FDA Label for Clindamycin Hydrochloride
View Indications, Usage & Precautions
- WARNING
- DESCRIPTION
- CLINICAL PHARMACOLOGY
- INDICATIONS AND USAGE
- CONTRAINDICATIONS
- WARNINGS
- GENERAL
- INFORMATION FOR PATIENTS
- LABORATORY TESTS
- DRUG INTERACTIONS
- CARCINOGENESIS, MUTAGENESIS, IMPAIRMENT OF FERTILITY
- PREGNANCY
- NURSING MOTHERS
- PEDIATRIC USE
- GERIATRIC USE
- ADVERSE REACTIONS
- OVERDOSAGE
- DOSAGE AND ADMINISTRATION
- HOW SUPPLIED
- ANIMAL TOXICOLOGY
- REFERENCES
Clindamycin Hydrochloride Product Label
The following document was submitted to the FDA by the labeler of this product A-s Medication Solutions. The document includes published materials associated whith this product with the essential scientific information about this product as well as other prescribing information. Product labels may durg indications and usage, generic names, contraindications, active ingredients, strength dosage, routes of administration, appearance, warnings, inactive ingredients, etc.
Warning
Clostridium difficile associated diarrhea (CDAD) has been reported with use of nearly all antibacterial agents, including clindamycin hydrochloride and may range in severity from mild diarrhea to fatal colitis. Treatment with antibacterial agents alters the normal flora of the colon, leading to overgrowth of C. difficile.
Because clindamycin hydrochloride therapy has been associated with severe colitis which may end fatally, it should be reserved for serious infections where less toxic antimicrobial agents are inappropriate, as described in the INDICATIONS AND USAGE section. It should not be used in patients with nonbacterial infections such as most upper respiratory tract infections.
C. difficile produces toxins A and B, which contribute to the development of CDAD. Hypertoxin producing strains of C. difficile cause increased morbidity and mortality, as these infections can be refractory to antimicrobial therapy and may require colectomy. CDAD must be considered in all patients who present with diarrhea following antibiotic use. Careful medical history is necessary since CDAD has been reported to occur over two months after the administration of antibacterial agents.
If CDAD is suspected or confirmed, ongoing antibiotic use not directed against C. difficile may need to be discontinued. Appropriate fluid and electrolyte management, protein supplementation, antibiotic treatment of C. difficile, and surgical evaluation should be instituted as clinically indicated.
Description
Clindamycin hydrochloride is the hydrated hydrochloride salt of clindamycin. Clindamycin is a semisynthetic antibiotic produced by a 7(S)-chloro-substitution of the 7(R)-hydroxyl group of the parent compound lincomycin.
Clindamycin hydrochloride capsules, USP contain clindamycin hydrochloride, USP equivalent to 150 mg or 300 mg of clindamycin.
Inactive ingredients: 150 mg - black iron oxide, corn starch, D&C Yellow #10, FD&C Blue no. 1, gelatin, lactose monohydrate, magnesium stearate, potassium hydroxide, propylene glycol, shellac, talc, and titanium dioxide; 300 mg - black iron oxide, corn starch, FD&C Blue no. 1, gelatin, lactose monohydrate, magnesium stearate, potassium hydroxide, propylene glycol, shellac, talc, and titanium dioxide.
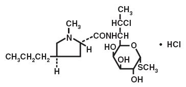
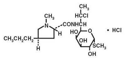
The structural formula is represented below:
C18H33ClN2O5S•HCl M.W. 461.45
The chemical name for clindamycin hydrochloride is Methyl 7-chloro-6, 7, 8-trideoxy-6-(1-methyl-trans-4-propyl-L-2-pyrrolidinecarboxamido)-1-thio-L-threo-α-D-galacto-octopyranoside monohydrochloride.
Clinical Pharmacology
Human Pharmacology
Absorption
Serum level studies with a 150 mg oral dose of clindamycin hydrochloride in 24 normal adult volunteers showed that clindamycin was rapidly absorbed after oral administration. An average peak serum level of 2.50 mcg/mL was reached in 45 minutes; serum levels averaged 1.51 mcg/mL at 3 hours and 0.70 mcg/mL at 6 hours. Absorption of an oral dose is virtually complete (90%), and the concomitant administration of food does not appreciably modify the serum concentrations; serum levels have been uniform and predictable from person to person and dose to dose. Serum level studies following multiple doses of clindamycin hydrochloride for up to 14 days show no evidence of accumulation or altered metabolism of drug. Doses of up to 2 grams of clindamycin per day for 14 days have been well tolerated by healthy volunteers, except that the incidence of gastrointestinal side effects is greater with the higher doses.
Distribution
Concentrations of clindamycin in the serum increased linearly with increased dose. Serum levels exceed the MIC (minimum inhibitory concentration) for most indicated organisms for at least six hours following administration of the usually recommended doses. Clindamycin is widely distributed in body fluids and tissues (including bones). No significant levels of clindamycin are attained in the cerebrospinal fluid, even in the presence of inflamed meninges.
Excretion
The average biological half-life is 2.4 hours. Approximately 10% of the bioactivity is excreted in the urine and 3.6% in the feces; the remainder is excreted as bioinactive metabolites.
Special Populations
Renal Impairment
Serum half-life of clindamycin is increased slightly in patients with markedly reduced renal function. Hemodialysis and peritoneal dialysis are not effective in removing clindamycin from the serum.
Use in Elderly
Pharmacokinetic studies in elderly volunteers (61 to 79 years) and younger adults (18 to 39 years) indicate that age alone does not alter clindamycin pharmacokinetics (clearance, elimination half-life, volume of distribution, and area under the serum concentration-time curve) after IV administration of clindamycin phosphate. After oral administration of clindamycin hydrochloride, elimination half-life is increased to approximately 4 hours (range 3.4 to 5.1 h) in the elderly compared to 3.2 hours (range 2.1 to 4.2 h) in younger adults. The extent of absorption, however, is not different between age groups and no dosage alteration is necessary for the elderly with normal hepatic function and normal (age-adjusted) renal function.
Microbiology
Clindamycin inhibits bacterial protein synthesis by binding to the 50S subunit of the ribosome. It has activity against Gram-positive aerobes and anaerobes as well as some Gram-negative anaerobes. Clindamycin is bacteriostatic. Cross-resistance between clindamycin and lincomycin is complete. Antagonism in vitro has been demonstrated between clindamycin and erythromycin. Clindamycin inducible resistance has been identified in macrolide-resistant staphylococci and beta-hemolytic streptococci. Macrolide-resistant isolates of these organisms should be screened for clindamycin inducible resistance using the D-zone test.
Clindamycin has been shown to be active against most of the isolates of the following microorganisms, both in vitro and in clinical infections, as described in the INDICATIONS AND USAGE section.
Gram-positive aerobes
Staphylococcus aureus (methicillin-susceptible strains)
Streptococcus pneumoniae (penicillin-susceptible strains)
Streptococcus pyogenes
Anaerobes
Prevotella melaninogenica
Fusobacterium necrophorum
Fusobacterium nucleatum
Peptostreptococcus anaerobius
Clostridium perfringens
At least 90% of the microorganisms listed below exhibit in vitro minimum inhibitory concentrations (MICs) less than or equal to the clindamycin susceptible MIC breakpoint for organisms of a similar type to those shown in Table 1. However, the efficacy of clindamycin in treating clinical infections due to these microorganisms has not been established in adequate and well-controlled clinical trials.
Gram-positive aerobes
Staphylococcus epidermidis (methicillin-susceptible strains)
Streptococcus agalactiae
Streptococcus anginosus
Streptococcus oralis
Streptococcus mitis
Anaerobes
Prevotella intermedia
Prevotella bivia
Propionibacterium acnes
Micromonas (“Peptostreptococcus”) micros
Finegoldia (“Peptostreptococcus”) magna
Actinomyces israelii
Clostridium clostridioforme
Eubacterium lentum
Susceptibility Testing Methods
When available, the clinical microbiology laboratory should provide cumulative in vitro susceptibility test results for antimicrobial drugs used in local hospitals and practice areas to the physician as periodic reports that describe the susceptibility profile of nosocomial and community-acquired pathogens. These reports should aid the physician in selecting the most effective antimicrobial.
Dilution Techniques
Quantitative methods are used to determine antimicrobial minimum inhibitory concentrations (MICs). These MICs provide estimates of the susceptibility of bacteria to antimicrobial compounds. The MICs should be determined using a standardized procedure based on dilution method (broth, agar, or microdilution)1,2 or equivalent using standardized inoculum and concentrations of clindamycin. The MIC values should be interpreted according to the criteria provided in Table 1.
Diffusion Techniques
Quantitative methods that require the measurement of zone diameters also provide reproducible estimates of the susceptibility of bacteria to antimicrobial compounds. The standardized procedure1,3 requires the use of standardized inoculum concentrations. This procedure uses paper disks impregnated with 2 mcg of clindamycin to test the susceptibility of microorganisms to clindamycin. Reports from the laboratory providing results of the standard single-disk susceptibility test with a 2 mcg clindamycin disk should be interpreted according to the criteria in Table 1.
| Pathogen | Susceptibility Interpretive Criteria | |||||
| Minimal Inhibitory Concentrations (MIC in mcg/mL) | Disk Diffusion (Zone Diameters in mm) | |||||
| S | I | R | S | I | R | |
| Staphylococcus spp. | ≤ 0.5 | 1 to 2 | ≥ 4 | ≥ 21 | 15 to 20 | ≤ 14 | 
| Streptococcus pneumoniae and other Streptococcus spp. | ≤ 0.25 | 0.5 | ≥ 1 | ≥ 19 | 16 to 18 | ≤ 15 | 
| Anaerobic Bacteria | ≤ 2 | 4 | ≥ 8 | NA | NA | NA | 
NA = not applicable
A report of “Susceptible” indicates that the pathogen is likely to be inhibited if the antimicrobial compound in the blood reaches the concentrations usually achievable. A report of “Intermediate” indicates that the result should be considered equivocal, and, if the microorganism is not fully susceptible to alternative, clinically feasible drugs, the test should be repeated. This category implies possible clinical applicability in body sites where the drug is physiologically concentrated or in situations where high dosage of drug can be used. This category also provides a buffer zone that prevents small, uncontrolled technical factors from causing major discrepancies in interpretation.
A report of “Resistant” indicates that the pathogen is not likely to be inhibited if the antimicrobial compound in the blood reaches the concentrations usually achievable; other therapy should be selected.
Quality Control
Standardized susceptibility test procedures require the use of laboratory controls to monitor and ensure the accuracy and precision of the supplies and reagents used in the assay, and the techniques of the individuals performing the test.1,2,3,4 Standard clindamycin powder should provide the MIC ranges in Table 2. For the disk diffusion technique using the 2 mcg clindamycin disk the criteria provided in Table 2 should be achieved.
| Acceptable Quality Control Ranges | ||
| QC Strain | Minimum Inhibitory Concentration Range(mcg/mL) | Disk Diffusion Range(Zone Diameters in mm) | 
| When Testing Aerobic Pathogens | ||
| Staphylococcus aureus ATCC 29213 | 0.06 to 0.25 | NA | 
| Staphylococcus aureus ATCC 25923 | NA | 24 to 30 | 
| Streptococcus pneumoniae ATCC 49619 | 0.03 to 0.12 | 19 to 25 | 
| When Testing Anaerobes | ||
| Bacteroides fragilis ATCC 25285 | 0.5 to 2 | NA | 
| Bacteroides thetaiotaomicron ATCC 29741 | 2 to 8 | NA | 
| Eubacterium lentum ATCC 43055 | 0.06 to 0.25 | NA | 
NA = Not applicable
ATCC® is a registered trademark of the American Type Culture Collection
Indications And Usage
Clindamycin hydrochloride capsules, USP are indicated in the treatment of serious infections caused by susceptible anaerobic bacteria.
Clindamycin hydrochloride capsules, USP are also indicated in the treatment of serious infections due to susceptible strains of streptococci, pneumococci, and staphylococci. Its use should be reserved for penicillin-allergic patients or other patients for whom, in the judgment of the physician, a penicillin is inappropriate. Because of the risk of colitis, as described in the WARNING box, before selecting clindamycin hydrochloride capsules, USP are the physician should consider the nature of the infection and the suitability of less toxic alternatives (e.g., erythromycin).
Anaerobes: Serious respiratory tract infections such as empyema, anaerobic pneumonitis, and lung abscess; serious skin and soft tissue infections; septicemia; intra-abdominal infections such as peritonitis and intra-abdominal abscess (typically resulting from anaerobic organisms resident in the normal gastrointestinal tract); infections of the female pelvis and genital tract such as endometritis, nongonococcal tubo-ovarian abscess, pelvic cellulitis, and postsurgical vaginal cuff infection.
Streptococci: Serious respiratory tract infections; serious skin and soft tissue infections.
Staphylococci: Serious respiratory tract infections; serious skin and soft tissue infections.
Pneumococci: Serious respiratory tract infections.
Bacteriologic studies should be performed to determine the causative organisms and their susceptibility to clindamycin.
To reduce the development of drug-resistant bacteria and maintain the effectiveness of clindamycin hydrochloride capsules, USP and other antibacterial drugs, clindamycin hydrochloride capsules, USP should be used only to treat or prevent infections that are proven or strongly suspected to be caused by susceptible bacteria. When culture and susceptibility information are available, they should be considered in selecting or modifying antibacterial therapy. In the absence of such data, local epidemiology and susceptibility patterns may contribute to the empiric selection of therapy.
Contraindications
Clindamycin hydrochloride capsules are contraindicated in individuals with a history of hypersensitivity to preparations containing clindamycin or lincomycin.
Warnings
See WARNING box.
Clostridium difficile associated diarrhea (CDAD) has been reported with use of nearly all antibacterial agents, including clindamycin hydrochloride, and may range in severity from mild diarrhea to fatal colitis. Treatment with antibacterial agents alters the normal flora of the colon, leading to overgrowth of C. difficile.
C. difficile produces toxins A and B, which contribute to the development of CDAD. Hypertoxin producing strains of C. difficile cause increased morbidity and mortality, as these infections can be refractory to antimicrobial therapy and may require colectomy. CDAD must be considered in all patients who present with diarrhea following antibiotic use. Careful medical history is necessary since CDAD has been reported to occur over two months after the administration of antibacterial agents.
If CDAD is suspected or confirmed, ongoing antibiotic use not directed against C. difficile may need to be discontinued. Appropriate fluid and electrolyte management, protein supplementation, antibiotic treatment of C. difficile, and surgical evaluation should be instituted as clinically indicated.
A careful inquiry should be made concerning previous sensitivities to drugs and other allergens.
Usage in Meningitis-Since clindamycin does not diffuse adequately into the cerebrospinal fluid, the drug should not be used in the treatment of meningitis.
General
Review of experience to date suggests that a subgroup of older patients with associated severe illness may tolerate diarrhea less well. When clindamycin is indicated in these patients, they should be carefully monitored for change in bowel frequency.
Clindamycin hydrochloride should be prescribed with caution in individuals with a history of gastrointestinal disease, particularly colitis.
Clindamycin hydrochloride should be prescribed with caution in atopic individuals.
Indicated surgical procedures should be performed in conjunction with antibiotic therapy.
The use of clindamycin hydrochloride occasionally results in overgrowth of nonsusceptible organisms—particularly yeasts. Should superinfections occur, appropriate measures should be taken as indicated by the clinical situation.
Clindamycin dosage modification may not be necessary in patients with renal disease. In patients with moderate to severe liver disease, prolongation of clindamycin half-life has been found. However, it was postulated from studies that when given every eight hours, accumulation should rarely occur. Therefore, dosage modification in patients with liver disease may not be necessary. However, periodic liver enzyme determinations should be made when treating patients with severe liver disease.
Prescribing clindamycin hydrochloride capsules in the absence of a proven or strongly suspected bacterial infection or a prophylactic indication is unlikely to provide benefit to the patient and increases the risk of the development of drug-resistant bacteria.
Information For Patients
Patients should be counseled that antibacterial drugs, including clindamycin hydrochloride capsules, should only be used to treat bacterial infections. They do not treat viral infections (e.g., the common cold). When clindamycin hydrochloride capsules are prescribed to treat a bacterial infection, patients should be told that although it is common to feel better early in the course of therapy, the medication should be taken exactly as directed. Skipping doses or not completing the full course of therapy may (1) decrease the effectiveness of the immediate treatment and (2) increase the likelihood that bacteria will develop resistance and will not be treatable by clindamycin hydrochloride capsules or other antibacterial drugs in the future.
Diarrhea is a common problem caused by antibiotics which usually ends when the antibiotic is discontinued. Sometimes after starting treatment with antibiotics, patients can develop watery and bloody stools (with or without stomach cramps and fever) even as late as two or more months after having taken the last dose of the antibiotic. If this occurs, patients should contact their physician as soon as possible.
Laboratory Tests
During prolonged therapy, periodic liver and kidney function tests and blood counts should be performed.
Drug Interactions
Clindamycin has been shown to have neuromuscular blocking properties that may enhance the action of other neuromuscular blocking agents. Therefore, it should be used with caution in patients receiving such agents.
Antagonism has been demonstrated between clindamycin and erythromycin in vitro. Because of possible clinical significance, these two drugs should not be administered concurrently.
Carcinogenesis, Mutagenesis, Impairment Of Fertility
Long-term studies in animals have not been performed with clindamycin to evaluate carcinogenic potential. Genotoxicity tests performed included a rat micronucleus test and an Ames Salmonella reversion test. Both tests were negative.
Fertility studies in rats treated orally with up to 300 mg/kg/day (approximately 1.6 times the highest recommended adult human dose based on mg/m2) revealed no effects on fertility or mating ability.
Pregnancy
Pregnancy: Teratogenic effects
Pregnancy Category B
Reproduction studies performed in rats and mice using oral doses of clindamycin up to 600 mg/kg/day (3.2 and 1.6 times the highest recommended adult human dose based on mg/m2, respectively) or subcutaneous doses of clindamycin up to 250 mg/kg/day (1.3 and 0.7 times the highest recommended adult human dose based on mg/m2, respectively) revealed no evidence of teratogenicity.
There are, however, no adequate and well-controlled studies in pregnant women. Because animal reproduction studies are not always predictive of the human response, this drug should be used during pregnancy only if clearly needed.
Nursing Mothers
Clindamycin has been reported to appear in breast milk in the range of 0.7 to 3.8 mcg/mL.
Pediatric Use
When clindamycin hydrochloride is administered to the pediatric population (birth to 16 years), appropriate monitoring of organ system functions is desirable.
Geriatric Use
Clinical studies of clindamycin did not include sufficient numbers of patients age 65 and over to determine whether they respond differently from younger patients. However, other reported clinical experience indicates that antibiotic-associated colitis and diarrhea (due to Clostridium difficile) seen in association with most antibiotics occur more frequently in the elderly (> 60 years) and may be more severe. These patients should be carefully monitored for the development of diarrhea.
Pharmacokinetic studies with clindamycin have shown no clinically important differences between young and elderly subjects with normal hepatic function and normal (age-adjusted) renal function after oral or intravenous administration.
Adverse Reactions
The following reactions have been reported with the use of clindamycin.
Gastrointestinal: Abdominal pain, pseudomembranous colitis, esophagitis, nausea, vomiting, and diarrhea (see WARNING box). The onset of pseudomembranous colitis symptoms may occur during or after antibacterial treatment (see WARNINGS).
HypersensitivityReactions: Generalized mild to moderate morbilliform-like (maculopapular) skin rashes are the most frequently reported adverse reactions. Vesiculobullous rashes, as well as urticaria, have been observed during drug therapy. Rare instances of erythema multiforme, some resembling Stevens-Johnson syndrome, and a few cases of anaphylactoid reactions have also been reported.
Skin and Mucous Membranes: Pruritus, vaginitis, and rare instances of exfoliative dermatitis have been reported. (See Hypersensitivity Reactions.)
Liver: Jaundice and abnormalities in liver function tests have been observed during clindamycin therapy.
Renal: Although no direct relationship of clindamycin to renal damage has been established, renal dysfunction as evidenced by azotemia, oliguria, and/or proteinuria has been observed in rare instances.
Hematopoietic: Transient neutropenia (leukopenia) and eosinophilia have been reported. Reports of agranulocytosis and thrombocytopenia have been made. No direct etiologic relationship to concurrent clindamycin therapy could be made in any of the foregoing.
Musculoskeletal: Rare instances of polyarthritis have been reported.
Overdosage
Significant mortality was observed in mice at an intravenous dose of 855 mg/kg and in rats at an oral or subcutaneous dose of approximately 2618 mg/kg. In the mice, convulsions and depression were observed.
Hemodialysis and peritoneal dialysis are not effective in removing clindamycin from the serum.
Dosage And Administration
If significant diarrhea occurs during therapy, this antibiotic should be discontinued (see WARNING box).
Adults: Serious infections—150 to 300 mg every 6 hours. More severe infections - 300 to 450 mg every 6 hours. Pediatric Patients: Serious infections - 8 to 16 mg/kg/day (4 to 8 mg/lb/day) divided into three or four equal doses. More severe infections - 16 to 20 mg/kg/day (8 to 10 mg/lb/day) divided into three or four equal doses.
To avoid the possibility of esophageal irritation, clindamycin hydrochloride capsules should be taken with a full glass of water.
Serious infections due to anaerobic bacteria are usually treated with clindamycin injection. However, in clinically appropriate circumstances, the physician may elect to initiate treatment or continue treatment with clindamycin hydrochloride capsules.
In cases of β-hemolytic streptococcal infections, treatment should continue for at least 10 days.
How Supplied
Product: 50090-0967
NDC: 50090-0967-0 30 CAPSULE in a BOTTLE
NDC: 50090-0967-1 45 CAPSULE in a BOTTLE
NDC: 50090-0967-2 16 CAPSULE in a BOTTLE
NDC: 50090-0967-3 40 CAPSULE in a BOTTLE
NDC: 50090-0967-4 20 CAPSULE in a BOTTLE
Animal Toxicology
One-year oral toxicity studies in Spartan Sprague-Dawley rats and beagle dogs at dose levels up to 300 mg/kg/day (approximately 1.6 and 5.4 times the highest recommended adult human dose based on mg/m2, respectively) have shown clindamycin to be well tolerated. No appreciable difference in pathological findings has been observed between groups of animals treated with clindamycin and comparable control groups. Rats receiving clindamycin hydrochloride at 600 mg/kg/day (approximately 3.2 times the highest recommended adult human dose based on mg/m2) for 6 months tolerated the drug well; however, dogs dosed at this level (approximately 10.8 times the highest recommended adult human dose based on mg/m2) vomited, would not eat, and lost weight.
References
- CLSI. Performance Standards for Antimicrobial Susceptibility Testing: Twentieth Informational Supplement. CLSI document M 100-S20. Wayne, PA: Clinical and Laboratory Standards Institute; 2010.
- CLSI. Methods for Dilution Antimicrobial Susceptibility Tests for Bacteria that Grow Aerobically; Approved Standard– Eighth Edition. CLSI document M07-A8. Wayne, PA: Clinical and Laboratory Standards Institute; 2009.
- CLSI. Performance Standards for Antimicrobial Disk Susceptibility Tests; Approved Standard - Tenth Edition. CLSI document M02-A10. Wayne, PA: Clinical and Laboratory Standards Institute; 2009.
- CLSI. Methods for Antimicrobial Susceptibility Testing of Anaerobic Bacteria; Approved Standard-Seventh Edition. CLSI document M11-A7. Wayne, PA: Clinical and Laboratory Standards Institute; 2007.
Manufactured for:
Ranbaxy Pharmaceuticals Inc.
Jacksonville, FL 32257 USA
March 2013 FDA-05
* Please review the disclaimer below.
