FDA Label for Trulicity

View Indications, Usage & Precautions

Trulicity Product Label

The following document was submitted to the FDA by the labeler of this product A-s Medication Solutions. The document includes published materials associated whith this product with the essential scientific information about this product as well as other prescribing information. Product labels may durg indications and usage, generic names, contraindications, active ingredients, strength dosage, routes of administration, appearance, warnings, inactive ingredients, etc.

Warning: Risk Of Thyroid C-Cell Tumors



  • In male and female rats, dulaglutide causes a dose-related and treatment-duration-dependent increase in the incidence of thyroid C-cell tumors (adenomas and carcinomas) after lifetime exposure. It is unknown whether TRULICITY causes thyroid C-cell tumors, including medullary thyroid carcinoma (MTC), in humans as human relevance of dulaglutide-induced rodent thyroid C-cell tumors has not been determined [see Warnings and Precautions (5.1), and Nonclinical Toxicology (13.1)].
  • TRULICITY is contraindicated in patients with a personal or family history of MTC and in patients with Multiple Endocrine Neoplasia syndrome type 2 (MEN 2). Counsel patients regarding the potential risk of MTC with use of TRULICITY and inform them of symptoms of thyroid tumors (e.g., mass in the neck, dysphagia, dyspnea, persistent hoarseness). Routine monitoring of serum calcitonin or using thyroid ultrasound is of uncertain value for early detection of MTC in patients treated with TRULICITY [see Contraindications (4) and Warnings and Precautions (5.1)].

1 Indications And Usage



TRULICITY® is indicated

  • as an adjunct to diet and exercise to improve glycemic control in adults with type 2 diabetes mellitus.
  • to reduce the risk of major adverse cardiovascular events (cardiovascular death, non-fatal myocardial infarction, or non-fatal stroke) in adults with type 2 diabetes mellitus who have established cardiovascular disease or multiple cardiovascular risk factors.

Other



Limitations of Use

  • TRULICITY has not been studied in patients with a history of pancreatitis [see Warnings and Precautions (5.2)]. Consider other antidiabetic therapies in patients with a history of pancreatitis.
  • TRULICITY should not be used in patients with type 1 diabetes mellitus.
  • TRULICITY has not been studied in patients with severe gastrointestinal disease, including severe gastroparesis and is therefore not recommended in these patients [see Warnings and Precautions (5.6)].
  • Pool of Placebo-controlled Trials for TRULICITY 0.75 mg and 1.5 mg Doses

    The data in Table 1 are derived from a pool of placebo-controlled trials and include 1670 patients exposed to TRULICITY with a mean duration of exposure of 23.8 weeks [see Clinical Studies (14)]. The mean age of patients was 56 years, 1% were 75 years or older and 53% were male. The population was 69% White, 7% Black or African American, 13% Asian; 30% were of Hispanic or Latino ethnicity. At baseline, the population had diabetes for an average of 8 years, a mean HbA1c of 8.0%, and 2.5% of the population reported retinopathy. Baseline estimated renal function was normal or mildly impaired (eGFR ≥60 mL/min/1.73 m2) in 96%.

    Table 1 shows adverse reactions, excluding hypoglycemia, occurring in ≥5% of TRULICITY treated patients and more commonly than placebo in a pool of placebo-controlled trials.

    Table 1: Adverse Reactions in Pool of Placebo-Controlled Trials Occurring in ≥5% of TRULICITY-Treated Patients

    a Includes diarrhea, fecal volume increased, frequent bowel movements.

    b Includes retching, vomiting, vomiting projectile.

    c Includes abdominal discomfort, abdominal pain, abdominal pain lower, abdominal pain upper, abdominal tenderness, gastrointestinal pain.

    d Includes fatigue, asthenia, malaise.

    Note: Percentages reflect the number of patients that reported at least 1 treatment-emergent occurrence of the adverse reaction.

    Adverse ReactionPlacebo
    (N=568)
    %
    TRULICITY 0.75 mg
    (N=836)
    %
    TRULICITY 1.5 mg
    (N=834)
    %
    Nausea 5.3 12.4 21.1
    Diarrheaa6.7 8.9 12.6
    Vomitingb2.3 6.0 12.7
    Abdominal Painc4.9 6.5 9.4
    Decreased Appetite 1.6 4.9 8.6
    Dyspepsia 2.3 4.1 5.8
    Fatigued2.6 4.2 5.6

    Gastrointestinal Adverse Reactions

    In the pool of placebo-controlled trials, gastrointestinal adverse reactions occurred more frequently among patients receiving TRULICITY than placebo (placebo 21.3%, 0.75 mg 31.6%, 1.5 mg 41.0%). More patients receiving TRULICITY 0.75 mg (1.3%) and TRULICITY 1.5 mg (3.5%) discontinued treatment due to gastrointestinal adverse reactions than patients receiving placebo (0.2%). Investigators graded the severity of gastrointestinal adverse reactions occurring on 0.75 mg and 1.5 mg of TRULICITY as “mild” in 58% and 48% of cases, respectively, “moderate” in 35% and 42% of cases, respectively, or “severe” in 7% and 11% of cases, respectively.

    The following adverse reactions were reported more frequently in TRULICITY-treated patients than placebo (frequencies listed, respectively, as: placebo; 0.75 mg; 1.5 mg): constipation (0.7%, 3.9%, 3.7%), flatulence (1.4%, 1.4%, 3.4%), abdominal distension (0.7%, 2.9%, 2.3%), gastroesophageal reflux disease (0.5%, 1.7%, 2.0%), and eructation (0.2%, 0.6%, 1.6%).

    TRULICITY 3 mg and 4.5 mg Doses

    Table 2 shows adverse reactions occurring ≥5% in any of the treatment groups through 36 weeks in a clinical trial with 1842 patients treated with Trulicity 1.5 mg, 3 mg, or 4.5 mg once weekly as an add-on to metformin. The adverse reaction profile is consistent with previous clinical trials.

    Table 2: Adverse Reactions Occurring in ≥5% of Patients Receiving TRULICITY 1.5 mg, 3 mg, or 4.5 mg in a Clinical Trial through 36 Weeksa

    a Percentages reflect the number of patients that reported at least 1 treatment-emergent occurrence of the adverse reaction.

    Adverse ReactionTRULICITY 1.5 mg
    (N=612)
    %
    TRULICITY 3 mg
    (N=616)
    %
    TRULICITY 4.5 mg
    (N=614)
    %
    Nausea 13.4 15.6 16.4
    Diarrhea 7.0 11.4 10.7
    Vomiting 5.6 8.3 9.3
    Dyspepsia 2.8 5.0 2.6

    Other Adverse Reactions

    Hypoglycemia

    Table 3 summarizes the incidence of hypoglycemia in the placebo-controlled clinical studies: episodes with a glucose level <54 mg/dL with or without symptoms, and severe hypoglycemia, defined as an episode requiring the assistance of another person to actively administer carbohydrate, glucagon, or other resuscitative actions.

    Table 3: Incidence (%) of Hypoglycemia in Placebo-Controlled Trials
    PlaceboTRULICITY 0.75 mgTRULICITY 1.5 mg
    Add-on to Metformin
          (26 weeks)N=177N=302N=304
         Hypoglycemia with a glucose level <54 mg/dL 0 0.3 0.7
         Severe hypoglycemia 0 0 0
    Add-on to Metformin + Pioglitazone
          (26 weeks)N=141N=280N=279
         Hypoglycemia with a glucose level <54 mg/dL 1.4 2.1 0
         Severe hypoglycemia 0 0 0
    Add-on to Glimepiride
          (24 weeks)N=60- N=239
         Hypoglycemia with a glucose level <54 mg/dL 0 - 3.3
         Severe hypoglycemia 0 - 0
    In Combination with Insulin Glargine ± Metformin
          (28 weeks)N=150-N=150
         Hypoglycemia with a glucose level <54 mg/dL 9.3 - 14.7
         Severe hypoglycemia 0 - 0.7
    Add-on to SGLT2i ± Metformin
          (24 weeks)N=140N=141N=142
         Hypoglycemia with a glucose level <54 mg/dL 0.7 0.7 0.7
         Severe hypoglycemia 0 0.7 0

    Hypoglycemia was more frequent when TRULICITY was used in combination with a sulfonylurea or insulin than when used with non-secretagogues. In a 78-week clinical trial, hypoglycemia (glucose level <54 mg/dL) occurred in 20% and 21% of patients when TRULICITY 0.75 mg and 1.5 mg, respectively, were co-administered with a sulfonylurea. Severe hypoglycemia occurred in 0% and 0.7% of patients when TRULICITY 0.75 mg and 1.5 mg, respectively, were co-administered with a sulfonylurea. In a 52-week clinical trial, hypoglycemia (glucose level <54 mg/dL) occurred in 77% and 69% of patients when TRULICITY 0.75 mg and 1.5 mg, respectively, were co-administered with prandial insulin. Severe hypoglycemia occurred in 2.7% and 3.4% of patients when TRULICITY 0.75 mg and 1.5 mg, respectively, were co-administered with prandial insulin. Refer to Table 3 for the incidence of hypoglycemia in patients treated in combination with basal insulin glargine.

    In the clinical trial with patients on TRULICITY 1.5 mg, TRULICITY 3 mg, or TRULICITY 4.5 mg once weekly, as add-on to metformin, incidences of hypoglycemia (glucose level <54 mg/dL) through 36 weeks were 1.1%, 0.3%, and 1.1%, respectively, and incidences of severe hypoglycemia were 0.2%, 0%, and 0.2%, respectively.

    Cholelithiasis and Cholecystitis

    In a cardiovascular outcomes trial with a median follow up of 5.4 years, cholelithiasis occurred at a rate of 0.62/100 patient-years in TRULICITY-treated patients and 0.56/100 patient-years in placebo-treated patients after adjusting for prior cholecystectomy. Serious events of acute cholecystitis were reported in 0.5% and 0.3% of patients on TRULICITY and placebo respectively.

    Heart Rate Increase and Tachycardia-Related Adverse Reactions

    TRULICITY 0.75 mg and 1.5 mg resulted in a mean increase in heart rate (HR) of 2-4 beats per minute (bpm).

    Adverse reactions of sinus tachycardia were reported more frequently in patients exposed to TRULICITY. Sinus tachycardia was reported in 3.0%, 2.8%, and 5.6% of patients treated with placebo, TRULICITY 0.75 mg and TRULICITY 1.5 mg, respectively. Persistence of sinus tachycardia (reported at more than 2 visits) was reported in 0.2%, 0.4% and 1.6% of patients treated with placebo, TRULICITY 0.75 mg and TRULICITY 1.5 mg, respectively. Episodes of sinus tachycardia, associated with a concomitant increase from baseline in heart rate of ≥15 beats per minute, were reported in 0.7%, 1.3% and 2.2% of patients treated with placebo, TRULICITY 0.75 mg and TRULICITY 1.5 mg, respectively.

    Hypersensitivity

    Systemic hypersensitivity adverse reactions, sometimes severe (e.g., severe urticaria, systemic rash, facial edema, lip swelling), occurred in 0.5% of patients on TRULICITY in clinical studies.

    Injection-site Reactions

    In the placebo-controlled studies, injection-site reactions (e.g., injection-site rash, erythema) were reported in 0.5% of TRULICITY-treated patients and in 0.0% of placebo-treated patients.

    PR Interval Prolongation and Adverse Reactions of First-Degree Atrioventricular (AV) Block

    A mean increase from baseline in PR interval of 2-3 milliseconds was observed in TRULICITY-treated patients in contrast to a mean decrease of 0.9 milliseconds in placebo-treated patients. The adverse reaction of first-degree AV block occurred more frequently in patients treated with TRULICITY than placebo (0.9%, 1.7% and 2.3% for placebo, TRULICITY 0.75 mg and TRULICITY 1.5 mg, respectively). On electrocardiograms, a PR interval increase to at least 220 milliseconds was observed in 0.7%, 2.5% and 3.2% of patients treated with placebo, TRULICITY 0.75 mg and TRULICITY 1.5 mg, respectively.

    Amylase and Lipase Increase

    Patients exposed to TRULICITY had mean increases from baseline in lipase and/or pancreatic amylase of 14% to 20%, while placebo-treated patients had mean increases of up to 3%.

    Risk Summary

    Limited data with TRULICITY in pregnant women are not sufficient to determine a drug-associated risk for major birth defects and miscarriage. There are clinical considerations regarding the risks of poorly controlled diabetes in pregnancy [see Clinical Considerations]. Based on animal reproduction studies, there may be risks to the fetus from exposure to dulaglutide during pregnancy. TRULICITY should be used during pregnancy only if the potential benefit justifies the potential risk to the fetus.

    In pregnant rats administered dulaglutide during organogenesis, early embryonic deaths, fetal growth reductions, and fetal abnormalities occurred at systemic exposures at least 6-times human exposure at the maximum recommended human dose (MRHD) of 4.5 mg/week. In pregnant rabbits administered dulaglutide during organogenesis, major fetal abnormalities occurred at 5-times human exposure at the MRHD. Adverse embryo/fetal effects in animals occurred in association with decreased maternal weight and food consumption attributed to the pharmacology of dulaglutide [see Data].

    The estimated background risk of major birth defects is 6–10% in women with pre-gestational diabetes with an HbA1c >7% and has been reported to be as high as 20–25% in women with an HbA1c >10%. The estimated background risk of miscarriage for the indicated population is unknown. In the U.S. general population, the estimated background risk of major birth defects and miscarriage in clinically recognized pregnancies is 2–4% and 15–20%, respectively.

    Clinical Considerations

    Disease-associated maternal and/or embryo/fetal risk

    Poorly controlled diabetes in pregnancy increases the maternal risk for diabetic ketoacidosis, pre-eclampsia, spontaneous abortions, preterm delivery and delivery complications. Poorly controlled diabetes increases the fetal risk for major birth defects, stillbirth, and macrosomia-related morbidity.

    Data

    Animal Data

    Pregnant rats given subcutaneous doses of 0.49, 1.63, or 4.89 mg/kg dulaglutide every 3 days during organogenesis had systemic exposures 2-, 6-, and 18-times human exposure at the maximum recommended human dose (MRHD) of 4.5 mg/week, respectively, based on plasma area under the time-concentration curve (AUC) comparison. Reduced fetal weights associated with decreased maternal food intake and decreased weight gain attributed to the pharmacology of dulaglutide were observed at ≥1.63 mg/kg. Irregular skeletal ossifications and increases in post-implantation loss also were observed at 4.89 mg/kg.

    In pregnant rabbits given subcutaneous doses of 0.04, 0.12, or 0.41 mg/kg dulaglutide every 3 days during organogenesis, systemic exposures in pregnant rabbits were 0.5-, 2-, and 5-times human exposure at the MRHD, based on plasma AUC comparison. Fetal visceral malformation of lung lobular agenesis and skeletal malformations of the vertebrae and/or ribs were observed in conjunction with decreased maternal food intake and decreased weight gain attributed to the pharmacology of dulaglutide at 0.41 mg/kg.

    In a prenatal-postnatal study in F0 maternal rats given subcutaneous doses of 0.2, 0.49, or 1.63 mg/kg every third day from implantation through lactation, systemic exposures in pregnant rats were 1-, 2-, and 7-times human exposure at the MRHD, based on plasma AUC comparison. F1 pups from F0 maternal rats given 1.63 mg/kg dulaglutide had statistically significantly lower mean body weight from birth through postnatal day 63 for males and postnatal day 84 for females. F1 offspring from F0 maternal rats receiving 1.63 mg/kg dulaglutide had decreased forelimb and hindlimb grip strength and males had delayed balano-preputial separation. Females had decreased startle response. These physical findings may relate to the decreased size of the offspring relative to controls as they appeared at early postnatal assessments but were not observed at a later assessment. F1 female offspring of the F0 maternal rats given 1.63 mg/kg of dulaglutide had a longer mean escape time and a higher mean number of errors relative to concurrent control during 1 of 2 trials in the memory evaluation portion of the Biel water maze. These findings occurred in conjunction with decreased F0 maternal food intake and decreased weight gain attributed to the pharmacologic activity at 1.63 mg/kg. The human relevance of these memory deficits in the F1 female rats is not known.

    Risk Summary

    There are no data on the presence of dulaglutide in human milk, the effects on the breastfed infant, or the effects on milk production. The presence of dulaglutide in milk of treated lactating animals was not determined. The developmental and health benefits of breastfeeding should be considered along with the mother's clinical need for TRULICITY and any potential adverse effects on the breastfed infant from TRULICITY or from the underlying maternal condition.

    Fasting and Postprandial Glucose

    In a clinical pharmacology study in patients with type 2 diabetes mellitus, treatment with once weekly TRULICITY resulted in a reduction of fasting and 2-hour PPG concentrations, and postprandial serum glucose incremental AUC, when compared to placebo (-25.6 mg/dL, -59.5 mg/dL, and -197 mg*h/dL, respectively); these effects were sustained after 6 weeks of dosing with the 1.5 mg dose.

    First- and Second-Phase Insulin Secretion 

    Both first- and second-phase insulin secretion were increased in patients with type 2 diabetes treated with TRULICITY compared with placebo.

    Insulin and Glucagon Secretion

    TRULICITY stimulates glucose-dependent insulin secretion and reduces glucagon secretion. Treatment with TRULICITY 0.75 mg and 1.5 mg once weekly increased fasting insulin from baseline at Week 26 by 35.38 and 17.50 pmol/L, respectively, and C-peptide concentration by 0.09 and 0.07 nmol/L, respectively, in a monotherapy study. In the same study, fasting glucagon concentration was reduced by 1.71 and 2.05 pmol/L from baseline with TRULICITY 0.75 mg and 1.5 mg, respectively.

    Gastric Motility

    Dulaglutide causes a delay of gastric emptying. The delay in gastric emptying is dose-dependent but is attenuated with adequate dose escalation to higher doses of TRULICITY. The delay is largest after the first dose and diminishes with subsequent doses.

    Cardiac Electrophysiology (QTc)

    The effect of dulaglutide on cardiac repolarization was tested in a thorough QTc study. Dulaglutide did not produce QTc prolongation at doses of 4 and 7 mg. The maximum recommended dose is 4.5 mg once weekly.

    Absorption – The mean absolute bioavailability of dulaglutide following subcutaneous administration of single 0.75 mg and 1.5 mg doses was 65% and 47%, respectively. Absolute subcutaneous bioavailability for 3 mg and 4.5 mg doses were estimated to be similar to 1.5 mg although this has not been specifically studied. Dulaglutide concentrations increased approximately proportional to dose from 0.75 mg to 4.5 mg.

    Distribution – Apparent population mean central volume of distribution was 3.09 L and the apparent population mean peripheral volume of distribution was 5.98 L.

    Metabolism – Dulaglutide is presumed to be degraded into its component amino acids by general protein catabolism pathways.

    Elimination –The apparent population mean clearance of dulaglutide was 0.142 L/h. The elimination half-life of dulaglutide was approximately 5 days.

    Specific Populations

    The intrinsic factors of age, gender, race, ethnicity, body weight, or renal or hepatic impairment do not have a clinically relevant effect on the PK of dulaglutide as shown in Figure 1.

    Abbreviations: AUC = area under the time-concentration curve; CI = confidence interval; Cmax = maximum concentration; ESRD = end-stage renal disease; PK = pharmacokinetics.

    Note: Reference values for weight, age, gender, and race comparisons are 93 kg, 56 years old, male, and white, respectively; reference groups for renal and hepatic impairment data are subjects with normal renal and hepatic function from the respective clinical pharmacology studies. The weight values shown in the plot (70 and 120 kg) are the 10th and 90th percentiles of weight in the PK population.

    Figure 1: Impact of intrinsic factors on dulaglutide pharmacokinetics.

    Renal – Dulaglutide systemic exposure was increased by 20, 28, 14 and 12% for mild, moderate, severe, and ESRD renal impairment sub-groups, respectively, compared to subjects with normal renal function. The corresponding values for increase in Cmax were 13, 23, 20 and 11%, respectively (Figure 1). Additionally, in a 52 week clinical study in patients with type 2 diabetes and moderate to severe renal impairment, the PK behavior of TRULICITY 0.75 mg and 1.5 mg once weekly was similar to that demonstrated in previous clinical studies [see Warning and Precautions (5.5), Use in Specific Population (8.6)].

    Hepatic – Dulaglutide systemic exposure decreased by 23, 33 and 21% for mild, moderate and severe hepatic impairment groups, respectively, compared to subjects with normal hepatic function, and Cmax was decreased by a similar magnitude (Figure 1) [see Use in Specific Population (8.7)].

    Drug Interactions

    The potential effect of co-administered medications on the PK of dulaglutide 1.5 mg and vice versa was studied in several single- and multiple-dose studies in healthy subjects, patients with type 2 diabetes mellitus, and patients with hypertension.

    Potential for Dulaglutide to Influence the Pharmacokinetics of Other Drugs

    Dulaglutide slows gastric emptying and, as a result, may reduce the extent and rate of absorption of orally co-administered medications. In clinical pharmacology studies, dulaglutide at a dose of 1.5 mg did not affect the absorption of the tested orally administered medications to any clinically relevant degree. The delay in gastric emptying is dose-dependent but is attenuated with the recommended dose escalation to higher doses of TRULICITY [see Dosage and Administration (2.1), Drug Interactions (7.1)]. The delay is largest after the first dose and diminishes with subsequent doses. PK measures indicating the magnitude of these interactions are presented in Figure 2.

    Abbreviations: AUC = area under the time-concentration curve; CI = confidence interval; Cmax = maximum concentration; PK = pharmacokinetics.

    Note: Reference group is co-administered medication given alone.

    Figure 2: Impact of dulaglutide 1.5 mg on the pharmacokinetics of co-administered medications.

    Potential for Co-administered Drugs to Influence the Pharmacokinetics of Dulaglutide

    In a clinical pharmacology study, the co-administration of a single dose of 1.5 mg dulaglutide with steady-state dose of 100 mg sitagliptin caused an increase in dulaglutide AUC and Cmax of approximately 38% and 27%, which is not considered clinically relevant.

    Monotherapy

    In a double-blind study with primary endpoint at 26 weeks, 807 patients inadequately treated with diet and exercise, or with diet and exercise and one antidiabetic agent used at submaximal dose, were randomized to TRULICITY 0.75 mg once weekly, TRULICITY 1.5 mg once weekly, or metformin 1500 to 2000 mg/day following a two-week washout. Seventy-five percent (75%) of the randomized population were treated with one antidiabetic agent at the screening visit. Most patients previously treated with an antidiabetic agent were receiving metformin (~90%) at a median dose of 1000 mg daily and approximately 10% were receiving a sulfonylurea.

    Patients had a mean age of 56 years and a mean duration of type 2 diabetes of 3 years. Forty-four percent were male. The White, Black and Asian race accounted for 74%, 7% and 8% of the population, respectively. Twenty-nine percent of the study population were from the US.

    Treatment with TRULICITY 0.75 mg and 1.5 mg once weekly resulted in reduction in HbA1c from baseline at 26-weeks (Table 4). The difference in observed effect size between TRULICITY 0.75 mg and 1.5 mg, respectively, and metformin excluded the pre-specified non-inferiority margin of 0.4%.

    Table 4: Results at Week 26 in a Trial of TRULICITY as Monotherapya

    Abbreviation: HbA1c = hemoglobin A1c.

    a Intent-to-treat population. Last observation carried forward (LOCF) was used to impute missing data. Data post-onset of rescue therapy are treated as missing. At Week 26, primary efficacy was missing for 10%, 12% and 14% of individuals randomized to TRULICITY 0.75 mg, TRULICITY 1.5 mg and metformin, respectively.

    b Least-squares mean adjusted for baseline value and other stratification factors.

    Subjects included in the analysis are a subset of the ITT population that had at least one post-baseline assessment. The primary analysis included 265 individuals in each of the treatment arms.

    26-Week Primary Time Point
    TRULICITY 0.75 mgTRULICITY 1.5 mgMetformin
    1500-2000 mg
    Intent-to-Treat (ITT) Population (N)270 269 268
    HbA1c (%) (Mean)
    Baseline 7.6 7.6 7.6
    Change from baselineb-0.7 -0.8 -0.6
    Fasting Serum Glucose (mg/dL) (Mean)
    Baseline 161 164 161
    Change from baselineb-26 -29 -24
    Body Weight (kg) (Mean)
    Baseline 91.8 92.7 92.4
    Change from baselineb-1.4 -2.3 -2.2

    Combination Therapy

    Add-on to Metformin

    In this placebo-controlled, double-blind study with primary endpoint at 52 weeks, 972 patients were randomized to placebo, TRULICITY 0.75 mg once weekly, TRULICITY 1.5 mg once weekly, or sitagliptin 100 mg/day (after 26 weeks, patients in the placebo treatment group received blinded sitagliptin 100 mg/day for the remainder of the study), all as add-on to metformin. Randomization occurred after an 11-week lead-in period to allow for a metformin titration period, followed by a 6-week glycemic stabilization period. Patients had a mean age of 54 years; mean duration of type 2 diabetes of 7 years; 48% were male; race: White, Black and Asian were 53%, 4% and 27%, respectively; and 24% of the study population were in the US.

    At the 26-week placebo-controlled time point, the HbA1c change was 0.1%, -1.0%, -1.2%, and -0.6% for placebo, TRULICITY 0.75 mg, TRULICITY 1.5 mg, and sitagliptin, respectively. The percentage of patients who achieved HbA1c <7.0% was 22%, 56%, 62% and 39% for placebo, TRULICITY 0.75 mg, TRULICITY 1.5 mg, and sitagliptin, respectively. At 26 weeks, there was a mean weight reduction of 1.4 kg, 2.7 kg, 3.0 kg, and 1.4 kg for placebo, TRULICITY 0.75 mg, TRULICITY 1.5 mg, and sitagliptin, respectively. There was a mean reduction of fasting glucose of 9 mg/dL, 35 mg/dL, 41 mg/dL, and 18 mg/dL for placebo, TRULICITY 0.75 mg, TRULICITY 1.5 mg, and sitagliptin, respectively.

    Treatment with TRULICITY 0.75 mg and 1.5 mg once weekly resulted in a statistically significant reduction in HbA1c compared to placebo (at 26 weeks) and compared to sitagliptin (at 26 and 52 weeks), all in combination with metformin (Table 5 and Figure 3).

    Table 5: Results at Week 52 of TRULICITY Compared to Sitagliptin used as Add-On to Metformina

    Abbreviations: HbA1c = hemoglobin A1c.

    a All ITT patients randomized after the dose-finding portion of the study. Last observation carried forward (LOCF) was used to impute missing data. At Week 52 primary efficacy was missing for 15%, 19%, and 20% of individuals randomized to TRULICITY 0.75 mg, TRULICITY 1.5 mg and sitagliptin, respectively.

    b Least-squares (LS) mean adjusted for baseline value and other stratification factors.

    Subjects included in the analysis are a subset of the ITT population that had at least one post-baseline assessment. The primary analysis included 276, 277, and 270 individuals randomized to TRULICITY 0.75 mg, TRULICITY 1.5 mg and sitagliptin, respectively.

    †† Multiplicity adjusted 1-sided p-value <0.001, for superiority of TRULICITY compared to sitagliptin, assessed only for HbA1c.

    ## p<0.001 TRULICITY compared to sitagliptin, assessed only for HbA1c <7.0%.

    52-Week Primary Time Point
    TRULICITY
    0.75 mg
    TRULICITY
    1.5 mg
    Sitagliptin
    100 mg
    Intent-to-Treat (ITT) Population (N)281 279 273
    HbA1c (%) (Mean)
    Baseline 8.2 8.1 8.0
    Change from baselineb-0.9 -1.1 -0.4
    Difference from sitagliptinb (95% CI) -0.5 (-0.7, -0.3)††-0.7 (-0.9, -0.5)††-
    Percentage of patients HbA1c <7.0%49##59##33
    Fasting Plasma Glucose (mg/dL) (Mean)
    Baseline 174 173 171
    Change from baselineb-30 -41 -14
    Difference from sitagliptinb (95% CI) -15 (-22, -9) -27 (-33, -20) -
    Body Weight (kg) (Mean)
    Baseline 85.5 86.5 85.8
    Change from baselineb-2.7 -3.1 -1.5
    Difference from sitagliptinb (95% CI) -1.2 (-1.8, -0.6) -1.5 (-2.1, -0.9) -
    Figure 3: Adjusted Mean HbA1c at each Time Point (ITT, MMRM) and at Week 52 (ITT, LOCF)

    TRULICITY 3 mg and 4.5 mg Add-on to Metformin

    In this parallel-arm, double-blind study with primary endpoint at 36 weeks, a total of 1842 patients were randomized 1:1:1 to TRULICITY 1.5 mg, TRULICITY 3 mg, or TRULICITY 4.5 mg once weekly, all as add-on to metformin (NCT03495102).

    Following randomization, all patients received TRULICITY 0.75 mg once weekly. The dose was increased every 4 weeks to the next higher dose until the patients reached the assigned study dose (1.5 mg, 3 mg, or 4.5 mg). Patients were to remain on the assigned study dose for the duration of the study.

    Patients had a mean age of 57.1 years; a mean duration of type 2 diabetes of 7.6 years; 51.2% were male; race: White, Black, and Asian were 85.8%, 4.5%, and 2.4%, respectively; and 27.6% of the study population was in the US.

    At 36 weeks, treatment with TRULICITY 4.5 mg resulted in a statistically significant reduction in HbA1c and in body weight compared to TRULICITY 1.5 mg (Table 6 and Figure 4).

    Table 6. Results at Week 36 of TRULICITY 1.5 mg Compared to 3 mg and 4.5 mg as Add-On to Metformina

    Abbreviations: HbA1c = hemoglobin A1c

    a Intent-to-treat population. At Week 36, primary efficacy was missing for 7%, 7%, and 6% of individuals treated with TRULICITY 1.5 mg, TRULICITY 3 mg, and TRULICITY 4.5 mg, respectively.

    b Least-squares mean adjusted for baseline value and other stratification factors. Missing data were imputed using multiple imputation.

    c Patients with missing HbA1c data at Week 36 were considered as not achieving HbA1c target.

    ^ p=0.0001 for superiority compared to TRULICITY 1.5 mg, overall type I error controlled.

    ^^ p<0.0001 for superiority compared to TRULICITY 1.5 mg, overall type I error controlled.

    36-Week Primary Time Point
    TRULICITY
    1.5 mg
    TRULICITY
    3 mg
    TRULICITY
    4.5 mg
    Intent-to-Treat (ITT) Population (N)612 616 614
    HbA1c (%) (Mean)
    Baseline 8.6 8.6 8.6
    Change from baselineb-1.5 -1.6 -1.8
    Difference from 1.5 mgb (95% CI) -0.1 (-0.2, 0.0) -0.2 (-0.4, -0.1) ^
    Percentage of patients HbA1c <7.0% c50 56 62
    Fasting Serum Glucose (mg/dL) (Mean)
    Baseline 185 184 183
    Change from baselineb-45 -46 -51
    Difference from 1.5 mgb (95% CI) - 2 (-7, 3) -6 (-11, -2)
    Body Weight (kg) (Mean)
    Baseline 95.5 96.3 95.4
    Change from baselineb-3.0 -3.8 -4.6
    Difference from 1.5 mgb (95% CI) -0.9 (-1.4, -0.4) -1.6 (-2.2, -1.1) ^^
    Figure 4: Mean HbA1c at each Time Point (ITT) and at Week 36 (ITT, MI)

    Add-on to Sulfonylurea

    In this 24-week placebo-controlled, double-blind study, 299 patients were randomized to and received placebo or once weekly TRULICITY 1.5 mg, both as add-on to glimepiride. Patients had a mean age of 58 years; mean duration of type 2 diabetes of 8 years; 44% were male; race: White, Black, and Asian were 83%, 4%, and 2%, respectively; and 24% of the study population were in the US.

    At 24 weeks, treatment with once weekly TRULICITY 1.5 mg resulted in a statistically significant reduction in HbA1c compared to placebo (Table 7).

    Table 7: Results at Week 24 of TRULICITY Compared to Placebo as Add-On to Glimepiridea

    Abbreviations: HbA1c = hemoglobin A1c.

    a Intent-to-treat population. Data post-onset of rescue therapy are treated as missing. At Week 24 primary efficacy was missing for 10% and 12% of individuals randomized to TRULICITY 1.5 mg and placebo, respectively.

    b Least-squares mean from ANCOVA adjusted for baseline value and other stratification factors. Placebo multiple imputation, with respect to the baseline values, was used to model a wash-out of the treatment effect for subjects having missing Week 24 data.

    c Patients with missing HbA1c data at Week 24 were considered as non-responders.

    †† p<0.001 for superiority of TRULICITY 1.5 mg compared to placebo, overall type I error controlled.

    24-Week Primary Time Point
    PlaceboTRULICITY
    1.5 mg
    Intent-to-Treat (ITT) Population (N)60 239
    HbA1c (%) (Mean)
    Baseline 8.4 8.4
    Change from baselineb-0.3 -1.3
    Difference from placebob (95% CI) -1.1 (-1.4, -0.7)††
    Percentage of patients HbA1c <7.0%c17 50††
    Fasting Serum Glucose (mg/dL) (Mean)
    Baseline 175 178
    Change from baselineb2 -28
    Difference from placebob (95% CI) -30 (-44, -15)††
    Body Weight (kg) (Mean)
    Baseline 89.5 84.5
    Change from baselineb-0.2 -0.5
    Difference from placebob (95% CI) -0.4 (-1.2, 0.5)

    Add-on to Metformin and Thiazolidinedione

    In this placebo-controlled study with primary endpoint at 26 weeks, 976 patients were randomized to and received placebo, TRULICITY 0.75 mg once weekly, TRULICITY 1.5 mg once weekly, or exenatide 10 mcg BID, all as add-on to maximally tolerated doses of metformin (≥1500 mg per day) and pioglitazone (up to 45 mg per day). Exenatide treatment group assignment was open-label while the treatment assignments to placebo, TRULICITY 0.75 mg, and TRULICITY 1.5 mg were blinded. After 26 weeks, patients in the placebo treatment group were randomized to either TRULICITY 0.75 mg once weekly or TRULICITY 1.5 mg once weekly to maintain study blind. Randomization occurred after a 12-week lead-in period; during the initial 4 weeks of the lead-in period, patients were titrated to maximally tolerated doses of metformin and pioglitazone; this was followed by an 8-week glycemic stabilization period prior to randomization. Patients randomized to exenatide started at a dose of 5 mcg BID for 4 weeks and then were escalated to 10 mcg BID. Patients had a mean age of 56 years; mean duration of type 2 diabetes of 9 years; 58% were male; race: White, Black and Asian were 74%, 8% and 3%, respectively; and 81% of the study population were in the US.

    Treatment with TRULICITY 0.75 mg and 1.5 mg once weekly resulted in a statistically significant reduction in HbA1c compared to placebo (at 26 weeks) and compared to exenatide at 26 weeks (Table 8 and Figure 5). Over the 52-week study period, the percentage of patients who required glycemic rescue was 8.9% in the TRULICITY 0.75 mg once weekly + metformin and pioglitazone treatment group, 3.2% in the TRULICITY 1.5 mg once weekly + metformin and pioglitazone treatment group, and 8.7% in the exenatide BID + metformin and pioglitazone treatment group.

    Table 8: Results at Week 26 of TRULICITY Compared to Placebo and Exenatide, All as Add-On to Metformin and Thiazolidinedionea

    Abbreviations: BID = twice daily; HbA1c = hemoglobin A1c.

    a Intent-to-treat population. Last observation carried forward (LOCF) was used to impute missing data. Data post-onset of rescue therapy are treated as missing. At Week 26, primary efficacy was missing for 23%, 10%, 7% and 12% of individuals randomized to placebo, TRULICITY 0.75 mg, TRULICITY 1.5 mg, and exenatide, respectively.

    b Least-squares (LS) mean adjusted for baseline value and other stratification factors.

    Subjects included in the analysis are a subset of the ITT population that had at least one post-baseline assessment. The primary analysis included 119, 269, 271 and 266 individuals randomized to placebo, TRULICITY 0.75 mg, TRULICITY 1.5 mg, and exenatide, respectively.

    ‡‡ Multiplicity adjusted 1-sided p-value <0.001, for superiority of TRULICITY compared to placebo, assessed only for HbA1c.

    †† Multiplicity adjusted 1-sided p-value <0.001, for superiority of TRULICITY compared to exenatide, assessed only for HbA1c.

    ** p<0.001 TRULICITY compared to placebo, assessed only for HbA1c <7.0%.

    ## p<0.001 TRULICITY compared to exenatide, assessed only for HbA1c <7.0%.

    26-Week Primary Time Point
    PlaceboTRULICITY
    0.75 mg
    TRULICITY
    1.5 mg
    Exenatide
    10 mcg BID
    Intent-to-Treat (ITT) Population (N)141 280 279 276
    HbA1c (%) (Mean)
    Baseline 8.1 8.1 8.1 8.1
    Change from baselineb-0.5 -1.3 -1.5 -1.0
    Difference from placebob (95% CI) - -0.8 (-1.0, -0.7)‡‡-1.1 (-1.2, -0.9)‡‡-
    Difference from exenatideb (95% CI) - -0.3 (-0.4, -0.2)††-0.5 (-0.7, -0.4)††-
    Percentage of patients HbA1c <7.0%43 66**, ##78**, ##52
    Fasting Serum Glucose (mg/dL) (Mean)
    Baseline 166 159 162 164
    Change from baselineb-5 -34 -42 -24
    Difference from placebob (95% CI) - -30 (-36, -23) -38 (-45, -31) -
    Difference from exenatideb (95% CI) - -10 (-15, -5) -18 (-24, -13) -
    Body Weight (kg) (Mean)
    Baseline 94.1 95.5 96.2 97.4
    Change from baselineb1.2 0.2 -1.3 -1.1
    Difference from placebob (95% CI) - -1.0 (-1.8, -0.3) -2.5 (-3.3, -1.8) -
    Difference from exenatideb (95% CI) - 1.3 (0.6, 1.9) -0.2 (-0.9, 0.4) -
    Figure 5: Adjusted Mean HbA1c at Each Time Point (ITT, MMRM) and at Week 26 (ITT, LOCF)

    Combination Therapy with SGLT2i, with or without Metformin

    In this 24-week placebo-controlled, double-blind study, 423 patients were randomized to and received TRULICITY 0.75 mg, TRULICITY 1.5 mg, or placebo, as add-on to sodium-glucose co-transporter 2 inhibitor (SGLT2i) therapy (96% with and 4% without metformin). Trulicity was administered once weekly, and SGLT2i was administered according to the local country label. Patients had a mean age of 57 years; mean duration of type 2 diabetes of 9.4 years; 50% were male; race: White, Black, and Asian were 89%, 3%, and 0.2%, respectively; and 21% of the study population was in the US.

    At 24 weeks, treatment with once weekly TRULICITY 0.75 mg and 1.5 mg resulted in a statistically significant reduction from baseline in HbA1c compared to placebo (Table 9).

    The mean baseline body weight was 90.5, 91.1, and 92.9 kg in the placebo, TRULICITY 0.75 mg, and TRULICITY 1.5 mg groups, respectively. The mean changes from baseline in body weight at Week 24 were -2.0, -2.5, and -2.9 kg for placebo, TRULICITY 0.75 mg, and TRULICITY 1.5 mg, respectively. The difference from placebo (95% CI) was -0.9 kg (-1.7, -0.1) for TRULICITY 1.5 mg.

    Table 9: Results at Week 24 of TRULICITY as Add-on to SGLT2ia

    Abbreviations: HbA1c = hemoglobin A1c; SGLT2i = sodium-glucose co-transporter-2 inhibitors.

    a Intent-to-treat population. At Week 24, primary efficacy was missing for 3%, 4%, and 6% of individuals treated with placebo, TRULICITY 0.75 mg, and TRULICITY 1.5 mg, respectively.

    b Least-squares mean adjusted for baseline value and other stratification factors. Placebo multiple imputation, using baseline and 24-week values from the placebo arm, was applied to model a washout of the treatment effect for patients missing 24-week values (HbA1c, fasting serum glucose, and body weight).

    c Patients with missing HbA1c data at Week 24 were considered as non-responders.

    †† p<0.001 for superiority of TRULICITY compared to placebo, overall type I error controlled.

    24-Week Primary Time Point
    PlaceboTRULICITY
    0.75 mg
    TRULICITY
    1.5 mg
    Intent-to-Treat (ITT) Population (N)140 141 142
    HbA1c (%) (Mean)
    Baseline 8.1 8.1 8.0
    Change from baselineb-0.6 -1.2 -1.3
    Difference from placebob (95% CI) - -0.7 (-0.8, -0.5)††-0.8 (-0.9, -0.6)††
    Percentage of patients HbA1c <7.0%c31 59††67††
    Fasting Serum Glucose (mg/dL) (Mean)
    Baseline 153 162 161
    Change from baselineb-6 -25 -30
    Difference from placebob (95% CI) - -19 (-25, -13) -24 (-30, -18)††

    Add-on to Metformin and Sulfonylurea

    In this open-label comparator study (double-blind with respect to TRULICITY dose assignment) with primary endpoint at 52 weeks, 807 patients were randomized to and received TRULICITY 0.75 mg once weekly, TRULICITY 1.5 mg once weekly, or insulin glargine once daily, all as add-on to maximally tolerated doses of metformin and glimepiride. Randomization occurred after a 10-week lead-in period; during the initial 2 weeks of the lead-in period, patients were titrated to maximally tolerated doses of metformin and glimepiride. This was followed by a 6- to 8-week glycemic stabilization period prior to randomization.

    Patients randomized to insulin glargine were started on a dose of 10 units once daily. Insulin glargine dose adjustments occurred twice weekly for the first 4 weeks of treatment based on self-measured fasting plasma glucose (FPG), followed by once weekly titration through Week 8 of study treatment, utilizing an algorithm that targeted a fasting plasma glucose of <100 mg/dL. Only 24% of patients were titrated to goal at the 52-week primary endpoint. The dose of glimepiride could be reduced or discontinued after randomization (at the discretion of the investigator) in the event of persistent hypoglycemia. The dose of glimepiride was reduced or discontinued in 28%, 32%, and 29% of patients randomized to TRULICITY 0.75 mg, TRULICITY 1.5 mg, and glargine.

    Patients had a mean age of 57 years; mean duration of type 2 diabetes of 9 years; 51% were male; race: White, Black and Asian were 71%, 1% and 17%, respectively; and 0% of the study population were in the US.

    Treatment with TRULICITY once weekly resulted in a reduction in HbA1c from baseline at 52 weeks when used in combination with metformin and sulfonylurea (Table 10). The difference in observed effect size between TRULICITY 0.75 mg and 1.5 mg, respectively, and glargine in this trial excluded the pre-specified non-inferiority margin of 0.4%.

    Table 10: Results at Week 52 of TRULICITY Compared to Insulin Glargine, Both as Add-on to Metformin and Sulfonylureaa

    Abbreviations: HbA1c = hemoglobin A1c.

    a Intent-to-treat population. Last observation carried forward (LOCF) was used to impute missing data. Data post-onset of rescue therapy are treated as missing. At Week 52, primary efficacy was missing for 17%, 13% and 12% of individuals randomized to TRULICITY 0.75 mg, TRULICITY 1.5 mg and glargine, respectively.

    b Least-squares (LS) mean adjusted for baseline value and other stratification factors.

    Subjects included in the analysis are a subset of the ITT population that had at least one post-baseline assessment. The primary analysis included 267, 263 and 259 individuals randomized to TRULICITY 0.75 mg, TRULICITY 1.5 mg, and glargine, respectively.

    52-Week Primary Time Point
    TRULICITY
    0.75 mg
    TRULICITY
    1.5 mg
    Insulin Glargine
    Intent-to-Treat (ITT) Population (N)272 273 262
    HbA1c (%) (Mean)
    Baseline 8.1 8.2 8.1
    Change from baselineb-0.8 -1.1 -0.6
    Fasting Serum Glucose (mg/dL) (Mean)
    Baseline 161 165 163
    Change from baselineb-16 -27 -32
    Difference from insulin glargineb (95% CI) 16 (9, 23) 5 (-2, 12) -
    Body Weight (kg) (Mean)
    Baseline 86.4 85.2 87.6
    Change from baselineb-1.3 -1.9 1.4
    Difference from insulinb (95% CI) -2.8 (-3.4, -2.2) -3.3 (-3.9, -2.7) -

    Combination Therapy with Basal Insulin, with or without Metformin

    In this 28-week placebo-controlled, double-blind study, 300 patients were randomized to placebo or once weekly TRULICITY 1.5 mg, as add-on to titrated basal insulin glargine (with or without metformin). Patients had a mean age of 60 years; mean duration of type 2 diabetes of 13 years; 58% were male; race: White, Black, and Asian were 94%, 4%, and 0.3%, respectively; and 20% of the study population was in the US.

    The mean starting dose of insulin glargine was 37 units/day for patients receiving placebo and 41 units/day for patients receiving TRULICITY 1.5 mg. At randomization, the initial insulin glargine dose in patients with HbA1c <8.0% was reduced by 20%.

    At 28 weeks, treatment with once weekly TRULICITY 1.5 mg resulted in a statistically significant reduction in HbA1c compared to placebo (Table 11).

    Table 11: Results at Week 28 of TRULICITY Compared to Placebo as Add-On to Basal Insulina

    Abbreviations: HbA1c = hemoglobin A1c.

    a Intent-to-treat population. At Week 28, primary efficacy was missing for 12% and 8% of individuals randomized to placebo and TRULICITY 1.5 mg, respectively.

    b Least-squares mean from ANCOVA adjusted for baseline value and other stratification factors. Placebo multiple imputation, with respect to baseline values, was used to model a wash-out of the treatment effect for subjects having missing Week 28 data.

    c Patients with missing HbA1c data at Week 28 were considered as non-responders.

    †† p<0.001 for superiority of TRULICITY 1.5 mg compared to placebo, overall type I error controlled.

    p≤0.005 for superiority of TRULICITY 1.5 mg compared to placebo, overall type I error controlled.

    28-Week Primary Time Point
    PlaceboTRULICITY
    1.5 mg
    Intent-to-Treat (ITT) Population (N)150 150
    HbA1c (%) (Mean)
    Baseline 8.3 8.4
    Change from baselineb-0.7 -1.4
    Difference from placebob (95% CI) -0.7 (-0.9, -0.5)††
    Percentage of patients HbA1c <7.0%c33 67††
    Fasting Serum Glucose (mg/dL) (Mean)
    Baseline 156 157
    Change from baselineb-30 -44
    Difference from placebob (95% CI) -14 (-23, -4)
    Body Weight (kg) (Mean)
    Baseline 92.6 93.3
    Change from baselineb0.8 -1.3
    Difference from placebob (95% CI) -2.1 (-2.9, -1.4)††

    Combination Therapy with Prandial Insulin, with or without Metformin

    In this open-label comparator study (double-blind with respect to TRULICITY dose assignment) with primary endpoint at 26 weeks, 884 patients on 1 or 2 insulin injections per day were enrolled. Randomization occurred after a 9-week lead-in period; during the initial 2 weeks of the lead-in period, patients continued their pre-study insulin regimen but could be initiated and/or up-titrated on metformin, based on investigator discretion; this was followed by a 7-week glycemic stabilization period prior to randomization.

    At randomization, patients discontinued their pre-study insulin regimen and were randomized to TRULICITY 0.75 mg once weekly, TRULICITY 1.5 mg once weekly, or insulin glargine once daily, all in combination with prandial insulin lispro 3 times daily, with or without metformin. Insulin lispro was titrated in each arm based on preprandial and bedtime glucose, and insulin glargine was titrated to a fasting plasma glucose goal of <100 mg/dL. Only 36% of patients randomized to glargine were titrated to the fasting glucose goal at the 26-week primary timepoint.

    Patients had a mean age of 59 years; mean duration of type 2 diabetes of 13 years; 54% were male; race: White, Black and Asian were 79%, 10% and 4%, respectively; and 33% of the study population were in the US.

    Treatment with TRULICITY 0.75 mg and 1.5 mg once weekly resulted in a reduction in HbA1c from baseline. The difference in observed effect size between TRULICITY 0.75 mg and 1.5 mg, respectively, and glargine in this trial excluded the pre-specified non-inferiority margin of 0.4% (Table 12).

    Table 12: Results at Week 26 of TRULICITY Compared to Insulin Glargine, Both in Combination with Insulin Lisproa

    Abbreviation: HbA1c = hemoglobin A1c

    a Intent-to-treat population. Last observation carried forward (LOCF) was used to impute missing data. Data post-onset of rescue therapy are treated as missing. At Week 26, primary efficacy was missing for 14%, 15%, and 14% of individuals randomized to TRULICITY 0.75 mg, TRULICITY 1.5 mg and glargine, respectively.

    b Least-squares (LS) mean adjusted for baseline value and other stratification factors.

    Subjects included in the analysis are a subset of the ITT population that had at least one post-baseline assessment. The primary analysis included 275, 273 and 276 individuals randomized to TRULICITY 0.75 mg, TRULICITY 1.5 mg, and glargine, respectively.

    26-Week Primary Time Point
    TRULICITY
    0.75 mg
    TRULICITY
    1.5 mg
    Insulin Glargine
    Intent-to-Treat (ITT) Population (N)293 295 296
    HbA1c (%) (Mean)
    Baseline 8.4 8.5 8.5
    Change from baselineb-1.6 -1.6 -1.4
    Fasting Serum Glucose (mg/dL) (Mean)
    Baseline 150 157 154
    Change from baselineb4 -5 -28
    Difference from insulin glargineb (95% CI) 32 (24, 41) 24 (15, 32) -
    Body Weight (kg) (Mean)
    Baseline 91.7 91.0 90.8
    Change from baselineb0.2 -0.9 2.3
    Difference from insulin glargineb (95% CI) -2.2 (-2.8, -1.5) -3.2 (-3.8, -2.6) -

    Moderate to Severe Chronic Kidney Disease

    In this open-label comparator study (double-blind with respect to TRULICITY dose assignment) with primary endpoint at 26 weeks, a total of 576 patients with type 2 diabetes were randomized and treated to compare TRULICITY 0.75 mg and 1.5 mg with insulin glargine (NCT01621178).

    Patients on insulin and other antidiabetic therapy (e.g., oral antidiabetic drugs, pramlintide) had non-insulin therapies discontinued and had their insulin dose adjusted for 12 weeks prior to randomization. Patients on insulin therapy alone maintained a stable insulin dose for 3 weeks prior to randomization. At randomization, patients discontinued their pre-study insulin regimen and patients were randomized to TRULICITY 0.75 mg once weekly, TRULICITY 1.5 mg once weekly, or insulin glargine once daily, all in combination with prandial insulin lispro. For patients randomized to insulin glargine, the initial insulin glargine dose was based on the basal insulin dose prior to randomization. Insulin glargine was allowed to be titrated with a fasting plasma glucose goal of ≤150 mg/dL. Insulin lispro was allowed to be titrated with a preprandial and bedtime glucose goal of ≤180 mg/dL.

    Patients had a mean age of 65 years; a mean duration of type 2 diabetes of 18 years; 52% were male; race: White, Black, and Asian were 69%, 16%, and 3%, respectively; and 32% of the study population were in the US. At baseline, overall mean eGFR was 38 mL/min/1.73 m2, 30% of patients had eGFR <30 mL/min/1.73 m2, and 45% of patients had macroalbuminuria. Patients on over 70 units/day of basal insulin were excluded from the study.

    Treatment with TRULICITY 0.75 mg and 1.5 mg once weekly resulted in a reduction in HbA1c at 26-weeks from baseline. The difference in observed effect size between TRULICITY 0.75 mg and 1.5 mg, respectively, and glargine in this trial excluded the pre-specified non-inferiority margin of 0.4%. Mean fasting plasma glucose increased in the TRULICITY arms (Table 13).

    Mean baseline body weight was 90.9 kg, 88.1 kg, and 88.2 kg in the TRULICITY 0.75 mg, TRULICITY 1.5 mg, and insulin glargine arms, respectively. The mean changes from baseline at Week 26 were -1.1, -2, and 1.9 kg in the TRULICITY 0.75 mg, TRULICITY 1.5 mg, and insulin glargine arms, respectively.

    Table 13: Results at Week 26 of TRULICITY Compared to Insulin Glargine, Both in Combination with Insulin Lispro, in Patients with Moderate to Severe Chronic Kidney Diseasea

    Abbreviation: HbA1c = hemoglobin A1c

    a Intent-to-treat population (all randomized and treated subjects) was used in the analysis regardless of discontinuation of study drug or initiation of rescue therapy. At Week 26, primary efficacy was missing for 12%, 15%, and 9% of individuals randomized to and treated with TRULICITY 0.75 mg, TRULICITY 1.5 mg, and insulin glargine, respectively. Missing data were imputed using multiple imputation within treatment group.

    b Least-squares (LS) mean from ANCOVA pattern mixture model adjusted for baseline value and other stratification factors.

    26-Week Primary Time Point
    TRULICITY
    0.75 mg
    TRULICITY
    1.5 mg
    Insulin Glargine
    Intent-to-Treat Population (N)190 192 194
    HbA1c (%) (Mean)
    Baseline 8.6 8.6 8.6
    Change from baselineb-0.9 -1.0 -1.0
    Difference from insulin glargineb (95% CI) 0.0 (-0.2, 0.3) -0.1 (-0.3, 0.2)
    Percentage of patients HbA1c <8.0%73 75 74
    Fasting Serum Glucose (mg/dL) (Mean)
    Baseline 167 161 170
    Change from baselineb6 14 -23
    Difference from insulin glargineb (95% CI) 30 (16, 43) 37 (24, 50)

2.1 Dosage



  • The recommended initiating dose of TRULICITY is 0.75 mg injected subcutaneously once weekly.
  • Increase the dose to 1.5 mg once weekly for additional glycemic control.
  • If additional glycemic control is needed, increase the dose to 3 mg once weekly after at least 4 weeks on the 1.5 mg dose.
  • If additional glycemic control is needed, increase the dose to the maximum dose of 4.5 mg once weekly after at least 4 weeks on the 3 mg dose.
  • If a dose is missed, instruct patients to administer as soon as possible if there are at least 3 days (72 hours) until the next scheduled dose. If less than 3 days remain before the next scheduled dose, skip the missed dose and administer the next dose on the regularly scheduled day. In each case, patients can then resume their regular once weekly dosing schedule.
  • The day of weekly administration can be changed if necessary, as long as the last dose was administered 3 or more days before.

2.2 Important Administration Instructions



  • Administer TRULICITY once weekly, any time of day, with or without food.
  • Inject TRULICITY subcutaneously in the abdomen, thigh, or upper arm.
  • Rotate injection sites with each dose.
  • Inspect TRULICITY visually before use. It should appear clear and colorless. Do not use TRULICITY if particulate matter or coloration is seen.
  • When using TRULICITY with insulin, administer as separate injections and never mix. It is acceptable to inject TRULICITY and insulin in the same body region, but the injections should not be adjacent to each other.

3 Dosage Forms And Strengths



Injection: TRULICITY is a clear and colorless solution available as:

  • 0.75 mg/0.5 mL solution in a single-dose pen
  • 1.5 mg/0.5 mL solution in a single-dose pen
  • 3 mg/0.5 mL solution in a single-dose pen
  • 4.5 mg/0.5 mL solution in a single-dose pen

4 Contraindications



TRULICITY is contraindicated in patients with:

  • Personal or family history of medullary thyroid carcinoma (MTC) or in patients with Multiple Endocrine Neoplasia syndrome type 2 (MEN 2) [see Warnings and Precautions (5.1)].
  • Prior serious hypersensitivity reaction to dulaglutide or to any of the product components. Serious hypersensitivity reactions including anaphylactic reactions and angioedema have been reported with TRULICITY [see Warnings and Precautions (5.4)].

5.1 Risk Of Thyroid C-Cell Tumors



In male and female rats, dulaglutide causes a dose-related and treatment-duration-dependent increase in the incidence of thyroid C-cell tumors (adenomas and carcinomas) after lifetime exposure [see Nonclinical Toxicology (13.1)]. Glucagon-like peptide-1 (GLP-1) receptor agonists have induced thyroid C-cell adenomas and carcinomas in mice and rats at clinically relevant exposures. It is unknown whether TRULICITY will cause thyroid C-cell tumors, including medullary thyroid carcinoma (MTC), in humans, as the human relevance of dulaglutide-induced rodent thyroid C-cell tumors has not been determined.

One case of MTC was reported in a patient treated with TRULICITY in a clinical study. This patient had pretreatment calcitonin levels approximately 8 times the upper limit of normal (ULN). An additional case of C-cell hyperplasia with elevated calcitonin levels following treatment was reported in the cardiovascular outcomes trial (REWIND). Cases of MTC in patients treated with liraglutide, another GLP-1 receptor agonist, have been reported in the postmarketing period; the data in these reports are insufficient to establish or exclude a causal relationship between MTC and GLP-1 receptor agonist use in humans.

TRULICITY is contraindicated in patients with a personal or family history of MTC or in patients with MEN 2. Counsel patients regarding the potential risk for MTC with the use of TRULICITY and inform them of symptoms of thyroid tumors (e.g. a mass in the neck, dysphagia, dyspnea, persistent hoarseness).

Routine monitoring of serum calcitonin or using thyroid ultrasound is of uncertain value for early detection of MTC in patients treated with TRULICITY. Such monitoring may increase the risk of unnecessary procedures, due to the low test specificity for serum calcitonin and a high background incidence of thyroid disease. Significantly elevated serum calcitonin values may indicate MTC and patients with MTC usually have calcitonin values >50 ng/L. If serum calcitonin is measured and found to be elevated, the patient should be further evaluated. Patients with thyroid nodules noted on physical examination or neck imaging should also be further evaluated.


5.2 Pancreatitis



In a pooled analysis from the original registration studies, 12 (3.4 cases per 1000 patient years) pancreatitis-related adverse reactions were reported in patients exposed to TRULICITY versus 3 in non-incretin comparators (2.7 cases per 1000 patient years). An analysis of adjudicated events revealed 5 cases of confirmed pancreatitis in patients exposed to TRULICITY (1.4 cases per 1000 patient years) versus 1 case in non-incretin comparators (0.88 cases per 1000 patient years).

Based on an analysis of adjudicated events in a clinical study evaluating Trulicity 1.5 mg, 3 mg, or 4.5 mg once weekly, pancreatitis occurred in 1 patient exposed to TRULICITY 1.5 mg (0.2%), in 2 patients exposed to TRULICITY 3 mg (0.3%), and 3 patients exposed to TRULICITY 4.5 mg (0.5%).

After initiation of TRULICITY, observe patients carefully for signs and symptoms of pancreatitis, including persistent severe abdominal pain, sometimes radiating to the back, which may or may not be accompanied by vomiting. If pancreatitis is suspected, promptly discontinue TRULICITY. If pancreatitis is confirmed, TRULICITY should not be restarted. TRULICITY has not been evaluated in patients with a prior history of pancreatitis. Consider other antidiabetic therapies in patients with a history of pancreatitis.


5.3 Hypoglycemia With Concomitant Use Of Insulin Secretagogues Or Insulin



The risk of hypoglycemia is increased when TRULICITY is used in combination with insulin secretagogues (e.g., sulfonylureas) or insulin. Patients may require a lower dose of sulfonylurea or insulin to reduce the risk of hypoglycemia in this setting [see Adverse Reactions (6.1), Drug Interactions (7.2)].


5.4 Hypersensitivity Reactions



There have been postmarketing reports of serious hypersensitivity reactions including anaphylactic reactions and angioedema in patients treated with TRULICITY [see Adverse Reactions (6.3)]. If a hypersensitivity reaction occurs, discontinue TRULICITY; treat promptly per standard of care, and monitor until signs and symptoms resolve. Do not use in patients with a previous hypersensitivity reaction to TRULICITY [see Contraindications (4)].

Anaphylaxis and angioedema have been reported with other GLP-1 receptor agonists. Use caution in a patient with a history of angioedema or anaphylaxis with another GLP-1 receptor agonist because it is unknown whether such patients will be predisposed to anaphylaxis with TRULICITY.


5.5 Acute Kidney Injury



In patients treated with GLP-1 receptor agonists, including TRULICITY, there have been postmarketing reports of acute renal failure and worsening of chronic renal failure, which may sometimes require hemodialysis. Some of these events were reported in patients without known underlying renal disease. A majority of reported events occurred in patients who had experienced nausea, vomiting, diarrhea, or dehydration. Because these reactions may worsen renal function, use caution when initiating or escalating doses of TRULICITY in patients with renal impairment. Monitor renal function in patients with renal impairment reporting severe adverse gastrointestinal reactions [see Use in Specific Populations (8.6)].


5.6 Severe Gastrointestinal Disease



Use of TRULICITY may be associated with gastrointestinal adverse reactions, sometimes severe [see Adverse Reactions (6.1)]. TRULICITY has not been studied in patients with severe gastrointestinal disease, including severe gastroparesis, and is therefore not recommended in these patients.


5.7 Diabetic Retinopathy Complications In Patients With A History Of Diabetic Retinopathy



In a cardiovascular outcomes trial with a median follow up of 5.4 years involving patients with type 2 diabetes with established cardiovascular disease or multiple cardiovascular risk factors, diabetic retinopathy complications occurred in patients treated with TRULICITY 1.5 mg (1.9%) and placebo (1.5%). These events were prospectively ascertained as a secondary composite endpoint. The proportion of patients with diabetic retinopathy complications was larger among patients with a history of diabetic retinopathy at baseline (TRULICITY 8.5%, placebo 6.2%) than among patients without a known history of diabetic retinopathy (TRULICITY 1%, placebo 1%).

Rapid improvement in glucose control has been associated with a temporary worsening of diabetic retinopathy. Patients with a history of diabetic retinopathy should be monitored for progression of diabetic retinopathy.


6 Adverse Reactions



The following serious reactions are described below or elsewhere in the prescribing information:

  • Risk of Thyroid C-cell Tumors [see Warnings and Precautions (5.1)]
  • Pancreatitis [see Warnings and Precautions (5.2)]
  • Hypoglycemia with Concomitant Use of Insulin Secretagogues or Insulin [see Warnings and Precautions (5.3)]
  • Hypersensitivity Reactions [see Warnings and Precautions (5.4)]
  • Acute Kidney Injury [see Warnings and Precautions (5.5)]
  • Severe Gastrointestinal Disease [see Warnings and Precautions (5.6)]
  • Diabetic Retinopathy Complications in Patients with a History of Diabetic Retinopathy [see Warnings and Precautions (5.7)]

6.1 Clinical Studies Experience



Because clinical studies are conducted under widely varying conditions, adverse reaction rates observed in the clinical studies of a drug cannot be directly compared to rates in the clinical studies of another drug and may not reflect the rates observed in practice.


6.2 Immunogenicity



In clinical studies, 64 (1.6%) TRULICITY-treated patients developed anti-drug antibodies (ADAs) to the active ingredient in TRULICITY (i.e., dulaglutide).

Of the 64 dulaglutide-treated patients that developed dulaglutide ADAs, 34 patients (0.9% of the overall population) had dulaglutide-neutralizing antibodies, and 36 patients (0.9% of the overall population) developed antibodies against native GLP-1.

The detection of antibody formation is highly dependent on the sensitivity and specificity of the assay. Additionally, the observed incidence of antibody (including neutralizing antibody) positivity in an assay may be influenced by several factors including assay methodology, sample handling, timing of sample collection, concomitant medications, and underlying disease. For these reasons, the incidence of antibodies to dulaglutide cannot be directly compared with the incidence of antibodies of other products.


6.3 Postmarketing Experience



The following additional adverse reactions have been reported during post-approval use of TRULICITY. Because these events are reported voluntarily from a population of uncertain size, it is generally not possible to reliably estimate their frequency or establish a causal relationship to drug exposure.

  • Anaphylactic reactions, angioedema.
  • Acute renal failure or worsening of chronic renal failure, sometimes requiring hemodialysis.

7.1 Oral Medications



TRULICITY delays gastric emptying and thus has the potential to reduce the rate of absorption of concomitantly administered oral medications. The delay in gastric emptying is dose-dependent but is attenuated with the recommended dose escalation to higher doses of TRULICITY [see Dosage and Administration (2.1)]. The delay is largest after the first dose and diminishes with subsequent doses. In clinical pharmacology studies, TRULICITY 1.5 mg did not affect the absorption of the tested orally administered medications to a clinically relevant degree [see Clinical Pharmacology (12.3)]. There is limited experience with the use of concomitant medications in clinical trials with TRULICITY doses of 3 mg and 4.5 mg.

Monitor drug levels of oral medications with a narrow therapeutic index (e.g., warfarin) when concomitantly administered with TRULICITY.


7.2 Concomitant Use With An Insulin Secretagogue (E.G., Sulfonylurea) Or With Insulin



When initiating TRULICITY, consider reducing the dose of concomitantly administered insulin secretagogues (such as sulfonylureas) or insulin to reduce the risk of hypoglycemia [see Warnings and Precautions (5.4)].


8.4 Pediatric Use



Safety and effectiveness of TRULICITY have not been established in pediatric patients. TRULICITY is not recommended for use in pediatric patients younger than 18 years.


8.5 Geriatric Use



In the glycemic control trials [see Clinical Studies (14.1)], 620 (18.6%) TRULICITY-treated patients were 65 years of age or older and 65 (1.9%) TRULICITY-treated patients were 75 years of age or older at baseline. In the TRULICITY 1.5 mg treatment arm of the REWIND trial [see Clinical Studies (14.2)], a total of 2619 (52.9%) patients were 65 years of age or older, and 484 (9.8%) patients were 75 years of age or older at baseline.

No overall differences in safety or efficacy were detected between these patients and younger patients, but greater sensitivity of some older individuals cannot be ruled out.


8.6 Renal Impairment



TRULICITY has been studied in patients with varying degrees of renal function, including a dedicated study in patients with moderate to severe chronic kidney disease. No overall differences in safety or effectiveness were observed in these studies according to renal function [see Clinical Studies (14)].

In a clinical pharmacology study in subjects with renal impairment, including end-stage renal disease (ESRD), no clinically relevant change in dulaglutide pharmacokinetics (PK) was observed. In the 52-week study in patients with type 2 diabetes and moderate to severe renal impairment, the PK behavior of TRULICITY 0.75 mg and 1.5 mg once weekly was similar to that demonstrated in previous clinical studies [see Clinical Pharmacology (12.3)].

No dose adjustment is recommended in patients with renal impairment including end-stage renal disease (ESRD). Monitor renal function in patients with renal impairment reporting severe adverse gastrointestinal reactions. Use TRULICITY with caution in patients with ESRD [see Warning and Precautions (5.5), Clinical Pharmacology (12.3)].


8.7 Hepatic Impairment



In a clinical pharmacology study in subjects with varying degrees of hepatic impairment, no clinically relevant change in dulaglutide PK was observed [see Clinical Pharmacology (12.3)]. However, there is limited clinical experience in patients with mild, moderate, or severe hepatic impairment; therefore, use TRULICITY with caution in these patient populations.


8.8 Gastroparesis



Dulaglutide slows gastric emptying. TRULICITY has not been studied in patients with preexisting gastroparesis. Use TRULICITY with caution in patients with gastroparesis.


10 Overdosage



Overdoses have been reported in clinical studies. Effects associated with these overdoses were primarily mild or moderate gastrointestinal events (e.g., nausea, vomiting) and non-severe hypoglycemia. In the event of overdose, appropriate supportive care (including frequent plasma glucose monitoring) should be initiated according to the patient's clinical signs and symptoms.


11 Description



Dulaglutide is a human glucagon-like peptide-1 (GLP-1) receptor agonist. The molecule is a fusion protein that consists of 2 identical, disulfide-linked chains, each containing an N-terminal GLP-1 analog sequence covalently linked to the Fc portion of a modified human immunoglobulin G4 (IgG4) heavy chain by a small peptide linker and is produced using mammalian cell (Chinese hamster ovary) culture. The GLP-1 analog portion of dulaglutide is 90% homologous to native human GLP-1 (7-37). Structural modifications were introduced in the GLP-1 part of the molecule responsible for interaction with the enzyme dipeptidyl-peptidase-IV (DPP-4). Additional modifications were made in an area with a potential T-cell epitope and in the areas of the IgG4 Fc part of the molecule responsible for binding the high-affinity Fc receptors and half-antibody formation. The overall molecular weight of dulaglutide is approximately 63 kilodaltons.

TRULICITY (dulaglutide) injection is a clear, colorless, sterile, preservative-free solution for subcutaneous use. Each single-dose pen contains a 0.5 mL solution of 0.75 mg, 1.5 mg, 3 mg, or 4.5 mg of dulaglutide and the following excipients: citric acid anhydrous (0.07 mg), mannitol (23.2 mg), polysorbate 80 (0.10 mg for 0.75 mg and 1.5 mg; 0.125 mg for 3 mg and 4.5 mg), and trisodium citrate dihydrate (1.37 mg), in water for injection.


12.1 Mechanism Of Action



TRULICITY contains dulaglutide, which is a human GLP-1 receptor agonist with 90% amino acid sequence homology to endogenous human GLP-1 (7-37). Dulaglutide activates the GLP-1 receptor, a membrane-bound cell-surface receptor coupled to adenylyl cyclase in pancreatic beta cells. Dulaglutide increases intracellular cyclic AMP (cAMP) in beta cells leading to glucose-dependent insulin release. Dulaglutide also decreases glucagon secretion and slows gastric emptying.


12.2 Pharmacodynamics



TRULICITY lowers fasting glucose and reduces postprandial glucose (PPG) concentrations in patients with type 2 diabetes mellitus. The reduction in fasting and postprandial glucose can be observed after a single dose.


12.3 Pharmacokinetics



The pharmacokinetics of dulaglutide is similar between healthy subjects and patients with type 2 diabetes mellitus. Following subcutaneous administration, the time to maximum plasma concentration of dulaglutide at steady state ranges from 24 to 72 hours, with a median of 48 hours. After reaching steady state, the accumulation ratio was approximately 1.56. Steady-state plasma dulaglutide concentrations were achieved between 2 and 4 weeks following once weekly administration. Site of subcutaneous administration (abdomen, upper arm, and thigh) had no statistically significant effect on the exposure to dulaglutide.


13.1 Carcinogenesis, Mutagenesis, And Impairment Of Fertility



A 2-year carcinogenicity study was conducted with dulaglutide in male and female rats at doses of 0.05, 0.5, 1.5, and 5 mg/kg (0.2-, 3-, 8-, and 24-fold the MRHD of 4.5 mg once weekly based on AUC) administered by subcutaneous injection twice weekly. In rats, dulaglutide caused a dose-related and treatment-duration-dependent increase in the incidence of thyroid C-cell tumors (adenomas and/or carcinomas) compared to controls, at ≥3-fold the MRHD based on AUC. A statistically significant increase in C-cell adenomas was observed in rats receiving dulaglutide at ≥0.5 mg/kg. Numerical increases in thyroid C-cell carcinomas occurred at 5 mg/kg (24 times the MRHD based on AUC) and were considered to be treatment-related despite the absence of statistical significance.

A 6-month carcinogenicity study was conducted with dulaglutide in rasH2 transgenic mice at doses of 0.3, 1, and 3 mg/kg administered by subcutaneous injection twice weekly. Dulaglutide did not produce increased incidences of thyroid C-cell hyperplasia or neoplasia at any dose.

Dulaglutide is a recombinant protein; no genotoxicity studies have been conducted.

Human relevance of thyroid C-cell tumors in rats is unknown and could not be determined by clinical studies or nonclinical studies [see Boxed Warning and Warnings and Precautions (5.1)].

In fertility and early embryonic development studies in male and female rats, no adverse effects of dulaglutide on sperm morphology, mating, fertility, conception, and embryonic survival were observed at up to 16.3 mg/kg (55-fold the MRHD based on AUC). In female rats, an increase in the number of females with prolonged diestrus and a dose-related decrease in the mean number of corpora lutea, implantation sites, and viable embryos were observed at ≥4.9 mg/kg (≥13-fold the MRHD based on AUC), which occurred in the presence of decreased maternal food consumption and body weight gain.


13.2 Animal Toxicology And/Or Pharmacology



Zucker diabetic fatty (ZDF) rats were given 0.5, 1.5, or 5 mg/kg/twice weekly of dulaglutide (1-, 3-, and 13-fold the MRHD based on AUC) for 3 months. Increases of 12% to 33% in total and pancreatic amylase, but not lipase, were observed at all doses without microscopic pancreatic inflammatory correlates in individual animals. Other changes in the dulaglutide-treated animals included increased interlobular ductal epithelium without active ductal cell proliferation (≥0.5 mg/kg), increased acinar atrophy with/without inflammation (≥1.5 mg/kg), and increased neutrophilic inflammation of the acinar pancreas (5 mg/kg).

Treatment of monkeys for 12 months with 8.15 mg/kg/twice weekly of dulaglutide (nearly 200-fold the MRHD based on AUC) demonstrated no evidence of pancreatic inflammation or pancreatic intraepithelial neoplasia. In 4 of 19 monkeys on dulaglutide treatment, there was an increase in goblet cells within the pancreatic ducts, but no differences from the control group in total amylase or lipase at study termination. There were no proliferative changes in the thyroid C-cells.


14.1 Glycemic Control Trials In Adults With Type 2 Diabetes Mellitus



TRULICITY has been studied as monotherapy and in combination with metformin, sulfonylurea, metformin and sulfonylurea, metformin and thiazolidinedione, sodium-glucose co-transporter-2 inhibitors (SGLT2i) with or without metformin, basal insulin with or without metformin, and prandial insulin with or without metformin. TRULICITY has also been studied in patients with type 2 diabetes mellitus and moderate to severe renal impairment.

Dose escalation was performed in one study with TRULICITY doses up to 4.5 mg added to metformin. All other clinical studies evaluated TRULICITY 0.75 mg and 1.5 mg without dose escalation; patients were initiated and maintained on either 0.75 mg or 1.5 mg for the duration of the trials.

In patients with type 2 diabetes mellitus, TRULICITY produced reductions from baseline in HbA1c compared to placebo. No overall differences in glycemic effectiveness were observed across demographic subgroups (age, gender, race/ethnicity, duration of diabetes).


14.2 Cardiovascular Outcomes Trial In Adults With Type 2 Diabetes Mellitus And Cardiovascular Disease Or Multiple Cardiovascular Risk Factors



The REWIND trial (NCT01394952) was a multi-national, multi-center, randomized, placebo-controlled, double-blind trial. In this study, 9901 adult patients with type 2 diabetes mellitus and established cardiovascular (CV) disease or multiple cardiovascular risk factors were randomized to TRULICITY 1.5 mg or placebo both added to standard of care. The median follow-up duration was 5.4 years. The primary endpoint was the time to the first occurrence of a composite 3-component Major Adverse Cardiovascular Events (MACE) outcome, which included CV death, non-fatal myocardial infarction (MI), and non-fatal stroke.

Patients eligible to enter the trial were 50 years of age or older who had type 2 diabetes mellitus, had an HbA1c value ≤9.5% with no lower limit at screening, and had either established CV disease, or did not have established CV disease but had multiple CV risk factors. Patients who were confirmed to have established CV disease (31.5% of randomized patients) had a history of at least one of the following: MI (16.2%); myocardial ischemia by a stress test or with cardiac imaging (9.3%); ischemic stroke (5.3%); coronary, carotid, or peripheral artery revascularization (18.0%); unstable angina (5.9%); or hospitalization for unstable angina with at least one of the following: ECG changes, myocardial ischemia on imaging, or a need for percutaneous coronary intervention (12.0%). Patients confirmed to be without established CV disease, but with multiple CV risk factors, comprised 62.8% of the randomized trial population.

At baseline, demographic and disease characteristics were balanced between treatment groups. Patients had a mean age of 66 years; 46% were female; race: White, Black, and Asian were 76%, 7%, and 4%, respectively.

The median baseline HbA1c was 7.2%. The mean duration of type 2 diabetes was 10.5 years and the mean BMI was 32.3 kg/m2.

At baseline, 50.5% of patients had mild renal impairment (eGFR ≥60 but <90 mL/min/1.73m2), 21.6% had moderate renal impairment (eGFR ≥30 but <60 mL/min/1.73m2), and 1.1% of patients had severe renal impairment (eGFR <30 mL/min/1.73m2) out of 9713 patients whose eGFR were available.

At baseline, 94.7% of patients were taking antidiabetic medication, with 10.5% of patients taking three or more antidiabetic drugs. The most common background antidiabetic drugs used at baseline were metformin (81.2%), sulfonylurea (46.0%), and insulin (23.9%). At baseline, CV disease and risk factors were managed with ACE inhibitors or angiotensin receptor blockers (81.5%), beta blockers (45.6%), calcium channel blockers (34.4%), diuretics (46.5%), statin therapy (66.1%), antithrombotic agents (58.7%), and aspirin (51.7%). During the trial, investigators were to modify anti-diabetic and cardiovascular medications to achieve local standard of care treatment targets with respect to blood glucose, lipids, and blood pressure, and manage patients recovering from an acute coronary syndrome or stroke event per local treatment guidelines.

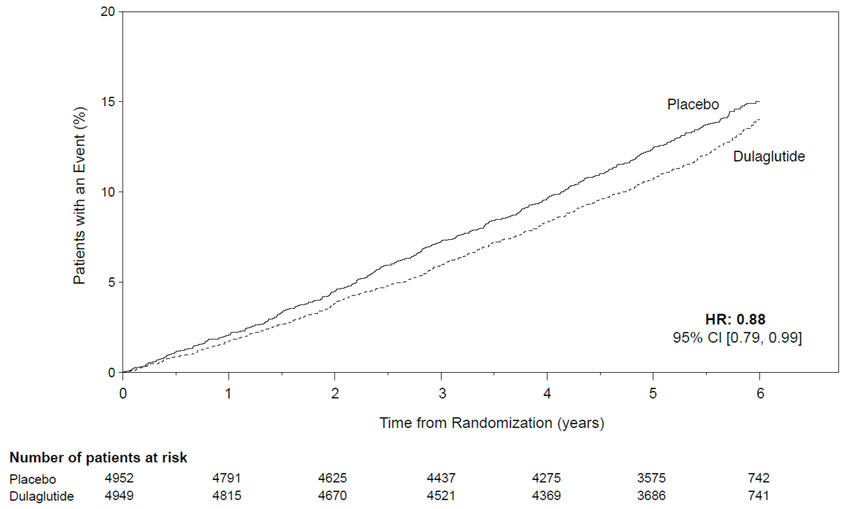
For the primary analysis, a Cox proportional hazards model was used to test for superiority. Type I error was controlled across multiple tests. TRULICITY significantly reduced the risk of first occurrence of primary composite endpoint of CV death, non-fatal MI, or non-fatal stroke (HR: 0.88, 95% CI 0.79, 0.99). Refer to Figure 6 and Table 14.

Vital status was available for 99.7% of subjects in the trial. A total of 1128 deaths were recorded during the REWIND trial. A majority of the deaths in the trial were adjudicated as CV deaths, and non-CV deaths were comparable between the treatment groups (4.4% in patients treated with TRULICITY and 5.0% in patients treated with placebo). There were 536 all-cause deaths (10.8%) in the dulaglutide group compared to 592 deaths (12.0%) in the placebo group.

Figure 6. KAPLAN MEIER CURVE: Time to First Occurrence of MACE in the REWIND Trial
Table 14: Treatment Effect for MACE and the Individual Components in the REWIND Trial, Median Study Observation Time of 5.4 yearsa

a All randomized patients.

b Cox-proportional hazards model with treatment as a factor. Type I error was controlled for the primary and secondary endpoints.

c p=0.026 for superiority (2-sided).

d Number and percentage of patients with events.

e Results for components of MACE, fatal and non-fatal stroke, and fatal and non-fatal MI are listed descriptively for supportive purposes. No statistical significance should be inferred since these CIs are not adjusted for multiplicity.

Time to First Occurrence of:TRULICITY
N=4949
Placebo
N=4952
Hazard Ratio
(95% CI)b
Composite of non-fatal myocardial infarction, non-fatal stroke, cardiovascular death (MACE)d594 (12.0%) 663 (13.4%) 0.88 (0.79, 0.99)c
     Cardiovascular deathd,e317 (6.4%) 346 (7.0%) 0.91 (0.78, 1.06)
     Non-fatal myocardial infarctiond,e205 (4.1%) 212 (4.3%) 0.96 (0.79, 1.16)
     Non-fatal stroked,e135 (2.7%) 175 (3.5%) 0.76 (0.61, 0.95)
Fatal or non-fatal myocardial infarctiond,e223 (4.5%) 231 (4.7%) 0.96 (0.79, 1.15)
Fatal or non-fatal stroked,e158 (3.2%) 205 (4.1%) 0.76 (0.62, 0.94)

16 How Supplied/Storage And Handling



Product: 50090-5467

NDC: 50090-5467-0 .5 mL in a SYRINGE / 4 in a CARTON


17 Patient Counseling Information



Advise the patient to read the FDA-approved patient labeling (Medication Guide and Instructions for Use)

  • Inform patients that TRULICITY causes benign and malignant thyroid C-cell tumors in rats and that the human relevance of this finding has not been determined. Counsel patients to report symptoms of thyroid tumors (e.g., a lump in the neck, persistent hoarseness, dysphagia, or dyspnea) to their physician [see Boxed Warning and Warnings and Precautions (5.1)].
  • Inform patients that persistent severe abdominal pain, that may radiate to the back and which may (or may not) be accompanied by vomiting, is the hallmark symptom of acute pancreatitis. Instruct patients to discontinue TRULICITY promptly, and to contact their physician, if persistent severe abdominal pain occurs [see Warnings and Precautions (5.2)].
  • Inform patients the risk of hypoglycemia may be increased when TRULICITY is used in combination with a medicine that can cause hypoglycemia, such as a sulfonylurea or insulin [see Warnings and Precautions (5.3)].
  • Advise patients of the potential risk of dehydration due to gastrointestinal adverse reactions and take precautions to avoid fluid depletion. Inform patients treated with TRULICITY of the potential risk for worsening renal function and explain the associated signs and symptoms of renal impairment, as well as the possibility of dialysis as a medical intervention if renal failure occurs [see Warnings and Precautions (5.5)].
  • Inform patients that serious hypersensitivity reactions have been reported with use of TRULICITY. Advise patients on the symptoms of hypersensitivity reactions and instruct them to stop taking TRULICITY and seek medical advice promptly if such symptoms occur [see Warnings and Precautions (5.4)].
  • Inform patients to contact their physician if changes in vision are experienced during treatment with TRULICITY [see Warnings and Precautions (5.7)].
  • Advise patients to inform their healthcare provider if they are pregnant or intend to become pregnant [see Use in Specific Populations (8.1)].
  • Inform patients if a dose is missed and there are at least 3 days (72 hours) until the next scheduled dose, they should administer it as soon as possible and then resume their usual once weekly dosing schedule. If a dose is missed and the next regularly scheduled dose is due in 1 or 2 days, inform the patient to not administer the missed dose and instead resume TRULICITY with the next regularly scheduled dose [see Dosage and Administration (2)].
  • Advise patients treated with TRULICITY of the potential risk of gastrointestinal side effects [see Adverse Reactions (6.1)].
  • Eli Lilly and Company, Indianapolis, IN 46285, USA

    US License Number 1891

    Copyright © 2014, 2020, Eli Lilly and Company. All rights reserved.

    TRU-0012-USPI-20200903


Spl Medguide



This Medication Guide has been approved by the U.S. Food and Drug Administration. Revised: September 2020

TRU-0006-MG-20200903

Medication Guide
TRULICITY® (TRU-li-si-tee)
(dulaglutide)
injection, for subcutaneous use
Read this Medication Guide before you start using TRULICITY and each time you get a refill. There may be new information. This information does not take the place of talking to your healthcare provider about your medical condition or your treatment.

What is the most important information I should know about TRULICITY?
TRULICITY may cause serious side effects, including:

  • Possible thyroid tumors, including cancer. Tell your healthcare provider if you get a lump or swelling in your neck, hoarseness, trouble swallowing, or shortness of breath. These may be symptoms of thyroid cancer. In studies with rats or mice, TRULICITY and medicines that work like TRULICITY caused thyroid tumors, including thyroid cancer. It is not known if TRULICITY will cause thyroid tumors or a type of thyroid cancer called medullary thyroid carcinoma (MTC) in people.
  • Do not use TRULICITY if you or any of your family have ever had a type of thyroid cancer called medullary thyroid carcinoma (MTC), or if you have an endocrine system condition called Multiple Endocrine Neoplasia syndrome type 2 (MEN 2).
What is TRULICITY?
  • TRULICITY is an injectable prescription medicine that is used:
    • along with diet and exercise to improve blood sugar (glucose) in adults with type 2 diabetes mellitus.
    • to reduce the risk of major cardiovascular events such as death, heart attack, or stroke in adults with type 2 diabetes mellitus with known heart disease or multiple cardiovascular risk factors.
    • It is not known if TRULICITY can be used in people who have had pancreatitis.
    • TRULICITY is not for use in people with type 1 diabetes.
    • TRULICITY is not recommended for use in people with severe stomach or intestinal problems.
    • It is not known if TRULICITY is safe and effective for use in children. TRULICITY should not be used in children under 18 years of age.
Do not use TRULICITY if:
  • you or any of your family have ever had a type of thyroid cancer called medullary thyroid carcinoma (MTC) or if you have an endocrine system condition called Multiple Endocrine Neoplasia syndrome type 2 (MEN 2).
  • you are allergic to dulaglutide or any of the ingredients in TRULICITY. See What are the possible side effects of TRULICITY? See the end of this Medication Guide for a complete list of ingredients in TRULICITY.
Before using TRULICITY, tell your healthcare provider about all of your medical conditions, including if you:
  • have or have had problems with your pancreas, kidneys or liver.
  • have severe problems with your stomach, such as slowed emptying of your stomach (gastroparesis) or problems with digesting food.
  • have a history of diabetic retinopathy.
  • are pregnant or plan to become pregnant. It is not known if TRULICITY will harm your unborn baby. Tell your healthcare provider if you become pregnant while using TRULICITY.
  • are breastfeeding or plan to breastfeed. It is not known if TRULICITY passes into your breast milk. You and your healthcare provider should decide if you should breastfeed while taking TRULICITY.
Tell your healthcare provider about all the medicines you take, including prescription and over-the-counter medicines, vitamins, and herbal supplements. TRULICITY may affect the way some medicines work and some medicines may affect the way TRULICITY works.
It is important to tell your healthcare provider if you are taking other medicines to treat diabetes including insulin or sulfonylureas.
Know the medicines you take. Keep a list of them to show your healthcare provider and pharmacist when you get a new medicine.
How should I use TRULICITY?
  • Read the Instructions for Use that comes with TRULICITY.
  • Use TRULICITY exactly as your healthcare provider tells you to.
  • TRULICITY is injected under the skin (subcutaneously) of your stomach (abdomen), thigh, or upper arm.
  • Use TRULICITY 1 time each week on the same day each week at any time of the day.
  • You may change the day of the week as long as your last dose was given 3 or more days before.
  • If you miss a dose of TRULICITY, take the missed dose as soon as possible if there are at least 3 days (72 hours) until your next scheduled dose. If there are less than 3 days remaining, skip the missed dose and take your next dose on the regularly scheduled day. Do not take 2 doses of TRULICITY within 3 days of each other.
  • TRULICITY may be taken with or without food.
  • Do not mix insulin and TRULICITY together in the same injection.
  • You may give an injection of TRULICITY and insulin in the same body area (such as, your stomach area), but not right next to each other.
  • Change (rotate) your injection site with each weekly injection. Do not use the same site for each injection.
  • If you take too much TRULICITY, call your healthcare provider or go to the nearest emergency room right away.

What are the possible side effects of TRULICITY?
TRULICITY may cause serious side effects, including:

  • See What is the most important information I should know about TRULICITY?
  • Inflammation of your pancreas (pancreatitis). Stop using TRULICITY and call your healthcare provider right away if you have severe pain in your stomach area (abdomen) that will not go away, with or without vomiting. You may feel the pain from your abdomen to your back.
  • Low blood sugar (hypoglycemia). Your risk for getting low blood sugar may be higher if you use TRULICITY with another medicine that can cause low blood sugar, such as a sulfonylurea or insulin.
  • Signs and symptoms of low blood sugar may include:
  • dizziness or light-headedness
  • sweating
  • confusion or drowsiness
  • headache
  • blurred vision
  • slurred speech
  • shakiness
  • fast heartbeat
  • anxiety, irritability, or mood changes
  • hunger
  • weakness
  • feeling jittery
  • Serious allergic reactions. Stop using TRULICITY and get medical help right away if you have any symptoms of a serious allergic reaction including:
  • swelling of your face, lips, tongue or throat
  • problems breathing or swallowing
  • severe rash or itching
  • fainting or feeling dizzy
  • very rapid heartbeat
  • Kidney problems (kidney failure). In people who have kidney problems, diarrhea, nausea, and vomiting may cause a loss of fluids (dehydration) which may cause kidney problems to get worse.
  • Severe stomach problems. Other medicines like TRULICITY may cause severe stomach problems. It is not known if TRULICITY causes or worsens stomach problems.
  • Changes in vision. Tell your healthcare provider if you have changes in vision during treatment with TRULICITY.
The most common side effects of TRULICITY may include:
  • nausea
  • diarrhea
  • vomiting
  • stomach (abdominal) pain
  • decreased appetite
Tell your healthcare provider if you have any side effect that bothers you or that does not go away. These are not all the possible side effects of TRULICITY.
Call your doctor for medical advice about side effects. You may report side effects to FDA at 1-800-FDA-1088.
General information about the safe and effective use of TRULICITY.
Medicines are sometimes prescribed for purposes other than those listed in a Medication Guide. Do not use TRULICITY for a condition for which it was not prescribed. Do not give TRULICITY to other people, even if they have the same symptoms you have. It may harm them.
This Medication Guide summarizes the most important information about TRULICITY. If you would like more information, talk with your healthcare provider. You can ask your pharmacist or healthcare provider for information about TRULICITY that is written for health professionals.
What are the ingredients in TRULICITY?
Active ingredient: dulaglutide
Inactive ingredients: citric acid anhydrous, mannitol, polysorbate 80, trisodium citrate dihydrate, in water for injection

TRULICITY® is a registered trademark of Eli Lilly and Company.
Manufactured by: Eli Lilly and Company, Indianapolis, IN 46285, USA, US License Number 1891
www.TRULICITY.com.
Copyright © 2014, 2020 Eli Lilly and Company. All rights reserved.
For more information, go to www.TRULICITY.com or call 1-800-545-5979.

Instructions For Use



Instructions for Use
TRULICITY® (TRU-li-si-tee)
(dulaglutide)
injection, for subcutaneous use
0.75 mg/0.5 mL Single-Dose Pen
use 1 time each week (once weekly)


Information About TRULICITY Single-Dose Pen
Please read this Instructions for Use and the Medication Guide carefully and completely before using your TRULICITY Single-Dose Pen. Talk to your healthcare provider about how to inject TRULICITY the right way.
  • TRULICITY Single-Dose Pen (Pen) is a disposable, prefilled medicine delivery device. Each Pen contains 1 dose of TRULICITY (0.75 mg/0.5 mL). Each Pen should only be used 1 time.
  • TRULICITY is used 1 time each week. You may want to mark your calendar to remind you when to take your next dose.
Before You Get Started

RemoveCheckInspectPrepare
Remove the Pen from the refrigerator.
Leave the Base Cap on until you are ready to inject.
Check the Pen label to make sure you have the right medicine and it has not expired.

Check the Pen to make sure that it is not damaged and inspect the medicine to make sure it is not cloudy, discolored or has particles in it. Wash your hands.
Choose Your Injection Site
  • Your healthcare provider can help you choose the injection site that is best for you.
  • You may inject the medicine into your stomach (abdomen) or thigh.
  • Another person may give you the injection in your upper arm.
  • Change (rotate) your injection site each week. You may use the same area of your body, but be sure to choose a different injection site in that area.


Step 1 Uncap the Pen

Make sure the Pen is locked.

  • Pull the Base Cap straight off and throw it away in your household trash.

    Do not put the Base Cap back on — this could damage the needle.

    Do not touch the needle.

Step 2 Place and Unlock
  • Place the Clear Base flat and firmly against your skin at the injection site.

    Unlock by turning the Lock Ring.


Step 3 Press and Hold
  • Press and hold the green Injection Button. You will hear a loud click.

    Continue holding the Clear Base firmly against your skin until you hear a second click. This happens when the needle starts retracting in about 5-10 seconds.

  • Remove the Pen from your skin.


You will know your injection is complete when the gray plunger is visible.
made of a heavy-duty plastic,
  • can be closed with a tight-fitting, puncture-resistant lid, without sharps being able to come out,
  • upright and stable during use,
  • leak-resistant, and
  • properly labeled to warn of hazardous waste inside the container.
  • When your sharps disposal container is almost full, you will need to follow your community guidelines for the right way to dispose of your sharps disposal container. There may be state or local laws about how you should throw away used needles and syringes. For more information about safe sharps disposal, and for specific information about sharps disposal in the state that you live in, go to the FDA's website at: http://www.fda.gov/safesharpsdisposal.
  • Do not recycle your used sharps disposal container.
  • Important Information
    Disposal of Pen
    Storage and Handling
    Commonly Asked Questions
    Other Information
    Where to Learn More
    Disposing of Your Used Pens
    • Put your used Pens in a FDA-cleared sharps disposal container right away after use. Do not throw away (dispose of) Pens in your household trash.
    • If you do not have a FDA-cleared sharps disposal container, you may use a household container that is:
    - - - - -

    Storage and Handling
    • Store your Pen in the refrigerator between 36°F to 46°F (2°C to 8°C).
    • You may store your Pen at room temperature below 86°F (30°C) for up to a total of 14 days.
    • Do not freeze your Pen. If the Pen has been frozen, throw the Pen away and use a new Pen.
    • Storage of your Pen in the original carton is recommended. Protect your Pen from direct heat and light.
    • The Pen has glass parts. Handle it carefully. If you drop it on a hard surface, do not use it. Use a new Pen for your injection.
    • Keep your TRULICITY Pen and all medicines out of the reach of children.
    Commonly Asked Questions
    What if I see air bubbles in my Pen?
    Air bubbles are normal.
    What if I unlock the Pen and press the green Injection Button before pulling off the Base Cap?
    Do not remove the Base Cap. Throw away the Pen and get a new Pen.
    What if there is a drop of liquid on the tip of the needle when I remove the Base Cap?
    A drop of liquid on the tip of the needle is normal.
    Do I need to hold the Injection Button down until the injection is complete?
    This is not necessary, but it may help you keep the Pen steady and firm against your skin.
    I heard more than 2 clicks during my injection—2 louder clicks and 1 soft one. Did I get my complete injection?
    Some patients may hear a soft click right before the second loud click. That is the normal operation of the Pen. Do not remove the Pen from your skin until you hear the second louder click.
    What if there is a drop of liquid or blood on my skin after my injection?
    This is normal.
    I am not sure if my Pen worked the right way.
    Check to see if you have received your dose. Your dose was delivered the right way if the gray plunger is visible (see step 3). Also contact Lilly at 1-800-Lilly-Rx (1-800-545-5979) for further instructions. Until then, store your Pen safely to avoid an accidental needle stick.
    Other Information
    • If you have vision problems, do not use your Pen without help from a person trained to use the TRULICITY Pen.
    Where to Learn More
    • If you have any questions or problems with your TRULICITY Single-Dose Pen, contact Lilly at 1-800-Lilly-Rx (1-800-545-5979) or call your healthcare provider.
    • For more information about TRULICITY Single-Dose Pen, visit our website at: www.trulicity.com.

    SCAN THIS CODE TO LAUNCH
    www.trulicity.com

    This Instructions for Use has been approved by the U.S. Food and Drug Administration.
    Eli Lilly and Company
    Indianapolis, IN 46285, USA
    US License Number 1891
    TRULICITY is a registered trademark of Eli Lilly and Company.

    Copyright © 2014, 2018, Eli Lilly and Company. All rights reserved.

    The TRULICITY Pen meets the current dose accuracy and functional requirements of ISO 11608-1:2012 and 11608-5:2012.

    Revised: 09/2018

    TRULOAI-0003-IFU-20180921
    Instructions for Use
    TRULICITY® (TRU-li-si-tee)
    (dulaglutide)
    injection, for subcutaneous use
    1.5 mg/0.5 mL Single-Dose Pen
    use 1 time each week (once weekly)

    Information About TRULICITY Single-Dose Pen
    Please read this Instructions for Use and the Medication Guide carefully and completely before using your TRULICITY Single-Dose Pen. Talk to your healthcare provider about how to inject TRULICITY the right way.
    • TRULICITY Single-Dose Pen (Pen) is a disposable, prefilled medicine delivery device. Each Pen contains 1 dose of TRULICITY (1.5 mg/0.5 mL). Each Pen should only be used 1 time.
    • TRULICITY is used 1 time each week. You may want to mark your calendar to remind you when to take your next dose.
    Before You Get Started

    RemoveCheckInspectPrepare
    Remove the Pen from the refrigerator.
    Leave the Base Cap on until you are ready to inject.
    Check the Pen label to make sure you have the right medicine and it has not expired.

    Check the Pen to make sure that it is not damaged and inspect the medicine to make sure it is not cloudy, discolored or has particles in it. Wash your hands.
    Choose Your Injection Site
    • Your healthcare provider can help you choose the injection site that is best for you.
    • You may inject the medicine into your stomach (abdomen) or thigh.
    • Another person may give you the injection in your upper arm.
    • Change (rotate) your injection site each week. You may use the same area of your body, but be sure to choose a different injection site in that area.

    Step 1 Uncap the Pen

    Make sure the Pen is locked.

    • Pull the Base Cap straight off and throw it away in your household trash.

      Do not put the Base Cap back on — this could damage the needle.

      Do not touch the needle.


    Step 2 Place and Unlock

    • Place the Clear Base flat and firmly against your skin at the injection site.

      Unlock by turning the Lock Ring.


    Step 3 Press and Hold
    • Press and hold the green Injection Button. You will hear a loud click.

      Continue holding the Clear Base firmly against your skin until you hear a second click. This happens when the needle starts retracting in about 5-10 seconds.

    • Remove the Pen from your skin.






    You will know your injection is complete when the gray plunger is visible.
    made of a heavy-duty plastic,
  • can be closed with a tight-fitting, puncture-resistant lid, without sharps being able to come out,
  • upright and stable during use,
  • leak-resistant, and
  • properly labeled to warn of hazardous waste inside the container.
  • When your sharps disposal container is almost full, you will need to follow your community guidelines for the right way to dispose of your sharps disposal container. There may be state or local laws about how you should throw away used needles and syringes. For more information about safe sharps disposal, and for specific information about sharps disposal in the state that you live in, go to the FDA's website at: http://www.fda.gov/safesharpsdisposal.
  • Do not recycle your used sharps disposal container.
  • Important Information
    Disposal of Pen
    Storage and Handling
    Commonly Asked Questions
    Other Information
    Where to Learn More
    Disposing of Your Used Pens
    • Put your used Pens in a FDA-cleared sharps disposal container right away after use. Do not throw away (dispose of) Pens in your household trash.
    • If you do not have a FDA-cleared sharps disposal container, you may use a household container that is:
    - - - - -

    Storage and Handling
    • Store your Pen in the refrigerator between 36°F to 46°F (2°C to 8°C).
    • You may store your Pen at room temperature below 86°F (30°C) for up to a total of 14 days.
    • Do not freeze your Pen. If the Pen has been frozen, throw the Pen away and use a new Pen.
    • Storage of your Pen in the original carton is recommended. Protect your Pen from direct heat and light.
    • The Pen has glass parts. Handle it carefully. If you drop it on a hard surface, do not use it. Use a new Pen for your injection.
    • Keep your TRULICITY Pen and all medicines out of the reach of children.
    Commonly Asked Questions
    What if I see air bubbles in my Pen?
    Air bubbles are normal.
    What if I unlock the Pen and press the green Injection Button before pulling off the Base Cap?
    Do not remove the Base Cap. Throw away the Pen and get a new Pen.
    What if there is a drop of liquid on the tip of the needle when I remove the Base Cap?
    A drop of liquid on the tip of the needle is normal.
    Do I need to hold the Injection Button down until the injection is complete?
    This is not necessary, but it may help you keep the Pen steady and firm against your skin.
    I heard more than 2 clicks during my injection—2 louder clicks and 1 soft one. Did I get my complete injection?
    Some patients may hear a soft click right before the second loud click. That is the normal operation of the Pen. Do not remove the Pen from your skin until you hear the second louder click.
    What if there is a drop of liquid or blood on my skin after my injection?
    This is normal.
    I am not sure if my Pen worked the right way.
    Check to see if you have received your dose. Your dose was delivered the right way if the gray plunger is visible (see step 3). Also contact Lilly at 1-800-Lilly-Rx (1-800-545-5979) for further instructions. Until then, store your Pen safely to avoid an accidental needle stick.
    Other Information
    • If you have vision problems, do not use your Pen without help from a person trained to use the TRULICITY Pen.
    Where to Learn More
    • If you have any questions or problems with your TRULICITY Single-Dose Pen, contact Lilly at 1-800-Lilly-Rx (1-800-545-5979) or call your healthcare provider.
    • For more information about TRULICITY Single-Dose Pen, visit our website at: www.trulicity.com.

    SCAN THIS CODE TO LAUNCH
    www.trulicity.com

    This Instructions for Use has been approved by the U.S. Food and Drug Administration.
    Eli Lilly and Company
    Indianapolis, IN 46285, USA
    US License Number 1891

    TRULICITY is a registered trademark of Eli Lilly and Company.
    Copyright © 2014, 2018, Eli Lilly and Company. All rights reserved.
    The TRULICITY Pen meets the current dose accuracy and functional requirements of ISO 11608-1:2012 and 11608-5:2012.

    Revised: 09/2018


    TRUHIAI-0003-IFU-20180921
    Instructions for Use
    TRULICITY® (TRU-li-si-tee)
    (dulaglutide)
    injection, for subcutaneous use
    3 mg/0.5 mL Single-Dose Pen
    use 1 time each week (once weekly)

    Information About TRULICITY Single-Dose Pen

    Please read this Instructions for Use and the Medication Guide carefully and completely before using your TRULICITY Single-Dose Pen. Talk to your healthcare provider about how to inject TRULICITY the right way.

    • TRULICITY Single-Dose Pen (Pen) is a disposable, prefilled medicine delivery device. Each Pen contains 1 dose of TRULICITY (3 mg/0.5 mL). Each Pen should only be used 1 time.
    • TRULICITY is used 1 time each week. You may want to mark your calendar to remind you when to take your next dose.
    • Before You Get Started

      RemoveCheckInspectPrepare
      Remove the Pen from the refrigerator.
      Leave the Base Cap on until you are ready to inject.
      Check the Pen label to make sure you have the right medicine and it has not expired.
      Expiration Date

      Check the Pen to make sure that it is not damaged and inspect the medicine to make sure it is not cloudy, discolored or has particles in it. Wash your hands.

      Choose Your Injection Site

      • Your healthcare provider can help you choose the injection site that is best for you.
      • You may inject the medicine into your stomach (abdomen) or thigh.
      • Another person may give you the injection in your upper arm.
      • Change (rotate) your injection site each week. You may use the same area of your body, but be sure to choose a different injection site in that area.

      Step 1 Uncap the Pen
      Make sure the Pen is locked.

      • Pull the Base Cap straight off and throw it away in your household trash.
        Do not put the Base Cap back on — this could damage the needle.
        Do not touch the needle.

      Step 2 Place and Unlock
      • Place the Clear Base flat and firmly against your skin at the injection site.

      • Unlock by turning the Lock Ring.


      Step 3 Press and Hold
      • Press and hold the green Injection Button. You will hear a loud click.
        Continue holding the Clear Base firmly against your skin until you hear a second click. This happens when the needle starts retracting in about 5-10 seconds.

      • Remove the Pen from your skin.

      Important Information

      Disposal of Pen

      Storage and Handling

      Commonly Asked Questions

      Other Information

      Where to Learn More

      made of a heavy-duty plastic,
    • can be closed with a tight-fitting, puncture-resistant lid, without sharps being able to come out,
    • upright and stable during use,
    • leak-resistant, and
    • properly labeled to warn of hazardous waste inside the container.
    • When your sharps disposal container is almost full, you will need to follow your community guidelines for the right way to dispose of your sharps disposal container. There may be state or local laws about how you should throw away used needles and syringes. For more information about safe sharps disposal, and for specific information about sharps disposal in the state that you live in, go to the FDA's website at: http://www.fda.gov/safesharpsdisposal.
    • Do not recycle your used sharps disposal container.
    • Disposing of Your Used Pens
      • Put your used Pens in a FDA-cleared sharps disposal container right away after use. Do not throw away (dispose of) Pens in your household trash.
      • If you do not have a FDA-cleared sharps disposal container, you may use a household container that is:
      -----

      Storage and Handling

      • Store your Pen in the refrigerator between 36°F to 46°F (2°C to 8°C).
      • You may store your Pen at room temperature below 86°F (30°C) for a total of 14 days.
      • Do not freeze your Pen. If the Pen has been frozen, throw the Pen away and use a new Pen.
      • Storage of your Pen in the original carton is recommended. Protect your Pen from direct heat and light.
      • The Pen has glass parts. Handle it carefully. If you drop it on a hard surface, do not use it. Use a new Pen for your injection.
      • Keep your TRULICITY Pen and all medicines out of the reach of children.
      • Commonly Asked Questions

        What if I see air bubbles in my Pen?

        Air bubbles are normal.

        What if I unlock the Pen and press the green Injection Button before pulling off the Base Cap?

        Do not remove the Base Cap. Throw away the Pen and get a new Pen.

        What if there is a drop of liquid on the tip of the needle when I remove the Base Cap?

        A drop of liquid on the tip of the needle is normal.

        Do I need to hold the Injection Button down until the injection is complete?

        This is not necessary, but it may help you keep the Pen steady and firm against your skin.

        I heard more than 2 clicks during my injection—2 louder clicks and 1 soft one. Did I get my complete injection?

        Some people may hear a soft click right before the second loud click. That is the normal operation of the Pen. Do not remove the Pen from your skin until you hear the second louder click.

        What if there is a drop of liquid or blood on my skin after my injection?

        This is normal.

        I am not sure if my Pen worked the right way.

        Check to see if you have received your dose. Your dose was delivered the right way if the gray plunger is visible (see step 3). Also contact Lilly at 1-800-Lilly-Rx (1-800-545-5979) for further instructions. Until then, store your Pen safely to avoid an accidental needle stick.

        Other Information

        • If you have vision problems, do not use your Pen without help from a person trained to use the TRULICITY Pen.
        • Where to Learn More

          • If you have any questions or problems with your TRULICITY Single-Dose Pen, contact Lilly at 1-800-Lilly-Rx (1-800-545-5979) or call your healthcare provider.
          • For more information about TRULICITY Single-Dose Pen, visit our website at: www.trulicity.com.

          • Scan this code to launch
            www.trulicity.com

            This Instructions for Use has been approved by the U.S. Food and Drug Administration.

            Eli Lilly and Company
            Indianapolis, IN 46285, USA
            US License Number 1891
            TRULICITY is a registered trademark of Eli Lilly and Company.

            Copyright © 2020, Eli Lilly and Company. All rights reserved.

            The TRULICITY Pen meets the current dose accuracy and functional requirements of ISO 11608-1:2012 and 11608-5:2012.

            Approved: 09/2020

            TRU3MG-0001-IFU-20200903

            Instructions for Use
            TRULICITY® (TRU-li-si-tee)
            (dulaglutide)
            injection, for subcutaneous use
            4.5 mg/0.5 mL Single-Dose Pen
            use 1 time each week (once weekly)



            Information About TRULICITY Single-Dose Pen

            Please read this Instructions for Use and the Medication Guide carefully and completely before using your TRULICITY Single-Dose Pen. Talk to your healthcare provider about how to inject TRULICITY the right way.

            • TRULICITY Single-Dose Pen (Pen) is a disposable, prefilled medicine delivery device. Each Pen contains 1 dose of TRULICITY (4.5 mg/0.5 mL). Each Pen should only be used 1 time.
            • TRULICITY is used 1 time each week. You may want to mark your calendar to remind you when to take your next dose.
            • Before You Get Started

              RemoveCheckInspectPrepare
              Remove the Pen from the refrigerator.
              Leave the Base Cap on until you are ready to inject.
              Check the Pen label to make sure you have the right medicine and it has not expired.
              Expiration Date

              Check the Pen to make sure that it is not damaged and inspect the medicine to make sure it is not cloudy, discolored or has particles in it. Wash your hands.

              Choose Your Injection Site

              • Your healthcare provider can help you choose the injection site that is best for you.
              • You may inject the medicine into your stomach (abdomen) or thigh.
              • Another person may give you the injection in your upper arm.
              • Change (rotate) your injection site each week. You may use the same area of your body, but be sure to choose a different injection site in that area.

              Step 1 Uncap the Pen
              Make sure the Pen is locked.

              • Pull the Base Cap straight off and throw it away in your household trash.
                Do not put the Base Cap back on — this could damage the needle.
                Do not touch the needle.

              Step 2 Place and Unlock
              • Place the Clear Base flat and firmly against your skin at the injection site.

              • Unlock by turning the Lock Ring.


              Step 3 Press and Hold
              • Press and hold the green Injection Button. You will hear a loud click.
                Continue holding the Clear Base firmly against your skin until you hear a second click. This happens when the needle starts retracting in about 5-10 seconds.

              • Remove the Pen from your skin.

              Important Information

              Disposal of Pen

              Storage and Handling

              Commonly Asked Questions

              Other Information

              Where to Learn More

              made of a heavy-duty plastic,
            • can be closed with a tight-fitting, puncture-resistant lid, without sharps being able to come out,
            • upright and stable during use,
            • leak-resistant, and
            • properly labeled to warn of hazardous waste inside the container.
            • When your sharps disposal container is almost full, you will need to follow your community guidelines for the right way to dispose of your sharps disposal container. There may be state or local laws about how you should throw away used needles and syringes. For more information about safe sharps disposal, and for specific information about sharps disposal in the state that you live in, go to the FDA's website at: http://www.fda.gov/safesharpsdisposal.
            • Do not recycle your used sharps disposal container.
            • Disposing of Your Used Pens
              • Put your used Pens in a FDA-cleared sharps disposal container right away after use. Do not throw away (dispose of) Pens in your household trash.
              • If you do not have a FDA-cleared sharps disposal container, you may use a household container that is:
              -----

              Storage and Handling

              • Store your Pen in the refrigerator between 36°F to 46°F (2°C to 8°C).
              • You may store your Pen at room temperature below 86°F (30°C) for a total of 14 days.
              • Do not freeze your Pen. If the Pen has been frozen, throw the Pen away and use a new Pen.
              • Storage of your Pen in the original carton is recommended. Protect your Pen from direct heat and light.
              • The Pen has glass parts. Handle it carefully. If you drop it on a hard surface, do not use it. Use a new Pen for your injection.
              • Keep your TRULICITY Pen and all medicines out of the reach of children.
              • Commonly Asked Questions

                What if I see air bubbles in my Pen?

                Air bubbles are normal.

                What if I unlock the Pen and press the green Injection Button before pulling off the Base Cap?

                Do not remove the Base Cap. Throw away the Pen and get a new Pen.

                What if there is a drop of liquid on the tip of the needle when I remove the Base Cap?

                A drop of liquid on the tip of the needle is normal.

                Do I need to hold the Injection Button down until the injection is complete?

                This is not necessary, but it may help you keep the Pen steady and firm against your skin.

                I heard more than 2 clicks during my injection—2 louder clicks and 1 soft one. Did I get my complete injection?

                Some people may hear a soft click right before the second loud click. That is the normal operation of the Pen. Do not remove the Pen from your skin until you hear the second louder click.

                What if there is a drop of liquid or blood on my skin after my injection?

                This is normal.

                I am not sure if my Pen worked the right way.

                Check to see if you have received your dose. Your dose was delivered the right way if the gray plunger is visible (see step 3). Also contact Lilly at 1-800-Lilly-Rx (1-800-545-5979) for further instructions. Until then, store your Pen safely to avoid an accidental needle stick.

                Other Information

                • If you have vision problems, do not use your Pen without help from a person trained to use the TRULICITY Pen.
                • Where to Learn More

                  • If you have any questions or problems with your TRULICITY Single-Dose Pen, contact Lilly at 1-800-Lilly-Rx (1-800-545-5979) or call your healthcare provider.
                  • For more information about TRULICITY Single-Dose Pen, visit our website at: www.trulicity.com.

                  • Scan this code to launch
                    www.trulicity.com

                    This Instructions for Use has been approved by the U.S. Food and Drug Administration.
                    Eli Lilly and Company
                    Indianapolis, IN 46285, USA
                    US License Number 1891
                    TRULICITY is a registered trademark of Eli Lilly and Company.

                    Copyright © 2020, Eli Lilly and Company. All rights reserved.

                    The TRULICITY Pen meets the current dose accuracy and functional requirements of ISO 11608-1:2012 and 11608-5:2012.

                    Approved: 09/2020

                    TRU4.5MG-0001-IFU-20200903


    * Please review the disclaimer below.