Product Images Atomoxetine

View Photos of Packaging, Labels & Appearance

Product Label Images

The following 3 images provide visual information about the product associated with Atomoxetine NDC 50090-6703 by A-s Medication Solutions, such as packaging, labeling, and the appearance of the drug itself. This resource could be helpful for medical professionals, pharmacists, and patients seeking to verify medication information and ensure they have the correct product.

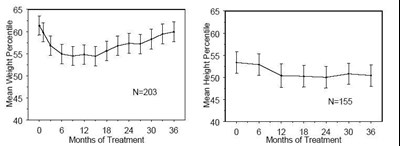
Figure 1: Mean Weight and Height Percentiles Over Time for Patients With Three Years of Atomoxetine Treatment - atomoxetine fig1

Figure 1: Mean Weight and Height Percentiles Over Time for Patients With Three Years of Atomoxetine Treatment - atomoxetine fig1

chemical structure - atomoxetine str

chemical structure - atomoxetine str

Label Image - lbl500906703

Label Image - lbl500906703