FDA Label for Sotradecol
View Indications, Usage & Precautions
- OTHER
- DESCRIPTION
- CLINICAL PHARMACOLOGY
- INDICATIONS AND USAGE
- CONTRAINDICATIONS
- WARNINGS
- ARTERIAL EMBOLISM
- GENERAL
- DRUG INTERACTIONS
- CARCINOGENESIS, MUTAGENESIS, IMPAIRMENT OF FERTILITY
- TERATOGENIC EFFECTS – PREGNANCY CATEGORY C.
- NURSING MOTHERS
- PEDIATRIC USE
- ADVERSE REACTIONS
- DOSAGE AND ADMINISTRATION
- HOW SUPPLIED
- STORAGE
- ANIMAL TOXICOLOGY
Sotradecol Product Label
The following document was submitted to the FDA by the labeler of this product A-s Medication Solutions. The document includes published materials associated whith this product with the essential scientific information about this product as well as other prescribing information. Product labels may durg indications and usage, generic names, contraindications, active ingredients, strength dosage, routes of administration, appearance, warnings, inactive ingredients, etc.
Other
1% 20 mg/2 mL (10 mg/mL) and 3% 60 mg/2 mL (30 mg/mL)
FOR INTRAVENOUS USE ONLY
Rx only
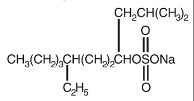
Description
Sodium tetradecyl sulfate is an anionic surfactant which occurs as a white, waxy solid. The structural formula is as follows:
C14H29NaSO4 7-Ethyl-2-methyl-4-hendecanol sulfate sodium salt MW 316.44
Sotradecol (sodium tetradecyl sulfate injection) is a sterile nonpyrogenic solution for intravenous use as a sclerosing agent.
1% 20 mg/2 mL (10 mg/mL): Each mL contains sodium tetradecyl sulfate 10 mg, benzyl alcohol 0.02 mL and dibasic sodium phosphate, anhydrous 4.0 mg in Water for Injection. pH 7.9; monobasic sodium phosphate and/or sodium hydroxide added, if needed, for pH adjustment.
3% 60 mg/2 mL (30 mg/mL): Each mL contains sodium tetradecyl sulfate 30 mg, benzyl alcohol 0.02 mL and dibasic sodium phosphate, anhydrous 9.0 mg in Water for Injection. pH 7.9; monobasic sodium phosphate and/or sodium hydroxide added, if needed, for pH adjustment.
Clinical Pharmacology
Sotradecol (sodium tetradecyl sulfate injection) is a sclerosing agent. Intravenous injection causes intima inflammation and thrombus formation. This usually occludes the injected vein. Subsequent formation of fibrous tissue results in partial or complete vein obliteration that may or may not be permanent.
Indications And Usage
Sotradecol (sodium tetradecyl sulfate injection) is indicated in the treatment of small uncomplicated varicose veins of the lower extremities that show simple dilation with competent valves. The benefit-to-risk ratio should be considered in selected patients who are great surgical risks.
Contraindications
Sotradecol (sodium tetradecyl sulfate injection) is contraindicated in previous hypersensitivity reactions to the drug; in acute superficial thrombophlebitis; valvular or deep vein incompetence; huge superficial veins with wide open communications to deeper veins; phlebitis migrans; acute cellulitis; allergic conditions; acute infections; varicosities caused by abdominal and pelvic tumors unless the tumor has been removed; bedridden patients; such uncontrolled systemic diseases as diabetes, toxic hyperthyroidism, tuberculosis, asthma, neoplasm, sepsis, blood dyscrasias and acute respiratory or skin diseases.
Warnings
Sotradecol (sodium tetradecyl sulfate injection) should only be administered by a healthcare professional experienced in venous anatomy and the diagnosis and treatment of conditions affecting the venous system and familiar with proper injection technique. Severe adverse local effects, including tissue necrosis, may occur following extravasation; therefore, extreme care in intravenous needle placement and using the minimal effective volume at each injection site are important.
Emergency resuscitation equipment should be immediately available. Allergic reactions, including fatal anaphylaxis, have been reported. As a precaution against anaphylactic shock, it is recommended that 0.5 mL of Sotradecol be injected into a varicosity, followed by observation of the patient for several hours before administration of a second or larger dose. The possibility of an anaphylactic reaction should be kept in mind, and the physician should be prepared to treat it appropriately.
Because of the danger of thrombosis extension into the deep venous system, thorough preinjection evaluation for valvular competency should be carried out and slow injections with a small amount (not over 2 mL) of the preparation should be injected into the varicosity. Deep venous patency must be determined by noninvasive testing such as duplex ultrasound. Venous sclerotherapy should not be undertaken if tests such as Trendelenberg and Perthes, and angiography show significant valvular or deep venous incompetence.
The development of deep vein thrombosis and pulmonary embolism have been reported following sclerotherapy treatment of superficial varicosities. Patients should have post-treatment follow-up of sufficient duration to assess for the development of deep vein thrombosis. Embolism may occur as long as four weeks after injection of sodium tetradecyl sulfate. Adequate post-treatment compression may decrease the incidence of deep vein thrombosis.
Arterial Embolism
Stroke, transient ischemic attack, myocardial infarction, and impaired cardiac function have been reported in close temporal relationship with STS administration. These events may be caused by air embolism when using the product foamed with room air (high nitrogen concentration) or thromboembolism. The safety and efficacy of STS foamed with room air has not been established and its use should be avoided.
General
Extreme caution must be exercised in the presence of underlying arterial disease such as marked peripheral arteriosclerosis or thromboangiitis obliterans (Buerger’s Disease).
Drug Interactions
No well-controlled studies have been performed on patients taking antiovulatory agents. The physician must use judgment and evaluate any patient taking antiovulatory drugs prior to initiating treatment with Sotradecol. (See ADVERSE REACTIONS section.)
Heparin should not be included in the same syringe as Sotradecol, since the two are incompatible.
Carcinogenesis, Mutagenesis, Impairment Of Fertility
When tested in the L5178YTK +/- mouse lymphoma assay, sodium tetradecyl sulfate did not induce a dose-related increase in the frequency of thymidine kinase-deficient mutants and, therefore, was judged to be nonmutagenic in this system. However, no long-term animal carcinogenicity studies with sodium tetradecyl sulfate have been performed.
Teratogenic Effects – Pregnancy Category C.
Animal reproduction studies have not been conducted with Sotradecol. It is also not known whether Sotradecol can cause fetal harm when administered to a pregnant woman or can affect reproduction capacity. Sotradecol should be given to a pregnant woman only if clearly needed and the benefits outweigh the risks.
Nursing Mothers
It is not known whether this drug is excreted in human milk. Because many drugs are excreted in human milk, caution should be exercised when Sotradecol is administered to a nursing woman.
Pediatric Use
Safety and effectiveness in pediatric patients have not been established.
Adverse Reactions
Local reactions consisting of pain, urticaria or ulceration may occur at the site of injection. A permanent discoloration may remain along the path of the sclerosed vein segment. Sloughing and necrosis of tissue may occur following extravasation of the drug. (See WARNINGS section.)
Allergic reactions such as hives, asthma, hay fever and anaphylactic shock have been reported. Mild systemic reactions that have been reported include headache, nausea and vomiting. (See WARNINGS section.)
At least six deaths have been reported with the use of Sotradecol. Four cases of anaphylactic shock leading to death have been reported in patients who received Sotradecol. One of these four patients reported a history of asthma, a contraindication to the administration of Sotradecol. (See WARNINGS section.)
One death has been reported in a patient who received Sotradecol and who had been receiving an antiovulatory agent. Another death (fatal pulmonary embolism) has been reported in a 36-year-old female treated with sodium tetradecyl acetate and who was not taking oral contraceptives.
Cerebrovascular accident, myocardial infarction
Dosage And Administration
Parenteral drug products should be inspected visually for particulate matter and discoloration prior to administration. Do not use if precipitated or discolored.
Sotradecol (sodium tetradecyl sulfate injection) is for intravenous use only. The strength of solution required depends on the size and degree of varicosity. In general, the 1% solution will be found most useful with the 3% solution preferred for larger varicosities. The dosage should be kept small, using 0.5 mL to 2 mL (preferably 1 mL maximum) for each injection, and the maximum single treatment should not exceed 10 mL.
How Supplied
Product: 50090-4525
NDC: 50090-4525-0 2 mL in a VIAL, MULTI-DOSE
Storage
Store at 20° to 25°C (68° to 77°F). [See USP Controlled Room Temperature.]
Animal Toxicology
The intravenous LD50 of sodium tetradecyl sulfate in mice was reported to be 90 ± 5 mg/kg.
In the rat, the acute intravenous LD50 of sodium tetradecyl sulfate was estimated to be between 72 mg/kg and 108 mg/kg.
Purified sodium tetradecyl sulfate was found to have an LD50 of 2 g/kg when administered orally by stomach tube as a 25% aqueous solution to rats. In rats given 0.15 g/kg in drinking water for 30 days, no appreciable toxicity was seen, although some growth inhibition was discernible.
Manufactured for:
Mylan Institutional LLC
Rockford, IL 61103 U.S.A.
Manufactured by:
Mylan Institutional
Galway, Ireland
Revised: 1/2019
MI:SOTRIJ:R6
0521L111
®Sotradecol is a registered trademark of Mylan Pharma Group Limited
* Please review the disclaimer below.
