Product Images Valsartan
View Photos of Packaging, Labels & Appearance
Product Label Images
The following 5 images provide visual information about the product associated with Valsartan NDC 50090-6346 by A-s Medication Solutions, such as packaging, labeling, and the appearance of the drug itself. This resource could be helpful for medical professionals, pharmacists, and patients seeking to verify medication information and ensure they have the correct product.
Label Image - lbl500906346

This appears to be a description of a medication called YRLsartan, with a strength of 326 mg. The medication comes in a container with 30 tablets and a product number of 6358-0. The other text is not clear and appears to contain errors.*
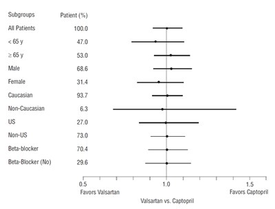
valsartantabfig1 - valsartantabfig1

This is a table providing the demographic subgroups of patients, categorized by age, gender, race, US residency, and use of beta-blockers. The table also presents the percentages of patients in each subgroup, along with their preference for either Valsartan or Captopril.*
* The product label images have been analyzed using a combination of traditional computing and machine learning techniques. It should be noted that the descriptions provided may not be entirely accurate as they are experimental in nature. Use the information in this page at your own discretion and risk.