FDA Label for Hydrocodone Bitartrate And Acetaminophen
View Indications, Usage & Precautions
- OTHER
- ADDICTION, ABUSE, AND MISUSE
- OPIOID ANALGESIC RISK EVALUATION AND MITIGATION STRATEGY (REMS)
- LIFE-THREATENING RESPIRATORY DEPRESSION
- ACCIDENTAL INGESTION
- NEONATAL OPIOID WITHDRAWAL SYNDROME
- CYTOCHROME P450 3A4 INTERACTION
- HEPATOTOXICITY
- RISKS FROM CONCOMITANT USE WITH BENZODIAZEPINES OR OTHER CNS DEPRESSANTS
- DESCRIPTION
- CLINICAL PHARMACOLOGY
- INDICATIONS AND USAGE
- CONTRAINDICATIONS
- RISKS OF CONCOMITANT USE OR DISCONTINUATION OF CYTOCHROME P450 3A4 INHIBITORS AND INDUCERS
- LIFE-THREATENING RESPIRATORY DEPRESSION IN PATIENTS WITH CHRONIC PULMONARY DISEASE OR IN ELDERLY, CACHECTIC, OR DEBILITATED PATIENTS
- ADRENAL INSUFFICIENCY
- SERIOUS SKIN REACTIONS
- HYPERSENSITIVITY/ANAPHYLAXIS
- RISKS OF USE IN PATIENTS WITH INCREASED INTRACRANIAL PRESSURE, BRAIN TUMORS, HEAD INJURY, OR IMPAIRED CONSCIOUSNESS
- RISKS OF USE IN PATIENTS WITH GASTROINTESTINAL CONDITIONS
- INCREASED RISK OF SEIZURES IN PATIENTS WITH SEIZURE DISORDERS
- WITHDRAWAL
- PRECAUTIONS
- ADVERSE REACTIONS
- CONTROLLED SUBSTANCE
- ABUSE
- DEPENDENCE
- OVERDOSAGE
- DOSAGE AND ADMINISTRATION
- HOW SUPPLIED
- SPL MEDGUIDE
- STORAGE
Hydrocodone Bitartrate And Acetaminophen Product Label
The following document was submitted to the FDA by the labeler of this product A-s Medication Solutions. The document includes published materials associated whith this product with the essential scientific information about this product as well as other prescribing information. Product labels may durg indications and usage, generic names, contraindications, active ingredients, strength dosage, routes of administration, appearance, warnings, inactive ingredients, etc.
Other
Hydrocodone Bitartrate and Acetaminophen Tablets, USP CII
Rx Only
Addiction, Abuse, And Misuse
Hydrocodone Bitartrate and Acetaminophen Tablets expose patients and other users to the risks of opioid addiction, abuse, and misuse, which can lead to overdose and death. Assess each patient's risk prior to prescribing Hydrocodone Bitartrate and Acetaminophen Tablets, and monitor all patients regularly for the development of these behaviors and conditions [see WARNINGS].
Hydrocodone Bitartrate and Acetaminophen Tablets contain hydrocodone, a Schedule II controlled substance. As an opioid, Hydrocodone Bitartrate and Acetaminophen Tablets expose users to the risks of addiction, abuse, and misuse [see DRUG ABUSE AND DEPENDENCE].
Although the risk of addiction in any individual is unknown, it can occur in patients appropriately prescribed Hydrocodone Bitartrate and Acetaminophen Tablets. Addiction can occur at recommended dosages and if the drug is misused or abused.
Assess each patient's risk for opioid addiction, abuse, or misuse prior to prescribing Hydrocodone Bitartrate and Acetaminophen Tablets, and monitor all patients receiving Hydrocodone Bitartrate and Acetaminophen Tablets for the development of these behaviors and conditions. Risks are increased in patients with a personal or family history of substance abuse (including drug or alcohol abuse or addiction) or mental illness (e.g., major depression). The potential for these risks should not, however, prevent the proper management of pain in any given patient. Patients at increased risk may be prescribed opioids such as Hydrocodone Bitartrate and Acetaminophen Tablets, but use in such patients necessitates intensive counseling about the risks and proper use of Hydrocodone Bitartrate and Acetaminophen Tablets along with intensive monitoring for signs of addiction, abuse, and misuse.
Opioids are sought by drug abusers and people with addiction disorders and are subject to criminal diversion. Consider these risks when prescribing or dispensing Hydrocodone Bitartrate and Acetaminophen Tablets. Strategies to reduce these risks include prescribing the drug in the smallest appropriate quantity and advising the patient on the proper disposal of unused drug [see PRECAUTIONS; Information for Patients]. Contact local state professional licensing board or state controlled substances authority for information on how to prevent and detect abuse or diversion of this product.
Opioid Analgesic Risk Evaluation And Mitigation Strategy (Rems)
To ensure that the benefits of opioid analgesics outweigh the risks of addiction, abuse, and misuse, the Food and Drug Administration (FDA) has required a REMS for these products [see WARNINGS]. Under the requirements of the REMS, drug companies with approved opioid analgesic products must make REMS-compliant education programs available to healthcare providers. Healthcare providers are strongly encouraged to
• complete a REMS-compliant education program, counsel patients and/or their caregivers, with every prescription, on safe use, serious risks, storage, and disposal of these products,• emphasize to patients and their caregivers the importance of reading the Medication Guide every time it is provided by their pharmacist, and• consider other tools to improve patient, household, and community safety.• Complete a REMS-compliant education program offered by an accredited provider of continuing education (CE) or another education program that includes all the elements of the FDA Education Blueprint for Health Care Providers Involved in the Management or Support of Patients with Pain.• Discuss the safe use, serious risks, and proper storage and disposal of opioid analgesics with patients and/or their caregivers every time these medicines are prescribed. The Patient Counseling Guide (PCG) can be obtained at this link: www.fda.gov/OpioidAnalgesicREMSPCG.• Emphasize to patients and their caregivers the importance of reading the Medication Guide that they will receive from their pharmacist every time an opioid analgesic is dispensed to them.• Consider using other tools to improve patient, household, and community safety, such as patient-prescriber agreements that reinforce patient-prescriber responsibilities.
To ensure that the benefits of opioid analgesics outweigh the risks of addiction, abuse, and misuse, the Food and Drug Administration (FDA) has required a Risk Evaluation and Mitigation Strategy (REMS) for these products. Under the requirements of the REMS, drug companies with approved opioid analgesic products must make REMS-compliant education programs available to healthcare providers. Healthcare providers are strongly encouraged to do all of the following:
To obtain further information on the opioid analgesic REMS and for a list of accredited REMS CME/CE, call 800-503-0784, or log on to www.opioidanalgesicrems.com. The FDA Blueprint can be found at www.fda.gov/OpioidAnalgesicREMSBlueprint.
Life-Threatening Respiratory Depression
Serious, life-threatening, or fatal respiratory depression may occur with use of Hydrocodone Bitartrate and Acetaminophen Tablets. Monitor for respiratory depression, especially during initiation of Hydrocodone Bitartrate and Acetaminophen Tablets or following a dose increase [see WARNINGS].
Serious, life-threatening, or fatal respiratory depression has been reported with the use of opioids, even when used as recommended. Respiratory depression, if not immediately recognized and treated, may lead to respiratory arrest and death. Management of respiratory depression may include close observation, supportive measures, and use of opioid antagonists, depending on the patient's clinical status [see OVERDOSAGE]. Carbon dioxide (CO2) retention from opioid-induced respiratory depression can exacerbate the sedating effects of opioids.
While serious, life-threatening, or fatal respiratory depression can occur at any time during the use of Hydrocodone Bitartrate and Acetaminophen Tablets, the risk is greatest during the initiation of therapy or following a dosage increase. Monitor patients closely for respiratory depression, especially within the first 24-72 hours of initiating therapy with and following dosage increases of Hydrocodone Bitartrate and Acetaminophen Tablets.
To reduce the risk of respiratory depression, proper dosing and titration of Hydrocodone Bitartrate and Acetaminophen Tablets are essential [see DOSAGE AND ADMINISTRATION]. Overestimating the Hydrocodone Bitartrate and Acetaminophen Tablets dosage when converting patients from another opioid product can result in a fatal overdose.
Accidental ingestion of Hydrocodone Bitartrate and Acetaminophen Tablets, especially by children, can result in respiratory depression and death due to an overdose of Hydrocodone Bitartrate and Acetaminophen Tablets.
Accidental Ingestion
Accidental ingestion of Hydrocodone Bitartrate and Acetaminophen Tablets, especially by children, can result in a fatal overdose of Hydrocodone Bitartrate and Acetaminophen Tablets [see WARNINGS].
Neonatal Opioid Withdrawal Syndrome
Prolonged use of Hydrocodone Bitartrate and Acetaminophen Tablets during pregnancy can result in neonatal opioid withdrawal syndrome, which may be life-threatening if not recognized and treated, and requires management according to protocols developed by neonatology experts. If opioid use is required for a prolonged period in a pregnant woman, advise the patient of the risk of neonatal opioid withdrawal syndrome and ensure that appropriate treatment will be available [see WARNINGS].
Prolonged use of Hydrocodone Bitartrate and Acetaminophen Tablets during pregnancy can result in withdrawal in the neonate. Neonatal opioid withdrawal syndrome, unlike opioid withdrawal syndrome in adults, may be life-threatening if not recognized and treated, and requires management according to protocols developed by neonatology experts. Observe newborns for signs of neonatal opioid withdrawal syndrome and manage accordingly. Advise pregnant women using opioids for a prolonged period of the risk of neonatal opioid withdrawal syndrome and ensure that appropriate treatment will be available [see PRECAUTIONS; Information for Patients, Pregnancy].
Cytochrome P450 3A4 Interaction
The concomitant use of Hydrocodone Bitartrate and Acetaminophen Tablets with all Cytochrome P450 3A4 inhibitors may result in an increase in hydrocodone plasma concentrations, which could increase or prolong adverse reactions and may cause potentially fatal respiratory depression. In addition, discontinuation of a concomitantly used Cytochrome P450 3A4 inducer may result in an increase in hydrocodone plasma concentrations. Monitor patients receiving Hydrocodone Bitartrate and Acetaminophen Tablets and any Cytochrome P450 3A4 inhibitor or inducer for signs of respiratory depression or sedation [see CLINICAL PHARMACOLOGY, WARNINGS, PRECAUTIONS; Drug Interactions].
Hepatotoxicity
Acetaminophen has been associated with cases of acute liver failure, at times resulting in liver transplant and death. Most of the cases of liver injury are associated with the use of acetaminophen at doses that exceed 4000 milligrams per day, and often involve more than one acetaminophen-containing product [see WARNINGS, OVERDOSAGE].
Acetaminophen has been associated with cases of acute liver failure, at times resulting in liver transplant and death. Most of the cases of liver injury are associated with the use of acetaminophen at doses that exceed 4000 milligrams per day, and often involve more than one acetaminophen-containing product. The excessive intake of acetaminophen may be intentional to cause self-harm or unintentional as patients attempt to obtain more pain relief or unknowingly take other acetaminophen-containing products.
The risk of acute liver failure is higher in individuals with underlying liver disease and in individuals who ingest alcohol while taking acetaminophen.
Instruct patients to look for acetaminophen or APAP on package labels and not to use more than one product that contains acetaminophen. Instruct patients to seek medical attention immediately upon ingestion of more than 4000 milligrams of acetaminophen per day, even if they feel well.
Risks From Concomitant Use With Benzodiazepines Or Other Cns Depressants
Concomitant use of opioids with benzodiazepines or other central nervous system (CNS) depressants, including alcohol, may result in profound sedation, respiratory depression, coma, and death [see WARNINGS, PRECAUTIONS; Drug Interactions]
• Reserve concomitant prescribing of Hydrocodone Bitartrate and Acetaminophen Tablets and benzodiazepines or other CNS depressants for use in patients for whom alternative treatment options are inadequate.• Limit dosages and durations to the minimum required.• Follow patients for signs and symptoms of respiratory depression and sedation.
Profound sedation, respiratory depression, coma, and death may result from the concomitant use of Hydrocodone Bitartrate and Acetaminophen Tablets with benzodiazepines or other CNS depressants (e.g., non-benzodiazepine sedatives/hypnotics, anxiolytics, tranquilizers, muscle relaxants, general anesthetics, antipsychotics, other opioids, alcohol). Because of these risks, reserve concomitant prescribing of these drugs for use in patients for whom alternative treatment options are inadequate.
Observational studies have demonstrated that concomitant use of opioid analgesics and benzodiazepines increases the risk of drug-related mortality compared to use of opioid analgesics alone. Because of similar pharmacological properties, it is reasonable to expect similar risk with the concomitant use of other CNS depressant drugs with opioid analgesics [see PRECAUTIONS; Drug Interactions].
If the decision is made to prescribe a benzodiazepine or other CNS depressant concomitantly with an opioid analgesic, prescribe the lowest effective dosages and minimum durations of concomitant use. In patients already receiving an opioid analgesic, prescribe a lower initial dose of the benzodiazepine or other CNS depressant than indicated in the absence of an opioid, and titrate based on clinical response. If an opioid analgesic is initiated in a patient already taking a benzodiazepine or other CNS depressant, prescribe a lower initial dose of the opioid analgesic, and titrate based on clinical response. Follow patients closely for signs and symptoms of respiratory depression and sedation.
Advise both patients and caregivers about the risks of respiratory depression and sedation when Hydrocodone Bitartrate and Acetaminophen Tablets are used with benzodiazepines or other CNS depressants (including alcohol and illicit drugs). Advise patients not to drive or operate heavy machinery until the effects of concomitant use of the benzodiazepine or other CNS depressant have been determined. Screen patients for risk of substance use disorders, including opioid abuse and misuse, and warn them of the risk for overdose and death associated with the use of additional CNS depressants including alcohol and illicit drugs [see PRECAUTIONS; Drug Interactions, Information for Patients].
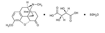
Description
Hydrocodone Bitartrate and Acetaminophen is available in tablet form for oral administration.
Hydrocodone bitartrate is an opioid analgesic and occurs as fine, white crystals or as a crystalline powder. It is affected by light. The chemical name is 4,5α-Epoxy-3-methoxy-17-methylmorphinan- 6-one tartrate (1:1) hydrate (2:5). It has the following structural formula:
C18H21NO3∙C4H 6O6∙21/2H2O | M.W. 494.49 |
Acetaminophen, 4'-Hydroxyacetanilide, a slightly bitter, white, odorless, crystalline powder, is a non-opiate, non-salicylate analgesic and antipyretic. It has the following structural formula:
C8H9NO2 | M.W. 151.16 |
Each LORCET® Hydrocodone Bitartrate and Acetaminophen Tablet, 5 mg/325 mg contains:
Hydrocodone Bitartrate .......... 5 mg
Acetaminophen ...................... 325 mg
Each LORCET® PLUS Hydrocodone Bitartrate and Acetaminophen Tablet, 7.5 mg/325 mg contains:
Hydrocodone Bitartrate ......... 7.5 mg
Acetaminophen ...................... 325 mg
Each LORCET® HD Hydrocodone Bitartrate and Acetaminophen Tablets, 10 mg/325 mg contains:
Hydrocodone Bitartrate ........ 10 mg
Acetaminophen ..................... 325 mg
In addition, each tablet contains the following inactive ingredients: croscarmellose sodium, crospovidone, magnesium stearate, microcrystalline cellulose, povidone, pregelatinized starch, and stearic acid.
The 7.5 mg/325 mg tablets also include D&C Yellow #10 aluminum lake.
5 mg/325 mg, 7.5 mg/325 mg, and 10 mg/325 mg: Meets USP Dissolution Test 1.
Clinical Pharmacology
Mechanism of Action
Hydrocodone is full opioid agonist with relative selectivity for the mu-opioid (m) receptor, although it can interact with other opioid receptors at higher doses. The principal therapeutic action of hydrocodone is analgesia. Like all full opioid agonists, there is no ceiling effect for analgesia with hydrocodone. Clinically, dosage is titrated to provide adequate analgesia and may be limited by adverse reactions, including respiratory and CNS depression. The precise mechanism of the analgesic action is unknown. However, specific CNS opioid receptors for endogenous compounds with opioid-like activity have been identified throughout the brain and spinal cord and are thought to play a role in the analgesic effects of this drug.
The precise mechanism of the analgesic properties of acetaminophen is not established but is thought to involve central actions.
Pharmacodynamics
Effects on the Central Nervous System
The principal therapeutic action of hydrocodone is analgesia. Hydrocodone produces respiratory depression by direct action on brain stem respiratory centers. The respiratory depression involves a reduction in the responsiveness of the brain stem respiratory centers to both increases in carbon dioxide tension and electrical stimulation.
Hydrocodone causes miosis, even in total darkness. Pinpoint pupils are a sign of opioid overdose but are not pathognomonic (e.g., pontine lesions of hemorrhagic or ischemic origins may produce similar findings). Marked mydriasis rather than miosis may be seen due to hypoxia in overdose situations.
Therapeutic doses of acetaminophen have negligible effects on the cardiovascular or respiratory systems; however, toxic doses may cause circulatory failure and rapid, shallow breathing.
Effects on the Gastrointestinal Tract and Other Smooth Muscle
Hydrocodone causes a reduction in motility associated with an increase in smooth muscle tone in the antrum of the stomach and duodenum. Digestion of food in the small intestine is delayed and propulsive contractions are decreased. Propulsive peristaltic waves in the colon are decreased, while tone may be increased to the point of spasm, resulting in constipation. Other opioid-induced effects may include a reduction in biliary and pancreatic secretions, spasm of sphincter of Oddi, and transient elevations in serum amylase.
Effects on the Cardiovascular System
Hydrocodone produces peripheral vasodilation which may result in orthostatic hypotension or syncope. Manifestations of histamine release and/or peripheral vasodilation may include pruritus, flushing, red eyes, sweating, and/or orthostatic hypotension.
Effects on the Endocrine System
Opioids inhibit the secretion of adrenocorticotropic hormone (ACTH), cortisol, and luteinizing hormone (LH) in humans [see ADVERSE REACTIONS]. They also stimulate prolactin, growth hormone (GH) secretion, and pancreatic secretion of insulin and glucagon.
Chronic use of opioids may influence the hypothalamic-pituitary-gonadal axis, leading to androgen deficiency that may manifest as symptoms as low libido, impotence, erectile dysfunction, amenorrhea, or infertility. The causal role of opioids in the syndrome of hypogonadism is unknown because the various medical, physical, lifestyle, and psychological stressors that may influence gonadal hormone levels have not been adequately controlled for in studies conducted to date [see ADVERSE REACTIONS].
Effects on the Immune System
Opioids have been shown to have a variety of effects on components of the immune system. The clinical significance of these findings is unknown. Overall, the effects of opioids appear to be modestly immunosuppressive.
Concentration–Efficacy Relationships
The minimum effective analgesic concentration will vary widely among patients, especially among patients who have been previously treated with potent agonist opioids. The minimum effective analgesic concentration of hydrocodone for any individual patient may increase over time due to an increase in pain, the development of a new pain syndrome, and/or the development of analgesic tolerance [see DOSAGE AND ADMINISTRATION].
Concentration–Adverse Reaction Relationships
There is a relationship between increasing hydrocodone plasma concentration and increasing frequency of dose-related opioid adverse reactions such as nausea, vomiting, CNS effects, and respiratory depression. In opioid-tolerant patients, the situation may be altered by the development of tolerance to opioid-related adverse reactions [see DOSAGE AND ADMINISTRATION].
Indications And Usage
Hydrocodone Bitartrate and Acetaminophen Tablets are indicated for the management of pain severe enough to require an opioid analgesic and for which alternative treatments are inadequate.
Limitations of Use
Because of the risks of addiction, abuse, and misuse, with opioids, even at recommended doses [see WARNINGS], reserve Hydrocodone Bitartrate and Acetaminophen Tablets for use in patients for whom alternative treatment options (e.g., non-opioid analgesics):
• have not been tolerated, or are not expected to be tolerated,• have not provided adequate analgesia, or are not expected to provide adequate analgesia
Contraindications
Hydrocodone Bitartrate and Acetaminophen Tablets are contraindicated in patients with:
• Significant respiratory depression [see WARNINGS]• Acute or severe bronchial asthma in an unmonitored setting or in the absence of resuscitative equipment [see WARNINGS]• Known or suspected gastrointestinal obstruction, including paralytic ileus [see WARNINGS]• Hypersensitivity to hydrocodone or acetaminophen (e.g., anaphylaxis) [see WARNINGS, ADVERSE REACTIONS]
Risks Of Concomitant Use Or Discontinuation Of Cytochrome P450 3A4 Inhibitors And Inducers
Concomitant use of Hydrocodone Bitartrate and Acetaminophen Tablets with a CYP3A4 inhibitor, such as macrolide antibiotics (e.g., erythromycin), azole-antifungal agents (e.g., ketoconazole), and protease inhibitors (e.g., ritonavir), may increase plasma concentrations of Hydrocodone Bitartrate and Acetaminophen Tablets and prolong opioid adverse reactions and which may cause potentially fatal respiratory depression [see WARNINGS], particularly when an inhibitor is added after a stable dose of Hydrocodone Bitartrate and Acetaminophen Tablets is achieved. Similarly, discontinuation of a CYP3A4 inducer, such as rifampin, carbamazepine, and phenytoin, in Hydrocodone Bitartrate and Acetaminophen Tablets-treated patients may increase hydrocodone plasma concentrations and prolong opioid adverse reactions. When adding CYP3A4 inhibitors or discontinuing CYP3A4 inducers in Hydrocodone Bitartrate and Acetaminophen Tablets-treated patients, follow patients at frequent intervals and consider dosage reduction of Hydrocodone Bitartrate and Acetaminophen Tablets until stable drug effects are achieved [see PRECAUTIONS; Drug Interactions].
Concomitant use of Hydrocodone Bitartrate and Acetaminophen Tablets with CYP3A4 inducers or discontinuation of an CYP3A4 inhibitor could decrease hydrocodone plasma concentrations, decrease opioid efficacy or, possibly, lead to a withdrawal syndrome in a patient who had developed physical dependence to hydrocodone. When using Hydrocodone Bitartrate and Acetaminophen Tablets with CYP3A4 inducers or discontinuing CYP3A4 inhibitors, follow patients at frequent intervals and consider increasing the opioid dosage if needed to maintain adequate analgesia or if symptoms of opioid withdrawal occur [see PRECAUTIONS; Drug Interactions].
Life-Threatening Respiratory Depression In Patients With Chronic Pulmonary Disease Or In Elderly, Cachectic, Or Debilitated Patients
The use of Hydrocodone Bitartrate and Acetaminophen Tablets in patients with acute or severe bronchial asthma in an unmonitored setting or in the absence of resuscitative equipment is contraindicated.
Patients with Chronic Pulmonary Disease: Hydrocodone Bitartrate and Acetaminophen Tablettreated patients with significant chronic obstructive pulmonary disease or cor pulmonale, and those with a substantially decreased respiratory reserve, hypoxia, hypercapnia, or pre-existing respiratory depression are at increased risk of decreased respiratory drive including apnea, even at recommended dosages of Hydrocodone Bitartrate and Acetaminophen Tablets [see WARNINGS; Life-Threatening Respiratory Depression].
Elderly, Cachetic, or Debilitated Patients: Life-threatening respiratory depression is more likely to occur in elderly, cachectic, or debilitated patients because they may have altered pharmacokinetics or altered clearance compared to younger, healthier patients [see WARNINGS; Life-Threatening Respiratory Depression].
Follow such patients closely, particularly when initiating and titrating Hydrocodone Bitartrate and Acetaminophen Tablets and when Hydrocodone Bitartrate and Acetaminophen Tablets are given concomitantly with other drugs that depress respiration [see WARNINGS; Life- Threatening Respiratory Depression]. Alternatively, consider the use of non-opioid analgesics in these patients.
Adrenal Insufficiency
Cases of adrenal insufficiency have been reported with opioid use, more often following greater than one month of use. Presentation of adrenal insufficiency may include non-specific symptoms and signs including nausea, vomiting, anorexia, fatigue, weakness, dizziness, and low blood pressure. If adrenal insufficiency is suspected, confirm the diagnosis with diagnostic testing as soon as possible. If adrenal insufficiency is diagnosed, treat with physiologic replacement doses of corticosteroids. Wean the patient off of the opioid to allow adrenal function to recover and continue corticosteroid treatment until adrenal function recovers. Other opioids may be tried as some cases reported use of a different opioid without recurrence of adrenal insufficiency. The information available does not identify any particular opioids as being more likely to be associated with adrenal insufficiency.
Severe Hypotension
Hydrocodone Bitartrate and Acetaminophen Tablets may cause severe hypotension including orthostatic hypotension and syncope in ambulatory patients. There is increased risk in patients whose ability to maintain blood pressure has already been compromised by a reduced blood volume or concurrent administration of certain CNS depressant drugs (e.g., phenothiazines or general anesthetics) [see PRECAUTIONS; Drug Interactions]. Follow these patients for signs of hypotension after initiating or titrating the dosage of Hydrocodone Bitartrate and Acetaminophen Tablets. In patients with circulatory shock Hydrocodone Bitartrate and Acetaminophen Tablets may cause vasodilatation that can further reduce cardiac output and blood pressure. Avoid the use of Hydrocodone Bitartrate and Acetaminophen Tablets with circulatory shock.
Serious Skin Reactions
Rarely, acetaminophen may cause serious skin reactions such as acute generalized exanthematous pustulosis (AGEP), Stevens-Johnson Syndrome (SJS), and toxic epidermal necrolysis (TEN), which can be fatal. Patients should be informed about the signs of serious skin reactions, and use of the drug should be discontinued at the first appearance of skin rash or any other sign of hypersensitivity.
Hypersensitivity/Anaphylaxis
There have been post-marketing reports of hypersensitivity and anaphylaxis associated with the use of acetaminophen. Clinical signs included swelling of the face, mouth, and throat, respiratory distress, urticaria, rash, pruritus, and vomiting. There were infrequent reports of life-threatening anaphylaxis requiring emergency medical attention. Instruct patients to discontinue Hydrocodone Bitartrate and Acetaminophen Tablets immediately and seek medical care if they experience these symptoms. Do not prescribe Hydrocodone Bitartrate and Acetaminophen Tablets for patients with acetaminophen allergy [see PRECAUTIONS; Information for Patients/Caregivers].
Risks Of Use In Patients With Increased Intracranial Pressure, Brain Tumors, Head Injury, Or Impaired Consciousness
In patients who may be susceptible to the intracranial effects of CO2 retention (e.g., those with evidence of increased intracranial pressure or brain tumors), Hydrocodone Bitartrate and Acetaminophen Tablets may reduce respiratory drive, and the resultant CO2 retention can further increase intracranial pressure. Follow such patients for signs of sedation and respiratory depression, particularly when initiating therapy with Hydrocodone Bitartrate and Acetaminophen Tablets.
Opioids may also obscure the clinical course in a patient with a head injury. Avoid the use of Hydrocodone Bitartrate and Acetaminophen Tablets in patients with impaired consciousness or coma.
Risks Of Use In Patients With Gastrointestinal Conditions
Hydrocodone Bitartrate and Acetaminophen Tablets are contraindicated in patients with gastrointestinal obstruction, including paralytic ileus.
The administration of Hydrocodone Bitartrate and Acetaminophen Tablets or other opioids may obscure the diagnosis or clinical course in patients with acute abdominal conditions.
Hydrocodone may cause spasm of the sphincter of Oddi. Opioids may cause increases in serum amylase. Monitor patients with biliary tract disease, including acute pancreatitis, for worsening symptoms.
Increased Risk Of Seizures In Patients With Seizure Disorders
The hydrocodone in Hydrocodone Bitartrate and Acetaminophen Tablets may increase the frequency of seizures in patients with seizure disorders, and may increase the risk of seizures occurring in other clinical settings associated with seizures. Follow patients with a history of seizure disorders for worsened seizure control during Hydrocodone Bitartrate and Acetaminophen Tablets therapy.
Withdrawal
Avoid the use of mixed agonist/antagonist (e.g, pentazocine, nalbuphine, and butorphanol) or partial agonist (e.g., buprenorphine) analgesics in patients who are receiving a full opioid agonist analgesic, including Hydrocodone Bitartrate and Acetaminophen Tablets. In these patients, mixed agonist/antagonist and partial analgesics may reduce the analgesic effect and/or precipitate withdrawal symptoms.
When discontinuing Hydrocodone Bitartrate and Acetaminophen Tablets, gradually taper the dosage [see DOSAGE AND ADMINISTRATION]. Do not abruptly discontinue Hydrocodone Bitartrate and Acetaminophen Tablets [see DRUG ABUSE AND DEPENDENCE] in patients who have been using Hydrocodone Bitartrate and Acetaminophen Tablets around the clock for more than 5 days.
Precautions
Risks of Driving and Operating Machinery
Hydrocodone Bitartrate and Acetaminophen Tablets may impair the mental or physical abilities needed to perform potentially hazardous activities such as driving a car or operating machinery. Warn patients not to drive or operate dangerous machinery unless they are tolerant to the effects of Hydrocodone Bitartrate and Acetaminophen Tablets and know how they will react to the medication [see PRECAUTIONS; Information for Patients/Caregivers].
Information for Patients
Advise the patient to read the FDA-approved patient labeling (Medication Guide).
Addiction, Abuse, and Misuse
Inform patients that the use of Hydrocodone Bitartrate and Acetaminophen Tablets, even when taken as recommended, can result in addiction, abuse, and misuse, which can lead to overdose and death [see WARNINGS]. Instruct patients not to share Hydrocodone Bitartrate and Acetaminophen Tablets with others and to take steps to protect Hydrocodone Bitartrate and Acetaminophen Tablets from theft or misuse.
Life-Threatening Respiratory Depression
Inform patients of the risk of life-threatening respiratory depression, including information that the risk is greatest when starting Hydrocodone Bitartrate and Acetaminophen Tablets or when the dosage is increased, and that it can occur even at recommended dosages [see WARNINGS]. Advise patients how to recognize respiratory depression and to seek medical attention if breathing difficulties develop.
Accidental Ingestion
Inform patients that accidental ingestion, especially by children, may result in respiratory depression or death [see WARNINGS]. Instruct patients to take steps to store Hydrocodone Bitartrate and Acetaminophen Tablets securely and to dispose of unused Hydrocodone Bitartrate and Acetaminophen Tablets by flushing down the toilet.
Interactions with Benzodiazepines and Other CNS Depressants
Inform patients and caregivers that potentially fatal additive effects may occur if Hydrocodone Bitartrate and Acetaminophen Tablets are used with benzodiazepines and other CNS depressants, including alcohol, and not to use these concomitantly unless supervised by a healthcare provider [see WARNINGS, PRECAUTIONS; Drug Interactions].
Serotonin Syndrome
Inform patients that Hydrocodone Bitartrate and Acetaminophen Tablets could cause a rare but potentially life-threatening condition resulting from concomitant administration of serotonergic drugs. Warn patients of the symptoms of serotonin syndrome and to seek medical attention right away if symptoms develop. Instruct patients to inform their healthcare providers if they are taking, or plan to take serotonergic medications [see PRECAUTIONS; Drug Interactions].
Monoamine Oxidase Inhibitor (MAOI) Interaction
Inform patients to avoid taking Hydrocodone Bitartrate and Acetaminophen Tablets while using any drugs that inhibit monoamine oxidase. Patients should not start MAOIs while taking Hydrocodone Bitartrate and Acetaminophen Tablets [see PRECAUTIONS; Drug Interactions].
Adrenal Insufficiency
Inform patients that Hydrocodone Bitartrate and Acetaminophen Tablets opioids could cause adrenal insufficiency, a potentially life-threatening condition. Adrenal insufficiency may present with non-specific symptoms and signs such as nausea, vomiting, anorexia, fatigue, weakness, dizziness, and low blood pressure. Advise patients to seek medical attention if they experience a constellation of these symptoms [see WARNINGS].
Important Administration Instructions
Instruct patients how to properly take Hydrocodone Bitartrate and Acetaminophen Tablets [see DOSAGE AND ADMINISTRATION, WARNINGS].
Maximum Daily Dose of Acetaminophen
Inform patients not to take more than 4000 milligrams of acetaminophen per day. Advise patients to call their prescriber if they take more than the recommended dose.
Hypotension
Inform patients that Hydrocodone Bitartrate and Acetaminophen Tablets may cause orthostatic hypotension and syncope. Instruct patients how to recognize symptoms of low blood pressure and how to reduce the risk of serious consequences should hypotension occur (e.g., sit or lie down, carefully rise from a sitting or lying position) [see WARNINGS].
Anaphylaxis
Inform patients that anaphylaxis has been reported with ingredients contained in Hydrocodone Bitartrate and Acetaminophen Tablets. Advise patients how to recognize such a reaction and when to seek medical attention [see CONTRAINDICATIONS, ADVERSE REACTIONS].
Pregnancy
Neonatal Opioid Withdrawal Syndrome
Inform female patients of reproductive potential that prolonged use of Hydrocodone Bitartrate and Acetaminophen Tablets during pregnancy can result in neonatal opioid withdrawal syndrome, which may be life-threatening if not recognized and treated [see WARNINGS, PRECAUTIONS; Pregnancy].
Embryo-Fetal Toxicity
Inform female patients of reproductive potential that Hydrocodone Bitartrate and Acetaminophen Tablets can cause fetal harm and to inform their healthcare provider of a known or suspected pregnancy [see PRECAUTIONS; Pregnancy].
Lactation
Advise nursing mothers to monitor infants for increased sleepiness (more than usual), breathing difficulties, or limpness. Instruct nursing mothers to seek immediate medical care if they notice these signs [see PRECAUTIONS; Nursing Mothers].
Infertility
Inform patients that chronic use of opioids may cause reduced fertility. It is not known whether these effects on fertility are reversible [see ADVERSE REACTIONS].
Driving or Operating Heavy Machinery
Inform patients that Hydrocodone Bitartrate and Acetaminophen Tablets may impair the ability to perform potentially hazardous activities such as driving a car or operating heavy machinery. Advise patients not to perform such tasks until they know how they will react to the medication [see WARNINGS].
Constipation
Advise patients of the potential for severe constipation, including management instructions and when to seek medical attention [see ADVERSE REACTIONS, CLINICAL PHARMACOLOGY].
Disposal of Unused Hydrocodone Bitartrate and Acetaminophen Tablets
Advise patients to dispose of unused Hydrocodone Bitartrate and Acetaminophen Tablets by flushing unused tablets down the toilet.
Laboratory Tests
In patients with severe hepatic or renal disease, effects of therapy should be followed with serial liver and/or renal function tests
Drug Interactions
Inhibitors of CYP3A4 and CYP2D6
The concomitant use of Hydrocodone Bitartrate and Acetaminophen Tablets and CYP3A4 inhibitors, such as macrolide antibiotics (e.g., erythromycin), azole-antifungal agents (e.g. ketoconazole), and protease inhibitors (e.g., ritonavir), can increase the plasma concentration of the hydrocodone from Hydrocodone Bitartrate and Acetaminophen Tablets, resulting in increased or prolonged opioid effects. These effects could be more pronounced with concomitant use of Hydrocodone Bitartrate and Acetaminophen Tablets and both CYP3A4 and CYP2D6 inhibitors, particularly when an inhibitor is added after a stable dose of Hydrocodone Bitartrate and Acetaminophen Tablets is achieved [see WARNINGS].
After stopping a CYP3A4 inhibitor, as the effects of the inhibitor decline, the hydrocodone plasma concentration will decrease [see CLINICAL PHARMACOLOGY], resulting in decreased opioid efficacy or a withdrawal syndrome in patients who had developed physical dependence to Hydrocodone Bitartrate and Acetaminophen Tablets.
If concomitant use is necessary, consider dosage reduction of Hydrocodone Bitartrate and Acetaminophen Tablets until stable drug effects are achieved. Follow patients for respiratory depression and sedation at frequent intervals. If a CYP3A4 inhibitor is discontinued, consider increasing the Hydrocodone Bitartrate and Acetaminophen Tablets dosage until stable drug effects are achieved. Follow for signs or symptoms of opioid withdrawal.
Inducers of CYP3A4
The concomitant use of Hydrocodone Bitartrate and Acetaminophen Tablets and CYP3A4 inducers, such as rifampin, carbamazepine, and phenytoin, can decrease the plasma concentration of hydrocodone [see CLINICAL PHARMACOLOGY], resulting in decreased efficacy or onset of a withdrawal syndrome in patients who have developed physical dependence to hydrocodone [see WARNINGS].
After stopping a CYP3A4 inducer, as the effects of the inducer decline, the hydrocodone plasma concentration will increase [see CLINICAL PHARMACOLOGY], which could increase or prolong both the therapeutic effects and adverse reactions, and may cause serious respiratory depression.
If concomitant use is necessary, consider increasing the Hydrocodone Bitartrate and Acetaminophen Tablets dosage until stable drug effects are achieved. Follow the patient for signs and symptoms of opioid withdrawal. If a CYP3A4 inducer is discontinued, consider Hydrocodone Bitartrate and Acetaminophen Tablets dosage reduction and follow for signs of respiratory depression.
Benzodiazepines and Other CNS Depressants
Due to additive pharmacologic effect, the concomitant use of benzodiazepines and other CNS depressants, such as benzodiazepines and other sedative hypnotics, anxiolytics, and tranquilizers, muscle relaxants, general anesthetics, antipsychotics, and other opioids, including alcohol, can increase the risk of hypotension, respiratory depression, profound sedation, coma, and death.
Reserve concomitant prescribing of these drugs for use in patients for whom alternative treatment options are inadequate. Limit dosages and durations to the minimum required. Follow patients closely for signs of respiratory depression and sedation [see WARNINGS].
Serotonergic Drugs
The concomitant use of opioids with other drugs that affect the serotonergic neurotransmitter system, such as selective serotonin reuptake inhibitors (SSRIs), serotonin and norepinephrine reuptake inhibitors (SNRIs), tricyclic antidepressants (TCAs), triptans, 5-HT3 receptor antagonists, drugs that affect the serotonin neurotransmitter system (e.g., mirtazapine, trazodone, tramadol), and monoamine oxidase (MAO) inhibitors (those intended to treat psychiatric disorders and also others, such as linezolid and intravenous methylene blue), has resulted in serotonin syndrome [see PRECAUTIONS; Information for Patients].
If concomitant use is warranted, carefully follow the patient, particularly during treatment initiation and dose adjustment. Discontinue Hydrocodone Bitartrate and Acetaminophen Tablets if serotonin syndrome is suspected.
Monoamine Oxidase Inhibitors (MAOIs)
The concomitant use of opioids and MAOIs, such as phenelzine, tranylcypromine, or linezolid, may manifest as serotonin syndrome, or opioid toxicity (e.g., respiratory depression, coma) [see WARNINGS].
The use of Hydrocodone Bitartrate and Acetaminophen Tablets is not recommended for patients taking MAOIs or within 14 days of stopping such treatment.
If urgent use of an opioid is necessary, use test doses and frequent titration of small doses to treat pain while closely monitoring blood pressure and signs and symptoms of CNS and respiratory depression.
Mixed Agonist/Antagonist and Partial Agonist Opioid Analgesics
The concomitant use of opioids with other opioid analgesics, such as butorphanol, nalbuphine, pentazocine, may reduce the analgesic effect of Hydrocodone Bitartrate and Acetaminophen Tablets and/or precipitate withdrawal symptoms.
Advise patient to avoid concomitant use of these drugs.
Muscle Relaxants
Hydrocodone Bitartrate and Acetaminophen Tablets may enhance the neuromuscular blocking action of skeletal muscle relaxants and produce an increased degree of respiratory depression.
If concomitant use is warranted, monitor patients for signs of respiratory depression that may be greater than otherwise expected and decrease the dosage of Hydrocodone Bitartrate and Acetaminophen Tablets and/or the muscle relaxant as necessary.
Diuretics
Opioids can reduce the efficacy of diuretics by inducing the release of antidiuretic hormone. If concomitant use is warranted, follow patients for signs of diminished diuresis and/or effects on blood pressure and increase the dosage of the diuretic as needed.
Anticholinergic Drugs
The concomitant use of anticholinergic drugs may increase risk of urinary retention and/or severe constipation, which may lead to paralytic ileus.
If concomitant use is warranted, follow patients for signs and symptoms of urinary retention or reduced gastric motility when Hydrocodone Bitartrate and Acetaminophen Tablets are used concomitantly with anticholinergic drugs.
Drug/Laboratory Test Interactions
Acetaminophen may produce false-positive test results for urinary 5-hydroxyindoleacetic acid.
Carcinogenesis, Mutagenesis, Impairment of Fertility
Carcinogenesis
Long-term studies to evaluate the carcinogenic potential of the combination of Hydrocodone Bitartrate and Acetaminophen Tablets have not been conducted.
Long-term studies in mice and rats have been completed by the National Toxicology Program to evaluate the carcinogenic potential of acetaminophen. In 2-year feeding studies, F344/N rats and B6C3F1 mice were fed a diet containing acetaminophen up to 6000 ppm. Female rats demonstrated equivocal evidence of carcinogenic activity based on increased incidences of mononuclear cell leukemia at 0.8 times the maximum human daily dose (MHDD) of 4 grams/day, based on a body surface area comparison. In contrast, there was no evidence of carcinogenic activity in male rats that received up to 0.7 times or mice at up to 1.2-1.4 times the MHDD, based on a body surface area comparison.
Mutagenesis
In the published literature, acetaminophen has been reported to be clastogenic when administered at 1500 mg/kg/day to the rat model (3.6-times the MHDD, based on a body surface area comparison). In contrast, no clastogenicity was noted at a dose of 750 mg/kg/day (1.8-times the MHDD, based on a body surface area comparison), suggesting a threshold effect.
Impairment of Fertility
In studies conducted by the National Toxicology Program, fertility assessments with acetaminophen have been completed in Swiss CD-1 mice via a continuous breeding study. There were no effects on fertility parameters in mice consuming up to 1.7 times the MHDD of acetaminophen, based on a body surface area comparison. Although there was no effect on sperm motility or sperm density in the epididymis, there was a significant increase in the percentage of abnormal sperm in mice consuming 1.78 times the MHDD (based on a body surface comparison) and there was a reduction in the number of mating pairs producing a fifth litter at this dose, suggesting the potential for cumulative toxicity with chronic administration of acetaminophen near the upper limit of daily dosing.
Published studies in rodents report that oral acetaminophen treatment of male animals at doses that are 1.2 times the MHDD and greater (based on a body surface comparison) result in decreased testicular weights, reduced spermatogenesis, reduced fertility, and reduced implantation sites in females given the same doses. These effects appear to increase with the duration of treatment. The clinical significance of these findings is not known.
Infertility
Chronic use of opioids may cause reduced fertility in females and males of reproductive potential. It is not known whether these effects on fertility are reversible [see ADVERSE REACTIONS].
Pregnancy
Teratogenic Effects
Pregnancy Category C
There are no adequate and well-controlled studies in pregnant women. Hydrocodone Bitartrate and Acetaminophen Tablets should be used during pregnancy only if the potential benefit justifies the potential risk to the fetus.
Nonteratogenic Effects
Fetal/Neonatal Adverse Reactions
Prolonged use of opioid analgesics during pregnancy for medical or nonmedical purposes can result in physical dependence in the neonate and neonatal opioid withdrawal syndrome shortly after birth.
Neonatal opioid withdrawal syndrome presents as irritability, hyperactivity, abnormal sleep pattern, high pitched cry, tremor, vomiting, diarrhea and failure to gain weight. The onset, duration, and severity of neonatal opioid withdrawal syndrome vary based on the specific opioid used, duration of use, timing and amount of last maternal use, and rate of elimination of the drug by the newborn. Observe newborns for symptoms of neonatal opioid withdrawal syndrome and manage accordingly [see WARNINGS].
Labor or Delivery
Opioids cross the placenta and may produce respiratory depression and psychophysiologic effects in neonates. An opioid antagonist, such as naloxone, must be available for reversal of opioid-induced respiratory depression in the neonate. Hydrocodone Bitartrate and Acetaminophen Tablets are not recommended for use in pregnant women during or immediately prior to labor, when other analgesic techniques are more appropriate. Opioid analgesics, including Hydrocodone Bitartrate and Acetaminophen Tablets, can prolong labor through actions which temporarily reduce the strength, duration, and frequency of uterine contractions. However, this effect is not consistent and may be offset by an increased rate of cervical dilation, which tends to shorten labor. Monitor neonates exposed to opioid analgesics during labor for signs of excess sedation and respiratory depression.
Nursing Mothers
Hydrocodone is present in human milk.
The developmental and health benefits of breastfeeding should be considered along with the mother’s clinical need for Hydrocodone Bitartrate and Acetaminophen Tablets and any potential adverse effects on the breastfed infant from Hydrocodone Bitartrate and Acetaminophen Tablets or from the underlying maternal condition.
Infants exposed to Hydrocodone Bitartrate and Acetaminophen Tablets through breast milk should be monitored for excess sedation and respiratory depression. Withdrawal symptoms can occur in breastfed infants when maternal administration of an opioid analgesic is stopped, or when breast-feeding is stopped.
Pediatric Use
Safety and effectiveness of Hydrocodone Bitartrate and Acetaminophen Tablets in pediatric patients have not been established.
Geriatric Use
Elderly patients (aged 65 years or older) may have increased sensitivity to Hydrocodone Bitartrate and Acetaminophen Tablets. In general, use caution when selecting a dosage for an elderly patient, usually starting at the low end of the dosing range, reflecting the greater frequency of decreased hepatic, renal, or cardiac function and of concomitant disease or other drug therapy.
Respiratory depression is the chief risk for elderly patients treated with opioids, and has occurred after large initial doses were administered to patients who were not opioid-tolerant or when opioids were co-administered with other agents that depress respiration. Titrate the dosage of Hydrocodone Bitartrate and Acetaminophen Tablets slowly in geriatric patients and follow closely for signs of central nervous system and respiratory depression [see WARNINGS].
Hydrocodone and acetaminophen are known to be substantially excreted by the kidney, and the risk of adverse reactions to this drug may be greater in patients with impaired renal function. Because elderly patients are more likely to have decreased renal function, care should be taken in dose selection, and it may be useful to monitor renal function.
Hepatic Impairment
Patients with hepatic impairment may have higher plasma hydrocodone concentrations than those with normal function. Use a low initial dose of Hydrocodone Bitartrate and Acetaminophen Tablets in patients with hepatic impairment and follow closely for adverse events such as respiratory depression and sedation.
Renal Impairment
Patients with renal impairment may have higher plasma hydrocodone concentrations than those with normal function. Use a low initial dose Hydrocodone Bitartrate and Acetaminophen Tablets in patients with renal impairment and follow closely for adverse events such as respiratory depression and sedation.
Adverse Reactions
The following adverse reactions have been identified during post approval use of Hydrocodone Bitartrate and Acetaminophen Tablets. Because these reactions are reported voluntarily from a population of uncertain size, it is not always possible to reliably estimate their frequency or establish a causal relationship to drug exposure.
The most frequently reported adverse reactions are light-headedness, dizziness, sedation, nausea and vomiting.
Other adverse reactions include:
Central Nervous System - Drowsiness, mental clouding, lethargy, impairment of mental and physical performance, anxiety, fear, dysphoria, psychological dependence, mood changes.
Gastrointestinal System - Constipation.
Genitourinary System - Ureteral spasm, spasm of vesical sphincters, and urinary retention.
Special Senses - Cases of Hearing impairment, or permanent loss have been reported predominately in patients with chronic overdose.
Dermatological - Skin rash, pruritus, Stevens-Johnson syndrome, toxic epidermal necrolysis, allergic reactions.
Hematological - Thrombocytopenia, agranulocytosis.
Serotonin syndrome: Cases of serotonin syndrome, a potentially life-threatening condition, have been reported during concomitant use of opioids with serotonergic drugs.
• Adrenal insufficiency: Cases of adrenal insufficiency have been reported with opioid use, more often following greater than one month of use.• Anaphylaxis: Anaphylaxis has been reported with ingredients contained in Hydrocodone Bitartrate and Acetaminophen Tablets.• Androgen deficiency: Cases of androgen deficiency have occurred with chronic use ofopioids [see CLINICAL PHARMACOLOGY].
Controlled Substance
Hydrocodone Bitartrate and Acetaminophen Tablets contain hydrocodone, a Schedule II controlled substance.
Abuse
Hydrocodone Bitartrate and Acetaminophen Tablets contain hydrocodone, a substance with a high potential for abuse similar to other opioids including fentanyl, hydrocodone, hydromorphone, methadone, morphine, oxycodone, oxymorphone, and tapentadol can be abused and is subject to misuse, addiction, and criminal diversion [see WARNINGS].
All patients treated with opioids require careful monitoring for signs of abuse and addiction, because use of opioid analgesic products carries the risk of addiction even under appropriate medical use.
Prescription drug abuse is the intentional non-therapeutic use of a prescription drug, even once, for its rewarding psychological or physiological effects.
Drug addiction is a cluster of behavioral, cognitive, and physiological phenomena that develop after repeated substance use and includes a strong desire to take the drug, difficulties in controlling its use, persisting in its use despite harmful consequences, a higher priority given to drug use than to other activities and obligations, increased tolerance, and sometimes a physical withdrawal.
"Drug-seeking" behavior is very common in persons with substance use disorders. Drug-seeking tactics include emergency calls or visits near the end of office hours, refusal to undergo appropriate examination, testing, or referral, repeated "loss" of prescriptions, tampering with prescriptions, and reluctance to provide prior medical records or contact information for other treating healthcare provider(s). "Doctor shopping" (visiting multiple prescribers to obtain additional prescriptions) is common among drug abusers and people suffering from untreated addiction. Preoccupation with achieving adequate pain relief can be appropriate behavior in a patient with poor pain control.
Abuse and addiction are separate and distinct from physical dependence and tolerance. Healthcare providers should be aware that addiction may not be accompanied by concurrent tolerance and symptoms of physical dependence in all addicts. In addition, abuse of opioids can occur in the absence of true addiction.
Hydrocodone Bitartrate and Acetaminophen Tablets, like other opioids, can be diverted for non-medical use into illicit channels of distribution. Careful record-keeping of prescribing information, including quantity, frequency, and renewal requests, as required by state and federal law, is strongly advised.
Proper assessment of the patient, proper prescribing practices, periodic re-evaluation of therapy, and proper dispensing and storage are appropriate measures that help to limit abuse of opioid drugs.
Risks Specific to Abuse of Hydrocodone Bitartrate and Acetaminophen Tablets
Hydrocodone Bitartrate and Acetaminophen Tablets are for oral use only. Hydrocodone Bitartrate and Acetaminophen Tablets pose a risk of overdose and death. The risk is increased with concurrent abuse of Hydrocodone Bitartrate and Acetaminophen Tablets with alcohol and other central nervous system depressants.
Parenteral drug abuse is commonly associated with transmission of infectious diseases such as hepatitis and HIV.
Dependence
Both tolerance and physical dependence can develop during chronic opioid therapy. Tolerance is the need for increasing doses of opioids to maintain a defined effect such as analgesia (in the absence of disease progression or other external factors). Tolerance may occur to both the desired and undesired effects of drugs, and may develop at different rates for different effects.
Physical dependence results in withdrawal symptoms after abrupt discontinuation or a significant dosage reduction of a drug. Withdrawal also may be precipitated through the administration of drugs with opioid antagonist activity (e.g., naloxone, nalmefene), mixed agonist/antagonist analgesics (e.g., pentazocine, butorphanol, nalbuphine), or partial agonists (e.g., buprenorphine). Physical dependence may not occur to a clinically significant degree until after several days to weeks of continued opioid usage.
Hydrocodone Bitartrate and Acetaminophen Tablets should not be abruptly discontinued in a physically dependent patient [see DOSAGE AND ADMINISTRATION]. If Hydrocodone Bitartrate and Acetaminophen Tablets are abruptly discontinued in a physically dependent patient, a withdrawal syndrome may occur. Some or all of the following can characterize this syndrome: restlessness, lacrimation, rhinorrhea, yawning, perspiration, chills, myalgia, and mydriasis. Other signs and symptoms also may develop, including irritability, anxiety, backache, joint pain, weakness, abdominal cramps, insomnia, nausea, anorexia, vomiting, diarrhea, or increased blood pressure, respiratory rate, or heart rate.
Infants born to mothers physically dependent on opioids will also be physically dependent and may exhibit respiratory difficulties and withdrawal signs [see PRECAUTIONS; Pregnancy].
Overdosage
Following an acute overdosage, toxicity may result from hydrocodone or acetaminophen.
Clinical Presentation
Acute overdosage with Hydrocodone Bitartrate and Acetaminophen Tablets can be manifested by respiratory depression, somnolence progressing to stupor or coma, skeletal muscle flaccidity, cold and clammy skin, constricted pupils, and, in some cases, pulmonary edema, bradycardia, hypotension, partial or complete airway obstruction, atypical snoring, and death. Marked mydriasis rather than miosis may be seen with hypoxia in overdose situations.
Acetaminophen
Dose-dependent, potentially fatal hepatic necrosis is the most serious adverse effect of acetaminophen overdosage. Renal tubular necrosis, hypoglycemic coma and coagulation defects may also occur.
Early symptoms following a potentially hepatotoxic overdose may include: nausea, vomiting, diaphoresis and general malaise. Clinical and laboratory evidence of hepatic toxicity may not be apparent until 48 to 72 hours post-ingestion.
Treatment of Overdose
Hydrocodone
In case of overdose, priorities are the re-establishment of a patent and protected airway and institution of assisted or controlled ventilation, if needed. Employ other supportive measures (including oxygen and vasopressors) in the management of circulatory shock and pulmonary edema as indicated. Cardiac arrest or arrhythmias will require advanced life-support techniques.
The opioid antagonists, naloxone or nalmefene, are specific antidotes to respiratory depression resulting from opioid overdose. For clinically significant respiratory or circulatory depression secondary to Hydrocodone Bitartrate and Acetaminophen Tablets overdose, administer an opioid antagonist. Opioid antagonists should not be administered in the absence of clinically significant respiratory or circulatory depression secondary to Hydrocodone Bitartrate and Acetaminophen Tablets overdose.
Because the duration of opioid reversal is expected to be less than the duration of action of hydrocodone in Hydrocodone Bitartrate and Acetaminophen Tablets, carefully monitor the patient until spontaneous respiration is reliably reestablished. If the response to an opioid antagonist is suboptimal or only brief in nature, administer additional antagonist as directed by the product’s prescribing information.
In an individual physically dependent on opioids, administration of the recommended usual dosage of the antagonist will precipitate an acute withdrawal syndrome. The severity of the withdrawal symptoms experienced will depend on the degree of physical dependence and the dose of the antagonist administered. If a decision is made to treat serious respiratory depression in the physically dependent patient, administration of the antagonist should be initiated with care and by titration with smaller than usual doses of the antagonist.
Acetaminophen
Gastric decontamination with activated charcoal should be administered just prior to N-acetylcysteine
(NAC) to decrease systemic absorption if acetaminophen ingestion is known or suspected to have occurred within a few hours of presentation. Serum acetaminophen levels should be obtained immediately if the patient presents 4 hours or more after ingestion to assess potential risk of hepatotoxicity; acetaminophen levels drawn less than 4 hours post-ingestion may be misleading. To obtain the best possible outcome, NAC should be administered as soon as possible where impending or evolving liver injury is suspected. Intravenous NAC may be administered when circumstances preclude oral administration.
Vigorous supportive therapy is required in severe intoxication. Procedures to limit the continuing absorption of the drug must be readily performed since the hepatic injury is dose dependent and occurs early in the course of intoxication.
Dosage And Administration
Important Dosage and Administration Instructions
Use the lowest effective dosage for the shortest duration consistent with individual patient treatment goals [see WARNINGS].
Initiate the dosing regimen for each patient individually, taking into account the patient’s severity of pain, patient response, prior analgesic treatment experience, and risk factors for addiction, abuse, and misuse [see WARNINGS].
Follow patients closely for respiratory depression, especially within the first 24-72 hours of initiating therapy and following dosage increases with Hydrocodone Bitartrate and Acetaminophen Tablets and adjust the dosage accordingly [see WARNINGS].
Initial Dosage
Initiating Treatment with Hydrocodone Bitartrate and Acetaminophen Tablets
LORCET® 5 mg/325 mg | The usual adult dosage is one or two tablets every four to six hours as needed for pain. The total daily dosage should not exceed 8 tablets. |
LORCET® PLUS 7.5 mg/325 mg | The usual adult dosage is one tablet every four to six hours as needed for pain. The total daily dosage should not exceed 6 tablets. |
LORCET® HD 10 mg/325 mg | The usual adult dosage is one tablet every four to six hours as needed for pain. The total daily dosage should not exceed 6 tablets. |
Conversion from Other Opioids to Hydrocodone Bitartrate and Acetaminophen Tablets
There is inter-patient variability in the potency of opioid drugs and opioid formulations. Therefore,a conservative approach is advised when determining the total daily dosage of Hydrocodone Bitartrate and Acetaminophen Tablets. It is safer to underestimate a patient’s 24-hour Hydrocodone Bitartrate and Acetaminophen Tablets dosage than to overestimate the 24-hour Hydrocodone Bitartrate and Acetaminophen Tablets dosage and manage an adverse reaction due to overdose.
Conversion from Hydrocodone Bitartrate and Acetaminophen Tablets to Extended-Release Hydrocodone
The relative bioavailability of hydrocodone from Hydrocodone Bitartrate and Acetaminophen Tablets compared to extended-release hydrocodone products is unknown, so conversion to extended-release products must be accompanied by close observation for signs of excessive sedation and respiratory depression.
Titration and Maintenance of Therapy
Individually titrate Hydrocodone Bitartrate and Acetaminophen Tablets to a dose that provides adequate analgesia and minimizes adverse reactions. Continually reevaluate patients receiving
Hydrocodone Bitartrate and Acetaminophen Tablets to assess the maintenance of pain control and the relative incidence of adverse reactions, as well as monitoring for the development of addiction, abuse, or misuse [see WARNINGS]. Frequent communication is important among the prescriber, other members of the healthcare team, the patient, and the caregiver/family during periods of changing analgesic requirements, including initial titration.
If the level of pain increases after dosage stabilization, attempt to identify the source of increased pain before increasing the Hydrocodone Bitartrate and Acetaminophen Tablets dosage. If unacceptable opioid-related adverse reactions are observed, consider reducing the dosage. Adjust the dosage to obtain an appropriate balance between management of pain and opioidrelated adverse reactions.
Discontinuation of Hydrocodone Bitartrate and Acetaminophen Tablets
When a patient who has been taking Hydrocodone Bitartrate and Acetaminophen Tablets regularly and may be physically dependent no longer requires therapy with Hydrocodone Bitartrate and Acetaminophen Tablets, taper the dose gradually, by 25% to 50% every 2 to 4 days, while monitoring carefully for signs and symptoms of withdrawal. If the patient develops these signs or symptoms, raise the dose to the previous level and taper more slowly, either by increasing the interval between decreases, decreasing the amount of change in dose, or both. Do not abruptly discontinue Hydrocodone Bitartrate and Acetaminophen Tablets in a physically-dependent patient [see WARNINGS, DRUG ABUSE AND DEPENDENCE].
How Supplied
Product: 50090-4067
NDC: 50090-4067-0 20 TABLET in a BOTTLE
Spl Medguide
Medication Guide LORCET®LORCET® PLUS LORCET® HD | |
Hydrocodone Bitartrate and Acetaminophen (HIGH-droe-KOE-dohn by-TAR-trate/ass-eet-ah-MEE-noe-fen) Tablets, CII | |
Hydrocodone Bitartrate and Acetaminophen Tablets are:
| |
Important information about Hydrocodone Bitartrate and Acetaminophen Tablets:
| |
Do not take Hydrocodone Bitartrate and Acetaminophen Tablets if you have:
| |
Before taking Hydrocodone Bitartrate and Acetaminophen Tablets, tell your healthcare provider if you have a history of: | |
|
|
Tell your healthcare provider if you are: | |
When taking Hydrocodone Bitartrate and Acetaminophen Tablets:
| |
While taking Hydrocodone Bitartrate and Acetaminophen Tablets DO NOT:
| |
The possible side effects of Hydrocodone Bitartrate and Acetaminophen Tablets:
Get emergency medical help if you have: These are not all the possible side effects of Hydrocodone Bitartrate and Acetaminophen Tablets. Call your doctor for medical advice about side effects. You may report side effects to FDA at 1-800-FDA-1088. For more information go to dailymed.nlm.nih.gov Distributed by: Mayne Pharma Greenville, NC 27834 www.sunpharma.com or call 1-800-406-7984 | |
This Medication Guide has been approved by the U.S. Food and Drug Administration.
Rev. 12/2016
Storage
Dispense in a tight, light-resistant container as defined in the USP with a child-resistant closure. Store at 20° - 25°C (68° - 77°F). (See USP for Controlled Room Temperature).
* Please review the disclaimer below.
