Product Images Pradaxa

View Photos of Packaging, Labels & Appearance

Product Label Images

The following 9 images provide visual information about the product associated with Pradaxa NDC 50090-4480 by A-s Medication Solutions, such as packaging, labeling, and the appearance of the drug itself. This resource could be helpful for medical professionals, pharmacists, and patients seeking to verify medication information and ensure they have the correct product.

Label Image - lbl500904480

Label Image - lbl500904480

pradaxa 01

pradaxa 01

The text seems to be a table showing various patient subgroups and their characteristics in a study comparing the safety of the drug PRADAXA 150 to warfarin. The data includes counts, percentages, and hazard ratios for major bleeding events on treatment + 2 days in the safety set. However, it is difficult to interpret the data without additional context and headers for each column.*

pradaxa 02

pradaxa 02

pradaxa 03

pradaxa 03

This appears to be a graph showing the aPTT (activated partial thromboplastin time) time course with PRADAXA dosage options (150 mg BID for patients with a CrCl > 30 mL/min and 75 mg BID for patients with a CrCl € 30 mL/min). Without additional context, it is not possible to provide further detail.*

pradaxa 04

pradaxa 04

The text appears to be a table showing the PK (pharmacokinetic) effects of various drugs, possibly obtained through testing. The first column shows interacting drugs, the second column shows time differences, and the third column shows PK fold change. The fourth column may represent confidence intervals, possibly 90% C1. The drugs shown are P-gpl inhibitors, including Dronedarone, Ketoconazale, Verapamil, and Quinicine. There is also a gpInducer drug shown, Rifampicin. The table includes various dosages and administration frequencies for each drug. The last row shows fold change relative to reference, which may be a standard used for comparison.*

pradaxa 05

pradaxa 05

This is a list of medications with their dosages, administration frequency, and the time difference of PK fold change and 90% CT. The list includes Atorvastatin, Clopidogrel, Conax, Dichofenac, Digoxin, Enoxaparin, Pantoprazole, and Ranitidine. The description provides no further context or information regarding the list.*

pradaxa 06

pradaxa 06

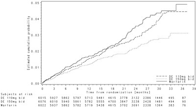
pradaxa 07

pradaxa 07

This looks like a table or data extracted from a study related to stroke prevention and the use of PRADAXA 150 and Warfarin. The table appears to contain patient demographics such as age, gender, weight, medical history, and region. It also contains data on the efficacy of the two treatments, represented by HR (hazard ratio) values for different subgroups of patients. The purpose of the study and its conclusions cannot be determined solely from this text.*

pradaxa 08

pradaxa 08

* The product label images have been analyzed using a combination of traditional computing and machine learning techniques. It should be noted that the descriptions provided may not be entirely accurate as they are experimental in nature. Use the information in this page at your own discretion and risk.