipine and Hydrochlorothiazide Tablets and all medicines out of the reach of children.
What is Olmesartan Medoxomil, Amlodipine and Hydrochlorothiazide Tablets?
Olmesartan medoxomil, amlodipine and hydrochlorothiazide tablets is a prescription medicine used to lower blood pressure (hypertension). Medicines that lower blood pressure lower your chance of having a stroke or heart attack. Olmesartan medoxomil, amlodipine and hydrochlorothiazide tablets is not for use as the first medicine to treat your high blood pressure.
Olmesartan Medoxomil, Amlodipine and Hydrochlorothiazide tablets contains 3 different prescription medications:
It is not known if olmesartan medoxomil, amlodipine and hydrochlorothiazide tablets is safe and works in children.
Who should not take Olmesartan Medoxomil, Amlodipine and Hydrochlorothiazide Tablets?
Do not take olmesartan medoxomil, amlodipine and hydrochlorothiazide tablets if you:
What should I tell my doctor before taking Olmesartan Medoxomil, Amlodipine and Hydrochlorothiazide Tablets?
Before taking olmesartan medoxomil, amlodipine and hydrochlorothiazide tablets, tell your doctor if you:
● are pregnant or plan to become pregnant. See “What is the most important information I should know about Olmesartan Medoxomil, Amlodipine and Hydrochlorothiazide Tablets?”
Tell your doctor about all the medicines you take, including
prescription and non-prescription medicines, vitamins, and herbal
supplements. Some of your other medicines and olmesartan medoxomil, amlodipine and hydrochlorothiazide tablets could affect each other, causing serious side effects.
Especially tell your doctor if you are taking:
Know the medicines you take. Keep a list of your medicines and show it to your doctor or pharmacist when you get a new medicine.
How should I take Olmesartan Medoxomil, Amlodipine and Hydrochlorothiazide Tablets?
What should I avoid while taking Olmesartan Medoxomil, Amlodipine and Hydrochlorothiazide Tablets?
Drinking alcohol. Drinking alcohol during treatment with olmesartan medoxomil, amlodipine and hydrochlorothiazide tablets can cause you to have low blood pressure. See “What are the possible side effects of olmesartan medoxomil, amlodipine and hydrochlorothiazide tablets?”
What are the possible side effects of Olmesartan Medoxomil,Amlodipine and Hydrochlorothiazide Tablets?
Olmesartan Medoxomil, Amlodipine and Hydrochlorothiazide tablets may cause serious side effects, including:
The most common side effects of olmesartan medoxomil, amlodipine and hydrochlorothiazide tablets used to treat people with high blood pressure include:
Tell your doctor if you have any side effect that bothers you or that does not go away.
These are not all of the possible the side effects of olmesartan medoxomil, amlodipine and hydrochlorothiazide tablets. For more information, ask your doctor or pharmacist.
Call your doctor for medical advice about side effects. You may report side effect to the FDA at 1-800-FDA-1088.
How do I store Olmesartan Medoxomil, Amlodipine and Hydrochlorothiazide Tablets?
General Information about Olmesartan Medoxomil, Amlodipine and Hydrochlorothiazide Tablets
Medicines are sometimes prescribed for purposes other than those listed in a patient information leaflet. Do not use olmesartan medoxomil, amlodipine and hydrochlorothiazide tablets for a condition for which it was not prescribed. Do not give olmesartan medoxomil, amlodipine and hydrochlorothiazide tablets to other people, even if they have the same symptoms you have. It may harm them.
This leaflet summarizes the most important information about olmesartan medoxomil, amlodipine and hydrochlorothiazide tablets. If you would like more information, talk with your doctor. You can ask your doctor or pharmacist for information about olmesartan medoxomil, amlodipine and hydrochlorothiazide tablets that is written for health professionals. For more information go to www.parpharm.com or call 1-800-828-9393.
What are the ingredients in Olmesartan Medoxomil, Amlodipine and Hydrochlorothiazide Tablets?
Active ingredients: olmesartan medoxomil, amlodipine and hydrochlorothiazide
Inactive ingredients: silicified microcrystalline cellulose, pregelatinized starch, croscarmellose sodium, and magnesium stearate. The color coating for 20 /5 /12.5 mg, 40 /5 /25 mg tablets contains titanium dioxide, hypromellose, polyethylene glycol and polysorbate, the color coating for 40/10/25 mg and 40/5/12.5 mg tablets contains polyvinyl alcohol - part dehydrolyzed, titanium dioxide, polyethylene glycol, talc and iron oxide red and the color coating for 40 /10 /12.5 mg tablets polyvinyl alcohol - part dehydrolyzed, titanium dioxide, polyethylene glycol, talc iron oxide yellow and FD&C #6.
What is high blood pressure (hypertension)?
Blood pressure is the force of blood in your blood vessels when your heart beats and when your heart rests. You have high blood pressure when the force is too much.
High blood pressure makes the heart work harder to pump blood through the body and causes damage to blood vessels. Olmesartan medoxomil, amlodipine and hydrochlorothiazide tablets can help your blood vessels relax so your blood pressure is lower.
Manufactured by:
PAR PHARMACEUTICAL
Chestnut Ridge, NY 10977
12/2016
Principal Display Panel - 40 Mg, 5 Mg And 12.5 Mg - 30S
Principal Display Panel - 40 Mg, 5 Mg And 25 Mg - 30S
Principal Display Panel - 40 Mg, 10 Mg And 12.5 Mg - 30S
Principal Display Panel - 40 Mg, 10 Mg And 25 Mg - 30S
* Please review the disclaimer below.





