FDA Label for Epinephrine
View Indications, Usage & Precautions
- 1.1 HYPOTENSION ASSOCIATED WITH SEPTIC SHOCK
- 1.2 ANAPHYLAXIS
- 1.3 INDUCTION AND MAINTENANCE OF MYDRIASIS DURING INTRAOCULAR SURGERY
- 2.1 GENERAL CONSIDERATIONS
- 2.2 HYPOTENSION ASSOCIATED WITH SEPTIC SHOCK
- 2.3 ANAPHYLAXIS
- 2.4 INDUCTION AND MAINTENANCE OF MYDRIASIS DURING INTRAOCULAR SURGERY
- 3 DOSAGE FORMS AND STRENGTHS
- 4 CONTRAINDICATIONS
- 5.1 HYPERTENSION
- 5.2 EXTRAVASATION AND TISSUE NECROSIS WITH INTRAVENOUS INFUSION
- 5.3 INCORRECT LOCATIONS OF INJECTION FOR ANAPHYLAXIS
- 5.4 PULMONARY EDEMA
- 5.5 RENAL IMPAIRMENT
- 5.6 CARDIAC ARRHYTHMIAS AND ISCHEMIA
- 5.7 INJURY WITH UNDILUTED INTRAOCULAR SOLUTION
- 5.8 SERIOUS INFECTIONS AT THE INJECTION SITE
- 5.9 OTHER DISEASE INTERACTIONS
- 6.1 ADVERSE REACTIONS ASSOCIATED WITH EPINEPHRINE INFUSION (FOR HYPOTENSION ASSOCIATED WITH SEPTIC SHOCK)
- 6.2 ADVERSE REACTIONS ASSOCIATED WITH INTRAMUSCULAR OR SUBCUTANEOUS USE (FOR ANAPHYLAXIS)
- 6.3 ADVERSE REACTIONS ASSOCIATED WITH INTRAOCULAR USE (FOR MYDRIASIS)
- 7 DRUG INTERACTIONS
- TERATOGENIC EFFECTS
- 8.2 LABOR AND DELIVERY
- 8.3 NURSING MOTHERS
- 8.4 PEDIATRIC USE
- 8.5 GERIATRIC USE
- 10 OVERDOSAGE
- 11 DESCRIPTION
- 12.1 MECHANISM OF ACTION
- 12.2 PHARMACODYNAMICS
- 12.3 PHARMACOKINETICS
- OTHER
- 13.1 CARCINOGENESIS, MUTAGENESIS, IMPAIRMENT OF FERTILITY
- 13.2 ANIMAL TOXICOLOGY AND/OR PHARMACOLOGY
- 14.1 HYPOTENSION ASSOCIATED WITH SEPTIC SHOCK
- 14.2 INDUCTION AND MAINTENANCE OF MYDRIASIS DURING INTRAOCULAR SURGERY
- 16 HOW SUPPLIED/STORAGE AND HANDLING
- 17 PATIENT COUNSELING INFORMATION
Epinephrine Product Label
The following document was submitted to the FDA by the labeler of this product A-s Medication Solutions. The document includes published materials associated whith this product with the essential scientific information about this product as well as other prescribing information. Product labels may durg indications and usage, generic names, contraindications, active ingredients, strength dosage, routes of administration, appearance, warnings, inactive ingredients, etc.
1.1 Hypotension Associated With Septic Shock
Epinephrine Injection USP, 1 mg/mL is indicated to increase mean arterial blood pressure in adult patients with hypotension associated with septic shock.
1.2 Anaphylaxis
Emergency treatment of allergic reactions (Type I), including anaphylaxis, which may result from allergic reactions to insect stings, biting insects, foods, drugs, sera, diagnostic testing substances and other allergens, as well as idiopathic anaphylaxis or exercise-induced anaphylaxis. The signs and symptoms associated with anaphylaxis include flushing, apprehension, syncope, tachycardia, thready or unobtainable pulse associated with hypotension, convulsions, vomiting, diarrhea and abdominal cramps, involuntary voiding, airway swelling, laryngospasm, bronchospasm, pruritus, urticaria or angioedema, swelling of the eyelids, lips, and tongue.
1.3 Induction And Maintenance Of Mydriasis During Intraocular Surgery
Induction and maintenance of mydriasis during intraocular surgery.
2.1 General Considerations
Inspect visually for particulate matter and discoloration prior to administration, whenever solution and container permit. Do not use if the solution is colored or cloudy, or if it contains particulate matter. Discard any unused portion.
2.2 Hypotension Associated With Septic Shock
Dilute epinephrine in 5 percent dextrose solution or 5 percent dextrose and sodium chloride solution. These dextrose containing fluids provide protection against significant loss of potency by oxidation. Administration in saline solution alone is not recommended. Whole blood or plasma, if indicated to increase blood volume, should be administered separately.
Add 1 mL (1 mg) of epinephrine from its ampule to 1,000 mL of a 5 percent dextrose containing solution. Each mL of this dilution contains 1 mcg of epinephrine.
Correct blood volume depletion as fully as possible before any vasopressor is administered. When, as an emergency measure, intraaortic pressures must be maintained to prevent cerebral or coronary artery ischemia, epinephrine can be administered before and concurrently with blood volume replacement.
Whenever possible, give infusions of epinephrine into a large vein. Avoid using a catheter tie-in technique, because the obstruction to blood flow around the tubing may cause stasis and increased local concentration of the drug. Occlusive vascular diseases (for example, atherosclerosis, arteriosclerosis, diabetic endarteritis, Buerger's disease) are more likely to occur in the lower than in the upper extremity; therefore, avoid the veins of the leg in elderly patients or in those suffering from such disorders. There is potential for gangrene in a lower extremity when infusions of catecholamine are given in an ankle vein.
To provide hemodynamic support in septic shock associated hypotension in adult patients, the suggested dosing infusion rate of intravenously administered epinephrine is 0.05 mcg/kg/min to 2 mcg/kg/min, and is titrated to achieve a desired mean arterial pressure (MAP). The dosage may be adjusted periodically, such as every 10 - 15 minutes, in increments of 0.05 mcg/kg/min to 0.2 mcg/kg/min, to achieve the desired blood pressure goal.
Continuous epinephrine infusion is generally required over several hours or days until the patient's hemodynamic status improves. The duration of perfusion or total cumulative dose cannot be predicted.
After hemodynamic stabilization, wean incrementally over time, such as by decreasing doses of epinephrine every 30 minutes over a 12- to 24-hour period.
2.3 Anaphylaxis
Inject epinephrine intramuscularly or subcutaneously into the anterolateral aspect of the thigh, through clothing if necessary. When administering to a child, to minimize the risk of injection related injury, hold the leg firmly in place and limit movement prior to and during an injection. The injection may be repeated every 5 to 10 minutes as necessary. For intramuscular administration, use a needle long enough (at least 1/2 inch to 5/8 inch) to ensure the injection is administered into the muscle. Monitor the patient clinically for the severity of the allergic reaction and potential cardiac effects of the drug, with repeat doses titrated to effect. Do not administer repeated injections at the same site, as the resulting vasoconstriction may cause tissue necrosis.
Adults and Children 30 kg (66 lbs) or more: 0.3 to 0.5 mg (0.3 mL to 0.5 mL) of undiluted epinephrine administered intramuscularly or subcutaneously in the anterolateral aspect of the thigh, up to a maximum of 0.5 mg (0.5 mL) per injection, repeated every 5 to 10 minutes as necessary. Monitor clinically for reaction severity and cardiac effects.
Children less than 30 kg (66 lbs): 0.01 mg/kg (0.01 mL/kg) of undiluted epinephrine administered intramuscularly or subcutaneously in the anterolateral aspect of the thigh, up to a maximum of 0.3 mg (0.3 mL) per injection, repeated every 5 to 10 minutes as necessary. Monitor clinically for reaction severity and cardiac effects.
2.4 Induction And Maintenance Of Mydriasis During Intraocular Surgery
Epinephrine must be diluted prior to intraocular use. Dilute 1 mL of epinephrine 1 mg/mL (1:1000) in 100 to 1000 mL of an ophthalmic irrigation fluid to create an epinephrine concentration of 1:100,000 to 1:1,000,000 (10 mcg/mL to 1 mcg/mL). Use the irrigating solution as needed for the surgical procedure.
After dilution in an ophthalmic irrigating fluid, epinephrine may also be injected intracamerally as a bolus dose of 0.1 mL at a dilution of 1:100,000 to 1:400,000 (10 mcg/mL to 2.5 mcg/mL).
3 Dosage Forms And Strengths
Injection solution: 1 mg/1 mL epinephrine as a sterile solution in a 2 mL single-use clear glass ampule, marked Epinephrine Injection USP, 1 mg/mL.
4 Contraindications
None.
5.1 Hypertension
When Epinephrine Injection is administered intravenously, titrate the infusion while monitoring vital signs. Invasive arterial blood pressure monitoring and central venous pressure monitoring are recommended. Because of varying response to epinephrine, dangerously high blood pressure may occur.
Patients receiving monoamine oxidase inhibitors (MAOI) or antidepressants of the triptyline or imipramine types may experience severe, prolonged hypertension when given epinephrine.
5.2 Extravasation And Tissue Necrosis With Intravenous Infusion
When Epinephrine Injection is administered intravenously, the infusion site should be checked frequently for free flow. Avoid extravasation of epinephrine into the tissues, to prevent local necrosis. Blanching along the course of the infused vein, sometimes without obvious extravasation, may be attributed to vasa vasorum constriction with increased permeability of the vein wall, permitting some leakage. This also may progress on rare occasions to superficial slough. Hence, if blanching occurs, consider changing the infusion site at intervals to allow the effects of local vasoconstriction to subside.
Antidote for Extravasation Ischemia: To prevent sloughing and necrosis in areas in which extravasation has taken place, infiltrate the area with 10 mL to 15 mL of saline solution containing from 5 mg to 10 mg of phentolamine, an adrenergic blocking agent. Use a syringe with a fine hypodermic needle, with the solution being infiltrated liberally throughout the area, which is easily identified by its cold, hard, and pallid appearance. Sympathetic blockade with phentolamine causes immediate and conspicuous local hyperemic changes if the area is infiltrated within 12 hours.
5.3 Incorrect Locations Of Injection For Anaphylaxis
When Epinephrine Injection is used for the treatment of anaphylaxis, the most appropriate location for administration is into the anterolateral aspect of the thigh (vastus lateralis muscle) because of its location, size, and available blood flow. Injection into (or near) smaller muscles, such as in the deltoid, is not recommended due to possible differences in absorption associated with this use.
Do not administer repeated injections of epinephrine at the same site, as the resulting vasoconstriction may cause tissue necrosis.
Do not inject into buttock. Injection into the buttock may not provide effective treatment of anaphylaxis and has been associated with the development of Clostridial infections (gas gangrene). Cleansing with alcohol does not kill bacterial spores, and therefore, does not lower this risk.
Do not inject into digits, hands, or feet. Epinephrine is a strong vasoconstrictor. Accidental injection into the digits, hands or feet may result in loss of blood flow to the affected area and has been associated with tissue necrosis.
5.4 Pulmonary Edema
When Epinephrine Injection is administered intravenously, there is risk of pulmonary edema because of the peripheral constriction and cardiac stimulation produced. Treatment of pulmonary edema consists of a rapidly acting alpha-adrenergic blocking drug (such as phentolamine mesylate) and respiratory support.
5.5 Renal Impairment
Intravenously administered epinephrine initially may produce constriction of renal blood vessels and decrease urine formation.
5.6 Cardiac Arrhythmias And Ischemia
Epinephrine may induce cardiac arrhythmias and angina pectoris in patients, especially patients suffering from coronary artery disease, organic heart disease, cerebrovascular disease, hypertension, or patients who are receiving drugs that sensitize the myocardium [see Adverse Reactions (6) and Drug Interactions (7)]. Treatment of arrhythmias consists of administration of a beta-adrenergic blocking drug (such as propranolol).
5.7 Injury With Undiluted Intraocular Solution
Epinephrine must be diluted before intraocular use. Other epinephrine products that contain sodium bisulfite have been associated with corneal endothelial damage when used in the eye at undiluted concentrations (1 mg/mL). Although this Epinephrine product contains no sulfites or preservatives, warning is still advised [see Dosage and Administration (2.4)].
5.8 Serious Infections At The Injection Site
Rare cases of serious skin and soft tissue infections, including necrotizing fasciitis and myonecrosis caused by Clostridia (gas gangrene), have been reported at the injection site following epinephrine injection for anaphylaxis. Clostridium spores can be present on the skin and introduced into the deep tissue with subcutaneous or intramuscular injection. While cleansing with alcohol may reduce presence of bacteria on the skin, alcohol cleansing does not kill Clostridium spores. To decrease the risk of Clostridium infection, do not inject Epinephrine Injection into the buttock [see Warnings and Precautions (5.3)]. Advise patients to seek medical care if they develop signs or symptoms of infection, such as persistent redness, warmth, swelling, or tenderness, at the epinephrine injection site.
5.9 Other Disease Interactions
Epinephrine should be administered with caution to patients with hyperthyroidism, Parkinson’s disease, diabetes mellitus, pheochromocytoma, elderly individuals, and pregnant women. Patients with Parkinson’s disease may experience psychomotor agitation or notice a temporary worsening of symptoms. Diabetic patients may experience transient increases in blood sugar. Despite these concerns, the presence of these conditions is not a contraindication to epinephrine administration in an acute, life-threatening situation.
6.1 Adverse Reactions Associated With Epinephrine Infusion (For Hypotension Associated With Septic Shock)
The following adverse reactions associated with the infusion of epinephrine were identified in the literature. Because these reactions are reported voluntarily from a population of uncertain size, it is not always possible to estimate their frequency reliably or to establish a causal relationship to drug exposure.
Cardiovascular disorders: tachycardia, supraventricular tachycardia, ventricular arrhythmias, myocardial ischemia, myocardial infarction, limb ischemia, pulmonary edema
Gastrointestinal disorders: Nausea, vomiting
General disorders and administrative site conditions: Chest pain, extravasation,
Metabolic: hypoglycemia, hyperglycemia, insulin resistance, hypokalemia, lactic acidosis
Nervous system disorders: Headache, nervousness, paresthesia, tremor, stroke, central nervous system bleeding
Psychiatric disorders: Excitability
Renal disorders: Renal insufficiency
Respiratory: Pulmonary edema, rales
Skin and subcutaneous tissue disorders: Diaphoresis, pallor, piloerection, skin blanching, skin necrosis with extravasation
6.2 Adverse Reactions Associated With Intramuscular Or Subcutaneous Use (For Anaphylaxis)
Common adverse reactions to systemically administered epinephrine include anxiety, apprehensiveness, restlessness, tremor, weakness, dizziness, sweating, palpitations, pallor, nausea and vomiting, headache, and respiratory difficulties. These symptoms occur in some persons receiving therapeutic doses of epinephrine, but are more likely to occur in patients with heart disease, hypertension, or hyperthyroidism [see Warnings and Precautions (5.9)].
Due to the lack of randomized, controlled clinical trials of epinephrine for the treatment of anaphylaxis, the true incidence of adverse reactions associated with the systemic use of epinephrine is difficult to determine. Adverse reactions reported in observational trials, case reports, and studies are listed below by body system:
Cardiovascular: angina, arrhythmias, hypertension, pallor, palpitations, tachyarrhythmia, tachycardia, vasoconstriction, and ventricular ectopy. Angina may occur in patients with coronary artery disease [see Warnings and Precautions (5.6)]. Arrhythmias, including fatal ventricular fibrillation, have occurred, particularly in patients with underlying organic heart disease or patients receiving drugs that sensitize the heart to arrhythmias [see Warnings and Precautions (5.6)]. Rapid rises in blood pressure associated with epinephrine use have produced cerebral hemorrhage, particularly in elderly patients with cardiovascular disease [see Warnings and Precautions (5.6)].
Respiratory: respiratory difficulties.
Neurological: dizziness, disorientation, excitability, headache, impaired memory, lightheadedness, nervousness, panic, psychomotor agitation, sleepiness, tingling, tremor, and weakness.
Psychiatric: anxiety, apprehensiveness, restlessness.
Gastrointestinal: nausea, vomiting.
Skin: sweating.
Other: Patients with Parkinson’s disease may experience psychomotor agitation or a temporary worsening of symptoms [see Warnings and Precautions (5.9)]. Diabetic patients may experience transient increases in blood sugar [see Warnings and Precautions (5.9)].
Accidental injection into the digits, hands or feet may result in loss of blood flow to the affected area [see Warnings and Precautions (5.3)]. Adverse events experienced as a result of an injection into these areas include increased heart rate, local reactions including injection site pallor, coldness, hypoesthesia, and tissue loss, or injury at the injection site resulting in bruising, bleeding, discoloration, erythema, and skeletal injury.
Injection into the buttock has resulted in cases of gas gangrene [see Warnings and Precautions (5.3)].
Rare cases of serious skin and soft tissue infections, including necrotizing fasciitis and myonecrosis caused by Clostridia (gas gangrene), have been reported following epinephrine injection in the thigh [see Warnings and Precautions (5.8)].
6.3 Adverse Reactions Associated With Intraocular Use (For Mydriasis)
Epinephrine products containing sodium bisulfite have been associated with corneal endothelial damage when used in the eye at undiluted concentrations (1 mg/mL). Although this Epinephrine product contains no sulfites or preservatives, warning is still advised [see Warnings and Precautions (5.7)].
To report SUSPECTED ADVERSE REACTIONS, contact BPI Labs LLC at (727) 471-0850 or FDA at 1-800-FDA-1088 or www.fda.gov/medwatch.
7 Drug Interactions
Drugs antagonizing pressor effects of epinephrine
- α-blockers, such as phentolamine
- Vasodilators, such as nitrates
- Diuretics
- Antihypertensives
- Ergot alkaloids
- Sympathomimetics
- β-blockers, such as propranolol
- Tricyclic anti-depressants
- Monoamine oxidase (MAO) inhibitors
- Catechol-O-methyl transferase (COMT) inhibitors, such as entacapone
- Clonidine
- Doxapram
- Oxytocin
- β-blockers, such as propranolol
- Cyclopropane or halogenated hydrocarbon anesthetics, such as halothane
- Antihistamines
- Thyroid hormones
- Diuretics
- Cardiac glycosides, such as digitalis glycosides
- Quinidine
- Potassium depleting diuretics
- Corticosteroids
- Theophylline
Drugs potentiating pressor effects of epinephrine
Drugs potentiating arrhythmogenic effects of epinephrine. Patients who are concomitantly receiving any of the following drugs should be observed carefully for the development of cardiac arrhythmias [see Warnings and Precautions (5.6) and Adverse Reactions (6)].
Drugs potentiating hypokalemic effects of epinephrine
Epinephrine should not be used to counteract circulatory collapse or hypotension caused by phenothiazines, as a reversal of the pressor effects of epinephrine may result in further lowering of blood pressure.
Epinephrine may antagonize the neuronal blockade produced by guanethidine resulting in decreased antihypertensive effect and requiring increased dosage of the latter.
Teratogenic Effects
Teratogenic Effects: Pregnancy Category C:
There are no adequate and well-controlled studies in pregnant women. Epinephrine crosses the placenta. Epinephrine should be used during pregnancy only if the potential benefit justifies the potential risk to the fetus (fetal anoxia, spontaneous abortion, or both). Epinephrine is teratogenic in rabbits, mice, and hamsters dosed during organogenesis.
Epinephrine has been shown to have teratogenic effects (including gastroschisis and embryonic lethality) when administered subcutaneous in rabbits at approximately 15 times the maximum recommended intramuscular or subcutaneous dose (on a mg/m 2 basis at a maternal subcutaneous dose of 1.2 mg/kg/day for two to three days).
In mice, teratogenic effects (including embryonic lethality) were observed at approximately 3 times the maximum recommended intramuscular or subcutaneous dose (on a mg/m 2 basis at maternal subcutaneous dose of 1 mg/kg/day for 10 days). These effects were not seen in mice at approximately 2 times the maximum recommended daily intramuscular or subcutaneous dose (on a mg/m 2 basis at a subcutaneous maternal dose of 0.5 mg/kg/day for 10 days).
In hamsters, teratogenic effects were observed at approximately 2 times the maximum recommended intramuscular or subcutaneous dose (on a mg/m 2 basis at a maternal subcutaneous dose of 0.5 mg/kg/day for 4 days).
8.2 Labor And Delivery
Epinephrine usually inhibits spontaneous or oxytocin induced contractions of the pregnant human uterus and may delay the second stage of labor. Avoid epinephrine during the second stage of labor. In dosage sufficient to reduce uterine contractions, the drug may cause a prolonged period of uterine atony with hemorrhage. Avoid epinephrine in obstetrics when maternal blood pressure exceeds 130/80 mmHg.
Use with caution during labor and delivery. Although epinephrine improves maternal hypotension associated with anaphylaxis, it may result in uterine vasoconstriction, decreased uterine blood flow, and fetal anoxia.
8.3 Nursing Mothers
It is not known whether epinephrine is excreted in human milk. Because many drugs are excreted in human milk, caution should be exercised when epinephrine is administered to a nursing woman.
8.4 Pediatric Use
Safety and effectiveness of epinephrine in pediatric patients with septic shock have not been established.
Clinical use data support weight-based dosing for treatment of anaphylaxis in pediatric patients, and other reported clinical experience with the use of epinephrine suggests that the adverse reactions seen in children are similar in nature and extent to those both expected and reported in adults.
The safety and effectiveness of epinephrine (at a dilution of 1:100,000 to 1:400,000) for induction and maintenance of mydriasis during intraocular surgery have been established in pediatric patients. Use of epinephrine for induction and maintenance of mydriasis during intraocular surgery in pediatric patients is supported by adequate and well controlled studies in adults and uncontrolled studies in pediatric patients.
8.5 Geriatric Use
Clinical studies of epinephrine for the treatment of hypotension associated with septic shock did not include sufficient numbers of subjects aged 65 and over to determine whether they respond differently from younger subjects. Other reported clinical experience has not identified differences in responses between the elderly and younger patients. In general, dose selection for an elderly patient should be cautious, usually starting at the low end of the dosing range, reflecting the greater frequency of decreased hepatic, renal, or cardiac function, and of concomitant disease or other drug therapy.
Clinical studies for the treatment of anaphylaxis have not been performed in subjects aged 65 and over to determine whether they respond differently from younger subjects. However, other reported clinical experience with use of epinephrine for the treatment of anaphylaxis has identified that geriatric patients may be particularly sensitive to the effects of epinephrine. Therefore, for the treatment of anaphylaxis, consider starting with a lower dose to take into account potential concomitant disease or other drug therapy.
For induction and maintenance of mydriasis during intraocular surgery, no overall differences have been observed between elderly and other patients.
10 Overdosage
Overdosage of epinephrine may produce extremely elevated arterial pressure, which may result in cerebrovascular hemorrhage, particularly in elderly patients. Overdosage may also result in pulmonary edema because of peripheral vascular constriction together with cardiac stimulation. Epinephrine overdosage may also cause transient bradycardia followed by tachycardia and these may be accompanied by potentially fatal cardiac arrhythmias. Premature ventricular contractions may appear within one minute after injection and may be followed by multifocal ventricular tachycardia (prefibrillation rhythm). Subsidence of the ventricular effects may be followed by atrial tachycardia and occasionally by atrioventricular block. Myocardial ischemia and infarction, cardiomyopathy, extreme pallor and coldness of the skin, metabolic acidosis due to elevated blood lactic acid levels, and renal insufficiency and failure have also been reported.
Epinephrine is rapidly inactivated in the body and treatment following overdose is primarily supportive. Treatment of pulmonary edema consists of a rapidly acting alpha-adrenergic blocking drug (such as phentolamine mesylate) and respiratory support. Treatment of arrhythmias consists of administration of a beta-adrenergic blocking drug (such as propranolol). If necessary, pressor effects may be counteracted by rapidly acting vasodilators (such as nitrites) or alpha-adrenergic blocking drugs. If prolonged hypotension follows such measures, it may be necessary to administer another pressor drug.
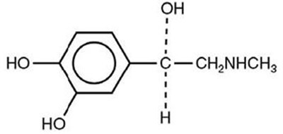
11 Description
Epinephrine Injection USP, 1 mg/mL is supplied as a sterile aqueous solution with a pH range of 2.2-5.0, that is colorless and nonpyrogenic. Each milliliter contains 1 mg epinephrine, sodium chloride 9 mg (for isotonicity), hydrochloric acid for pH adjustment, and water for injection, USP, qs. Contains no preservatives or sulfites.
Solution must be diluted prior to intravenous or ocular use.
Epinephrine, USP is a sympathomimetic catecholamine (adrenergic agent) designated chemically as 4-[1-hydroxy-2 (methylamino) ethyl]-1,2 benzenediol, a white, microcrystalline powder. It has the following structural formula:
The molecular weight of epinephrine is 183.2.
Epinephrine solution deteriorates rapidly on exposure to air or light, turning pink from oxidation to adrenochrome and brown from the formation of melanin.
12.1 Mechanism Of Action
Epinephrine acts on both alpha (α)- and beta (β)-adrenergic receptors. The mechanism of the rise in blood pressure is 3-fold: a direct myocardial stimulation that increases the strength of ventricular contraction (positive inotropic action), an increased heart rate (positive chronotropic action), and peripheral vasoconstriction.
12.2 Pharmacodynamics
Intravenous use for hypotension associated with septic shock:
Following intravenous administration of epinephrine, increases in systolic blood pressure and heart rate are observed. Decreases in systemic vascular resistance and diastolic blood pressure are observed at low doses of epinephrine because of β 2-mediated vasodilation, but are overtaken by α 1-mediated peripheral vasoconstriction at higher doses leading to increase in diastolic blood pressure. The onset of blood pressure increase following an intravenous dose of epinephrine is < 5 minutes and the time to offset blood pressure response occurs within 20 min. Most vascular beds are constricted including renal, splanchnic, mucosal and skin.
Intramuscular and subcutaneous use for anaphylaxis
Through its action on alpha-adrenergic receptors, epinephrine lessens the vasodilation and increased vascular permeability that occurs during anaphylaxis, which can lead to loss of intravascular fluid volume and hypotension.
Through its action on beta-adrenergic receptors, epinephrine causes bronchial smooth muscle relaxation and helps alleviate bronchospasm, wheezing and dyspnea that may occur during anaphylaxis.
Epinephrine also alleviates pruritus, urticaria, and angioedema and may relieve gastrointestinal and genitourinary symptoms associated with anaphylaxis because of its relaxer effects on the smooth muscle of the stomach, intestine, uterus and urinary bladder.
Epinephrine increases glycogenolysis, reduces glucose up take by tissues, and inhibits insulin release in the pancreas, resulting in hyperglycemia and increased blood lactic acid [see Warnings and Precautions (5.9)].
Intraocular use for mydriasis
Epinephrine causes mydriasis when administered intraocularly or parenterally.
12.3 Pharmacokinetics
When administered parenterally or intraocularly, epinephrine has a rapid onset and short duration of action.
Following intravenous injection, epinephrine is rapidly cleared from the plasma with an effective half-life of < 5 min. A pharmacokinetic steady state following continuous intravenous infusion is achieved within 10-15 min. In patients with septic shock, epinephrine displays dose-proportional pharmacokinetics in the infusion dose range of 0.03 to 1.7 mcg/kg/min.
The extent of human systemic exposure at the labeled intraocular dose has not been evaluated, however, significant systemic concentrations or plasma exposure of epinephrine are not expected when administered intraocularly.
Epinephrine is extensively metabolized with only a small amount excreted unchanged.
Epinephrine is rapidly degraded to vanillylmandelic acid, an inactive metabolite, by monoamine oxidase and catechol-O-methyltransferase that are abundantly expressed in the liver, kidneys and other extraneuronal tissues. The tissues with the highest contribution to removal of circulating exogenous epinephrine are the liver (32%), kidneys (25%), skeletal muscle (20%), and mesenteric organs (12%).
Other
Special Populations
Elderly
In a pharmacokinetic study of 45-minute epinephrine infusions given to healthy men aged 20 to 25 years and healthy men aged 60 to 65 years, the mean plasma metabolic clearance rate of epinephrine at steady state was greater among the older men (144.8 versus 78 mL/kg/min for a 14.3 ng/kg/min infusion).
Body Weight
Body weight has been found to influence epinephrine pharmacokinetics. Higher body weight was associated with a higher plasma epinephrine clearance and a lower concentration plateau.
Revised: February 2017 L103I R-1704
Manufactured for:
BPI Labs, LLC, Freehold, NJ 07728 USA
Manufactured by:
Sintetica SA
Via Penate 5
6850 Mendrisio, Switzerland
13.1 Carcinogenesis, Mutagenesis, Impairment Of Fertility
Long-term studies to evaluate the carcinogenic potential of epinephrine have not been conducted.
Epinephrine and other catecholamines have been shown to have mutagenic potential in vitro. Epinephrine was positive in the Salmonella bacterial reverse mutation assay, positive in the mouse lymphoma assay, and negative in the in vivo micronucleus assay. Epinephrine is an oxidative mutagen based on the E. coli WP2 Mutoxitest bacterial reverse mutation assay. This should not prevent the use of epinephrine under the conditions noted under the Indications and Usage.
The potential for epinephrine to impair reproductive performance has not been evaluated, but epinephrine has been shown to decrease implantation in female rabbits dosed subcutaneously with 1.2 mg/kg/day (15-fold the highest human intramuscular or subcutaneous daily dose) during gestation days 3 to 9.
13.2 Animal Toxicology And/Or Pharmacology
Epinephrine was associated with metabolic effects, decreased mesentery, coronary and renal conductance in a sheep model of septic shock. Data from hemolysis study have shown that epinephrine at 1:1000 dilution is non-hemolytic. Epinephrine infusion significantly increased the MAP (69 vs. 86 mmHg) and cardiac output (6.4 vs. 7.1 L/min) and decreased renal blood flow (330 vs. 247 mL/min).
14.1 Hypotension Associated With Septic Shock
Fourteen clinical studies from the literature documented that epinephrine increases the mean arterial pressure (MAP) in patients with hypotension associated with septic shock.
14.2 Induction And Maintenance Of Mydriasis During Intraocular Surgery
In randomized, controlled studies, patients undergoing routine cataract extraction were evaluated after receiving intraocular irrigation with or without epinephrine diluted up to 1:1,666,666 (0.6 mcg/mL). Patients have also been evaluated after receiving bolus intracameral injections of epinephrine diluted between 1:25,000 (40 mcg/mL) and 1:400,000 (2.5 mcg/mL).
In patients with similar pupil diameters at baseline, with or without the use of preoperative mydriatic agents, mydriasis was maintained better in the eyes receiving epinephrine by an average of one to two millimeters in pupil diameter. Pupil constriction to 5 mm or less occurred more often in the patients not receiving epinephrine.
Mean pulse rate and blood pressure showed no significance difference between patients receiving epinephrine and controls and there was no increased incidence of ventricular dysrhythmias in patients receiving epinephrine.
16 How Supplied/Storage And Handling
Product: 50090-3039
NDC: 50090-3039-1 1 mL in a AMPULE
NDC: 50090-3039-2 1 mL in a AMPULE / 10 in a BOX
NDC: 50090-3039-0 1 mL in a AMPULE / 25 in a BOX
17 Patient Counseling Information
Advise patients or their caregivers about common adverse reactions associated with the use of epinephrine, including an increase in heart rate, the sensation of a more forceful heartbeat, palpitations, sweating, nausea and vomiting, difficulty breathing, pallor, dizziness, weakness or shakiness, headache, apprehension, nervousness, or anxiety. These symptoms and signs usually subside rapidly, especially with rest, quiet and recumbent positioning.
Warn patients with a good response to initial treatment about the possibility of recurrence of anaphylaxis symptoms and instruct patients to obtain medical attention if symptoms return.
Advise patients with diabetes that they may develop increased blood glucose levels following epinephrine administration.
Rare cases of serious skin and soft tissue infections, including necrotizing fasciitis and myonecrosis caused by Clostridia (gas gangrene), have been reported at the injection site following epinephrine injection for anaphylaxis. Advise patients to seek medical care if they develop signs or symptoms of infection, such as persistent redness, warmth, swelling, or tenderness, at the epinephrine injection site [see Warnings and Precautions (5.8)] .
* Please review the disclaimer below.
