FDA Label for Ketorolac Tromethamine
View Indications, Usage & Precautions
- DESCRIPTION
- PHARMACODYNAMICS
- PHARMACOKINETICS
- COMPARISON OF INTRAVENOUS, INTRAMUSCULAR AND ORAL PHARMACOKINETICS
- LINEAR KINETICS
- ABSORPTION
- DISTRIBUTION
- METABOLISM
- EXCRETION
- ACCUMULATION
- GERIATRIC PATIENTS
- PEDIATRIC PATIENTS
- RENAL INSUFFICIENCY
- HEPATIC INSUFFICIENCY
- RACE
- INTRAVENOUS ADMINISTRATION
- ADULT PATIENTS
- INDICATIONS AND USAGE
- ACUTE PAIN IN ADULT PATIENTS
- CONTRAINDICATIONS
- WARNINGS
- GASTROINTESTINAL EFFECTS – RISK OF ULCERATION, BLEEDING, AND PERFORATION
- HEMORRHAGE
- RENAL EFFECTS
- IMPAIRED RENAL FUNCTION
- ANAPHYLACTOID REACTIONS
- CARDIOVASCULAR THROMBOTIC EVENTS
- HYPERTENSION
- HEART FAILURE AND EDEMA
- SKIN REACTIONS
- GENERAL
- HEPATIC EFFECT
- HEMATOLOGIC EFFECT
- PREEXISTING ASTHMA
- INFORMATION FOR PATIENTS
- LABORATORY TESTS
- DRUG INTERACTIONS
- WARFARIN, DIGOXIN, SALICYLATE, AND HEPARIN
- ASPIRIN
- DIURETICS
- PROBENECID
- LITHIUM
- METHOTREXATE
- ACE INHIBITORS/ANGIOTENSIN II RECEPTOR ANTAGONISTS
- ANTIEPILEPTIC DRUGS
- PSYCHOACTIVE DRUGS
- PENTOXIFYLLINE
- NONDEPOLARIZING MUSCLE RELAXANTS
- SELECTIVE SEROTONIN REUPTAKE INHIBITORS (SSRIS)
- CARCINOGENESIS, MUTAGENESIS AND IMPAIRMENT OF FERTILITY
- PREGNANCY
- LABOR AND DELIVERY
- EFFECTS ON FERTILITY
- NURSING MOTHERS
- PEDIATRIC USE
- GERIATRIC USE (≥ 65 YEARS OF AGE)
- ADVERSE REACTIONS
- SYMPTOMS AND SIGNS
- TREATMENT
- DOSAGE AND ADMINISTRATION
- HOW SUPPLIED
- SPL MEDGUIDE
Ketorolac Tromethamine Product Label
The following document was submitted to the FDA by the labeler of this product A-s Medication Solutions. The document includes published materials associated whith this product with the essential scientific information about this product as well as other prescribing information. Product labels may durg indications and usage, generic names, contraindications, active ingredients, strength dosage, routes of administration, appearance, warnings, inactive ingredients, etc.
Description
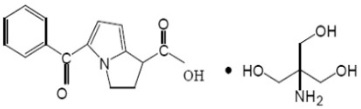
Ketorolac tromethamine, USP is a member of the pyrrolo-pyrrole group of nonsteroidal anti-inflammatory drugs (NSAIDs). The chemical name for ketorolac tromethamine, USP is (±)-5-benzoyl-2,3-dihydro-1H-pyrrolizine-1-carboxylic acid, compound with 2-amino-2-(hydroxymethyl)-1,3-propanediol (1:1), and the chemical structure is:
Ketorolac tromethamine, USP is a racemic mixture of [-]S and [+]R ketorolac tromethamine. Ketorolac tromethamine, USP is white to off white, crystalline powder. Freely soluble in water and methanol, slightly soluble in alcohol, dehydrated alcohol and tetrahydrofuran, practically insoluble in acetone, dichloromethane, toluene, ethyl acetate, dioxane, hexane, butyl alcohol and acetonitrile. Ketorolac tromethamine, USP has a pKa of 3.5 and an n‑octanol/water partition coefficient of 0.26. The molecular weight of ketorolac tromethamine is 376.40 g/mol. Its molecular formula is C 15H 13NO 3•C 4H 11NO 3.
Ketorolac tromethamine tablets, USP are available as round, white, unscored, film-coated tablets. Each film-coated tablet, for oral administration, contains 10 mg ketorolac tromethamine, USP, the active ingredient, with added colloidal silicon dioxide, croscarmellose sodium, lactose monohydrate, magnesium stearate, and microcrystalline cellulose. The white film-coating contains hypromellose, polydextrose, polyethylene glycol, sodium lauryl sulfate, titanium dioxide, and triacetin.
FDA approved dissolution test specifications differ from USP.
Pharmacodynamics
Ketorolac tromethamine is a nonsteroidal anti-inflammatory drug (NSAID) that exhibits analgesic activity in animal models. The mechanism of action of ketorolac, like that of other NSAIDs, is not completely understood but may be related to prostaglandin synthetase inhibition. The biological activity of ketorolac tromethamine is associated with the S-form. Ketorolac tromethamine possesses no sedative or anxiolytic properties.
The peak analgesic effect of ketorolac tromethamine occurs within 2 hours to 3 hours and is not statistically significantly different over the recommended dosage range of ketorolac tromethamine. The greatest difference between large and small doses of ketorolac tromethamine is in the duration of analgesia.
Pharmacokinetics
Ketorolac tromethamine is a racemic mixture of [-]S- and [+]R-enantiomeric forms, with the S-form having analgesic activity.
Comparison Of Intravenous, Intramuscular And Oral Pharmacokinetics
The pharmacokinetics of ketorolac tromethamine, following intravenous and intramuscular doses of ketorolac tromethamine and oral doses of ketorolac tromethamine, are compared in Table 1. In adults, the extent of bioavailability following administration of the ORAL form of ketorolac tromethamine and the intramuscular form of ketorolac tromethamine was equal to that following an intravenous bolus.
Linear Kinetics
In adults, following administration of single ORAL doses of ketorolac tromethamine or intramuscular or intravenous doses of ketorolac tromethamine in the recommended dosage ranges, the clearance of the racemate does not change. This implies that the pharmacokinetics of ketorolac tromethamine in adults, following single or multiple intramuscular or intravenous doses of ketorolac tromethamine or recommended oral doses of ketorolac tromethamine, are linear. At the higher recommended doses, there is a proportional increase in the concentrations of free and bound racemate.
Absorption
Ketorolac tromethamine is 100% absorbed after oral administration (see Table 1). Oral administration of ketorolac tromethamine after a high-fat meal resulted in decreased peak and delayed time-to-peak concentrations of ketorolac tromethamine by about 1 hour. Antacids did not affect the extent of absorption.
Distribution
The mean apparent volume (V ꞵ) of ketorolac tromethamine following complete distribution was approximately 13 liters. This parameter was determined from single-dose data. The ketorolac tromethamine racemate has been shown to be highly protein bound (99%). Nevertheless, plasma concentrations as high as 10 mcg/mL will only occupy approximately 5% of the albumin binding sites. Thus, the unbound fraction for each enantiomer will be constant over the therapeutic range. A decrease in serum albumin, however, will result in increased free drug concentrations.
Ketorolac tromethamine is excreted in human milk (see PRECAUTIONS, Nursing Mothers).
Metabolism
Ketorolac tromethamine is largely metabolized in the liver. The metabolic products are hydroxylated and conjugated forms of the parent drug. The products of metabolism, and some unchanged drug, are excreted in the urine.
Excretion
The principal route of elimination of ketorolac and its metabolites is renal. About 92% of a given dose is found in the urine, approximately 40% as metabolites and 60% as unchanged ketorolac. Approximately 6% of a dose is excreted in the feces. A single-dose study with 10 mg ketorolac tromethamine (n = 9) demonstrated that the S-enantiomer is cleared approximately two times faster than the R-enantiomer and that the clearance was independent of the route of administration. This means that the ratio of S/R plasma concentrations decreases with time after each dose. There is little or no inversion of the R- to S- form in humans. The clearance of the racemate in normal subjects, elderly individuals and in hepatically and renally impaired patients is outlined in Table 2 (see CLINICAL PHARMACOLOGY, Kinetics in Special Populations).
The half-life of the ketorolac tromethamine S-enantiomer was approximately 2.5 hours (SD ± 0.4) compared with 5 hours (SD ± 1.7) for the R-enantiomer. In other studies, the half-life for the racemate has been reported to lie within the range of 5 hours to 6 hours.
Accumulation
Ketorolac tromethamine administered as an intravenous bolus every 6 hours for 5 days to healthy subjects (n = 13), showed no significant difference in C max on Day 1 and Day 5. Trough levels averaged 0.29 mcg/mL (SD ± 0.13) on Day 1 and 0.55 mcg/mL (SD ± 0.23) on Day 6. Steady state was approached after the fourth dose.
Accumulation of ketorolac tromethamine has not been studied in special populations (geriatric, pediatric, renal failure or hepatic disease patients).
Geriatric Patients
Based on single-dose data only, the half-life of the ketorolac tromethamine racemate increased from 5 hours to 7 hours in the elderly (65 years to 78 years) compared with young healthy volunteers (24 years to 35 years) (see Table 2). There was little difference in the C max for the two groups (elderly, 2.52 mcg/mL ± 0.77; young, 2.99 mcg/mL ± 1.03) (see PRECAUTIONS, Geriatric Use (≥ 65 Years of Age) ).
Pediatric Patients
Limited information is available regarding the pharmacokinetics of dosing of ketorolac tromethamine in the pediatric population. Following a single intravenous bolus dose of 0.5 mg/kg in 10 children 4 years to 8 years old, the half-life was 5.8 hours ± 1.6 hours, the average clearance was 0.042 L/hr/kg ± 0.01 L/hr/kg, the volume of distribution during the terminal phase (V ꞵ) was 0.34 L/kg ± 0.12 L/kg and the volume of distribution at steady state (V ss) was 0.26 L/kg ± 0.08 L/kg. The volume of distribution and clearance of ketorolac in pediatric patients was higher than those observed in adult subjects (see Table 1). There are no pharmacokinetic data available for administration of ketorolac tromethamine by the intramuscular route in pediatric patients.
There are no data available to support the use of ketorolac tromethamine tablets in pediatric patients.
Renal Insufficiency
Based on single-dose data only, the mean half-life of ketorolac tromethamine in renally impaired patients is between 6 hours and 19 hours and is dependent on the extent of the impairment. There is poor correlation between creatinine clearance and total ketorolac tromethamine clearance in the elderly and populations with renal impairment (r = 0.5).
In patients with renal disease, the AUC ∞ of each enantiomer increased by approximately 100% compared with healthy volunteers. The volume of distribution doubles for the S-enantiomer and increases by 1/5th for the R-enantiomer. The increase in volume of distribution of ketorolac tromethamine implies an increase in unbound fraction.
The AUC ∞-ratio of the ketorolac tromethamine enantiomers in healthy subjects and patients remained similar, indicating there was no selective excretion of either enantiomer in patients compared to healthy subjects (see WARNINGS, Renal Effects).
Hepatic Insufficiency
There was no significant difference in estimates of half-life, AUC ∞ and C max in 7 patients with liver disease compared to healthy volunteers (see PRECAUTIONS, Hepatic Effect and Table 2).
Race
Pharmacokinetic differences due to race have not been identified.
Pharmacokinetic Parameters (units) | Oral
Derived from PO pharmacokinetic studies in 77 normal fasted volunteers | Intramuscular
Derived from intramuscular pharmacokinetic studies in 54 normal volunteers | Intravenous Bolus
Derived from intravenous pharmacokinetic studies in 24 normal volunteers | |||
10 mg | 15 mg | 30 mg | 60 mg | 15 mg | 30 mg | |
Bioavailability (extent) | 100% | |||||
T max Time-to-peak plasma concentration (min) | 44 ± 34 | 33 ± 21 Mean value was simulated from observed plasma concentration data and standard deviation was simulated from percent coefficient of variation for observed Cmax and Tmax data | 44 ± 29 | 33 ± 21 ¶ | 1.1 ± 0.7 ¶ | 2.9 ± 1.8 |
C max Peak plasma concentration (mcg/mL) [single-dose] | 0.87 ± 0.22 | 1.14 ± 0.32 ¶ | 2.42 ± 0.68 | 4.55 ± 1.27 ¶ | 2.47 ± 0.51 ¶ | 4.65 ± 0.96 |
C max (mcg/mL) [steady state qid] | 1.05 ± 0.26 ¶ | 1.56 ± 0.44 ¶ | 3.11 ± 0.87 ¶ | N/A Not applicable because 60 mg is only recommended as a single dose | 3.09 ± 1.17 ¶ | 6.85 ± 2.61 |
C min Trough plasma concentration (mcg/mL) [steady state qid] | 0.29 ± 0.07 ¶ | 0.47 ± 0.13 ¶ | 0.93 ± 0.26 ¶ | N/A | 0.61 ± 0.21 ¶ | 1.04 ± 0.35 |
C avg Average plasma concentration (mcg/mL) [steady state qid] | 0.59 ± 0.20 ¶ | 0.94 ± 0.29 ¶ | 1.88 ± 0.59 ¶ | N/A | 1.09 ± 0.30 ¶ | 2.17 ± 0.59 |
V ꞵ Volume of distribution (L/kg) | 0.175 ± 0.039 | 0.210 ± 0.044 | ||||
% Dose metabolized = < 50 % | % Dose excreted in feces = 6 | |||||
% Dose excreted in urine = 91 | % Plasma protein binding = 99 | |||||
| Total Clearance [in L/h/kg]
Liters/hour/kilogram | Terminal Half-life [in hours] | |||
| Type of Subjects | Intramuscular | ORAL | Intramuscular | ORAL |
| Mean (range) | Mean (range) | Mean (range) | Mean (range) | |
| Normal Subjects | 0.023 | 0.025 | 5.3 | 5.3 |
| Intramuscular (n = 54) | (0.010 to 0.046) | (0.013 to 0.050) | (3.5 to 9.2) | (2.4 to 9.0) |
| mean age = 32, range = 18 to 60 | ||||
| Oral (n = 77) | ||||
| mean age = 32, range = 20 to 60 | ||||
| Healthy Elderly Subjects | 0.019 | 0.024 | 7.0 | 6.1 |
| Intramuscular (n = 13), Oral (n = 12) | (0.013 to 0.034) | (0.018 to 0.034) | (4.7 to 8.6) | (4.3 to 7.6) |
| mean age = 72,
range = 65 to 78 | ||||
| Patients with Hepatic Dysfunction | 0.029 | 0.033 | 5.4 | 4.5 |
| Intramuscular and Oral (n = 7) | (0.013 to 0.066) | (0.019 to 0.051) | (2.2 to 6.9) | (1.6 to 7.6) |
| mean age = 51, range = 43 to 64 | ||||
| Patients with Renal Impairment | 0.015 | 0.016 | 10.3 | 10.8 |
| Intramuscular (n = 25), Oral (n = 9) | (0.005 to 0.043) | (0.007 to 0.052) | (5.9 to 19.2) | (3.4 to 18.9) |
| serum creatinine=1.9 to 5 mg/dL, | ||||
| mean age (Intramuscular) = 54,
range = 35 to 71 | ||||
| mean age (Oral) = 57, range = 39 to 70 | ||||
| Renal Dialysis Patients | 0.016 | - | 13.6 | - |
| Intramuscular and Oral (n = 9) | (0.003 to 0.036) | (8.0 to 39.1) | ||
| mean age = 40, range = 27 to 63 | ||||
Intravenous Administration
In normal adult subjects (n = 37), the total clearance of 30 mg intravenous-administered ketorolac tromethamine was 0.030 (0.017 to 0.051) L/h/kg. The terminal half-life was 5.6 (4 to 7.9) hours (See Kinetics in Special Populations for use of intravenous dosing of ketorolac tromethamine in pediatric patients).
Adult Patients
In a postoperative study, where all patients received morphine by a PCA device, patients treated with ketorolac tromethamine intravenous as fixed intermittent boluses (e.g., 30 mg initial dose followed by 15 mg q3h), required significantly less morphine (26%) than the placebo group. Analgesia was significantly superior, at various postdosing pain assessment times, in the patients receiving ketorolac tromethamine intravenous plus PCA morphine as compared to patients receiving PCA-administered morphine alone.
Indications And Usage
Carefully consider the potential benefits and risks of ketorolac tromethamine tablets and other treatment options before deciding to use ketorolac tromethamine tablets. Use the lowest effective dose for the shortest duration consistent with individual patient treatment goals.
Acute Pain In Adult Patients
Ketorolac tromethamine tablets are indicated for the short-term (≤ 5 days) management of moderately severe acute pain that requires analgesia at the opioid level, usually in a postoperative setting. Therapy should always be initiated with intravenous or intramuscular dosing of ketorolac tromethamine, and ketorolac tromethamine tablets are to be used only as continuation treatment, if necessary.
The total combined duration of use of ketorolac tromethamine tablets and ketorolac tromethamine is not to exceed 5 days of use because of the potential of increasing the frequency and severity of adverse reactions associated with the recommended doses (see WARNINGS, PRECAUTIONS, DOSAGE AND ADMINISTRATION, and ADVERSE REACTIONS). Patients should be switched to alternative analgesics as soon as possible, but ketorolac tromethamine tablets therapy is not to exceed 5 days.
Contraindications
(See also Boxed WARNING).
Ketorolac tromethamine is contraindicated in patients with previously demonstrated hypersensitivity to ketorolac tromethamine.
Ketorolac tromethamine is contraindicated in patients with active peptic ulcer disease, in patients with recent gastrointestinal bleeding or perforation and in patients with a history of peptic ulcer disease or gastrointestinal bleeding.
Ketorolac tromethamine should not be given to patients who have experienced asthma, urticaria, or allergic-type reactions after taking aspirin or other NSAIDs. Severe, rarely fatal, anaphylactic-like reactions to NSAIDs have been reported in such patients (see WARNINGS, Anaphylactoid Reactions, and PRECAUTIONS, Preexisting Asthma).
Ketorolac tromethamine is contraindicated as prophylactic analgesic before any major surgery.
Ketorolac tromethamine is contraindicated in the setting of coronary artery bypass graft (CABG) surgery (see WARNINGS).
Ketorolac tromethamine is contraindicated in patients with advanced renal impairment or in patients at risk for renal failure due to volume depletion (see WARNINGS for correction of volume depletion).
Ketorolac tromethamine is contraindicated in labor and delivery because, through its prostaglandin synthesis inhibitory effect, it may adversely affect fetal circulation and inhibit uterine contractions, thus increasing the risk of uterine hemorrhage.
Ketorolac tromethamine inhibits platelet function and is, therefore, contraindicated in patients with suspected or confirmed cerebrovascular bleeding, hemorrhagic diathesis, incomplete hemostasis and those at high risk of bleeding (see WARNINGS and PRECAUTIONS).
Ketorolac tromethamine is contraindicated in patients currently receiving aspirin or NSAIDs because of the cumulative risks of inducing serious NSAID-related adverse events.
The concomitant use of ketorolac tromethamine and probenecid is contraindicated.
The concomitant use of ketorolac tromethamine and pentoxifylline is contraindicated.
Warnings
(See also Boxed WARNING).
The total combined duration of use of ketorolac tromethamine tablets and intravenous or intramuscular dosing of ketorolac tromethamine is not to exceed 5 days in adults. Ketorolac tromethamine tablets are not indicated for use in pediatric patients.
The most serious risks associated with ketorolac tromethamine are:
Gastrointestinal Effects – Risk Of Ulceration, Bleeding, And Perforation
Ketorolac tromethamine is contraindicated in patients with previously documented peptic ulcers and/or GI bleeding. Ketorolac tromethamine can cause serious gastrointestinal (GI) adverse events including bleeding, ulceration and perforation, of the stomach, small intestine, or large intestine, which can be fatal. These serious adverse events can occur at any time, with or without warning symptoms, in patients treated with ketorolac tromethamine.
Only one in five patients who develop a serious upper GI adverse event on NSAID therapy is symptomatic. Minor upper gastrointestinal problems, such as dyspepsia, are common and may also occur at any time during NSAID therapy. The incidence and severity of gastrointestinal complications increases with increasing dose of, and duration of treatment with, ketorolac tromethamine. Do not use ketorolac tromethamine for more than five days. However, even short-term therapy is not without risk. In addition to past history of ulcer disease, other factors that increase the risk for GI bleeding in patients treated with NSAIDs include concomitant use of oral corticosteroids, or anticoagulants, longer duration of NSAID therapy, smoking, use of alcohol, older age, and poor general health status. Most spontaneous reports of fatal GI events are in elderly or debilitated patients and therefore, special care should be taken in treating this population.
To minimize the potential risk for an adverse GI event, the lowest effective dose should be used for the shortest possible duration. Patients and physicians should remain alert for signs and symptoms of GI ulceration and bleeding during NSAID therapy and promptly initiate additional evaluation and treatment if a serious GI adverse event is suspected. This should include discontinuation of ketorolac tromethamine until a serious GI adverse event is ruled out. For high-risk patients, alternate therapies that do not involve NSAIDs should be considered.
NSAIDs should be given with care to patients with a history of inflammatory bowel disease (ulcerative colitis, Crohn's disease) as their condition may be exacerbated.
Hemorrhage
Because prostaglandins play an important role in hemostasis and NSAIDs affect platelet aggregation as well, use of ketorolac tromethamine in patients who have coagulation disorders should be undertaken very cautiously, and those patients should be carefully monitored. Patients on therapeutic doses of anticoagulants (e.g., heparin or dicumarol derivatives) have an increased risk of bleeding complications if given ketorolac tromethamine concurrently; therefore, physicians should administer such concomitant therapy only extremely cautiously. The concurrent use of ketorolac tromethamine and therapy that affects hemostasis, including prophylactic low-dose heparin (2,500 units to 5,000 units q12h), warfarin and dextrans have not been studied extensively, but may also be associated with an increased risk of bleeding. Until data from such studies are available, physicians should carefully weigh the benefits against the risks and use such concomitant therapy in these patients only extremely cautiously. Patients receiving therapy that affects hemostasis should be monitored closely.
In post marketing experience, postoperative hematomas and other signs of wound bleeding have been reported in association with the peri-operative use of intravenous or intramuscular dosing of ketorolac tromethamine. Therefore, peri-operative use of ketorolac tromethamine should be avoided and postoperative use be undertaken with caution when hemostasis is critical (see PRECAUTIONS).
Renal Effects
Long-term administration of NSAIDs has resulted in renal papillary necrosis and other renal injury. Renal toxicity has also been seen in patients in whom renal prostaglandins have a compensatory role in the maintenance of renal perfusion. In these patients, administration of a NSAID may cause a dose-dependent reduction in prostaglandin formation and, secondarily, in renal blood flow, which may precipitate overt renal decompensation. Patients at greatest risk of this reaction are those with impaired renal function, heart failure, liver dysfunction, those taking diuretics and ACE inhibitors, and the elderly. Discontinuation of NSAID therapy is usually followed by recovery to the pretreatment state.
Ketorolac tromethamine and its metabolites are eliminated primarily by the kidneys, which, in patients with reduced creatinine clearance, will result in diminished clearance of the drug (see CLINICAL PHARMACOLOGY). Therefore, ketorolac tromethamine should be used with caution in patients with impaired renal function (see DOSAGE AND ADMINISTRATION) and such patients should be followed closely. With the use of ketorolac tromethamine, there have been reports of acute renal failure, interstitial nephritis and nephrotic syndrome.
Impaired Renal Function
Ketorolac tromethamine is contraindicated in patients with serum creatinine concentrations indicating advanced renal impairment (see CONTRAINDICATIONS). Ketorolac tromethamine should be used with caution in patients with impaired renal function or a history of kidney disease because it is a potent inhibitor of prostaglandin synthesis. Because patients with underlying renal insufficiency are at increased risk of developing acute renal decompensation or failure, the risks and benefits should be assessed prior to giving ketorolac tromethamine to these patients.
Anaphylactoid Reactions
As with other NSAIDs, anaphylactoid reactions may occur in patients without a known previous exposure or hypersensitivity to ketorolac tromethamine. Ketorolac tromethamine should not be given to patients with the aspirin triad. This symptom complex typically occurs in asthmatic patients who experience rhinitis with or without nasal polyps, or who exhibit severe, potentially fatal bronchospasm after taking aspirin or other NSAIDs (see CONTRAINDICATIONS and PRECAUTIONS, Preexisting Asthma). Anaphylactoid reactions, like anaphylaxis, may have a fatal outcome. Emergency help should be sought in cases where an anaphylactoid reaction occurs.
Cardiovascular Thrombotic Events
Clinical trials of several COX-2 selective and nonselective NSAIDs of up to three years duration have shown an increased risk of serious cardiovascular (CV) thrombotic events, including myocardial infarction (MI) and stroke, which can be fatal. Based on available data, it is unclear that the risk for CV thrombotic events is similar for all NSAIDs. The relative increase in serious CV thrombotic events over baseline conferred by NSAID use appears to be similar in those with and without known CV disease or risk factors for CV disease. However, patients with known CV disease or risk factors had a higher absolute incidence of excess serious CV thrombotic events, due to their increased baseline rate. Some observational studies found that this increased risk of serious CV thrombotic events began as early as the first weeks of treatment. The increase in CV thrombotic risk has been observed most consistently at higher doses.
To minimize the potential risk for an adverse CV event in NSAID-treated patients, use the lowest effective dose for the shortest duration possible. Physicians and patients should remain alert for the development of such events, throughout the entire treatment course, even in the absence of previous CV symptoms. Patients should be informed about the symptoms of serious CV events and the steps to take if they occur.
There is no consistent evidence that concurrent use of aspirin mitigates the increased risk of serious CV thrombotic events associated with NSAID use. The concurrent use of aspirin and an NSAID, such as ketorolac tromethamine, increases the risk of serious gastrointestinal (GI) events (see WARNINGS).
Status Post Coronary Artery Bypass Graft (CABG) Surgery
Two-large, controlled clinical trials of a COX-2 selective NSAID for the treatment of pain in the first 10 days to 14 days following CABG surgery found an increased incidence of myocardial infarction and stroke. NSAIDs are contraindicated in the setting of CABG (see CONTRAINDICATIONS).
Post-MI Patients
Observational studies conducted in the Danish National Registry have demonstrated that patients treated with NSAIDs in the post-MI period were at increased risk of reinfarction, CV-related death, and all-cause mortality beginning in the first week of treatment. In this same cohort, the incidence of death in the first-year post MI was 20 per 100 person years in NSAID-treated patients compared to 12 per 100 person years in non-NSAID exposed patients. Although the absolute rate of death declined somewhat after the first-year post-MI, the increased relative risk of death in NSAID users persisted over at least the next four years of follow-up.
Avoid the use of ketorolac tromethamine tablets in patients with a recent MI unless the benefits are expected to outweigh the risk of recurrent CV thrombotic events. If ketorolac tromethamine tablets are used in patients with a recent MI, monitor patients for signs of cardiac ischemia.
Hypertension
NSAIDs, including ketorolac tromethamine, can lead to onset of new hypertension or worsening of preexisting hypertension, either of which may contribute to the increased incidence of CV events. Patients taking thiazides or loop diuretics may have impaired response to these therapies when taking NSAIDs. NSAIDs, including ketorolac tromethamine, should be used with caution in patients with hypertension. Blood pressure (BP) should be monitored closely during the initiation of NSAID treatment and throughout the course of therapy.
Heart Failure And Edema
The Coxib and traditional NSAID Trialists’ Collaboration meta-analysis of randomized controlled trials demonstrated an approximately two-fold increase in hospitalizations for heart failure in COX-2 selective-treated patients and nonselective NSAID-treated patients compared to placebo-treated patients. In a Danish National Registry study of patients with heart failure, NSAID use increased the risk of MI, hospitalization for heart failure, and death.
Additionally, fluid retention and edema have been observed in some patients treated with NSAIDs. Use of ketorolac tromethamine may blunt the CV effects of several therapeutic agents used to treat these medical conditions [e.g., diuretics, ACE inhibitors, or angiotensin receptor blockers (ARBs)] (see DRUG INTERACTIONS).
Avoid the use of ketorolac tromethamine tablets in patients with severe heart failure unless the benefits are expected to outweigh the risk of worsening heart failure. If ketorolac tromethamine tablets are used in patients with severe heart failure, monitor patients for signs of worsening heart failure.
Skin Reactions
NSAIDs, including ketorolac tromethamine, can cause serious skin adverse events such as exfoliative dermatitis, Stevens-Johnson Syndrome (SJS), and toxic epidermal necrolysis (TEN), which can be fatal. These serious events may occur without warning. Patients should be informed about the signs and symptoms of serious skin manifestations and use of the drug should be discontinued at the first appearance of skin rash, mucosal lesions, or any other sign of hypersensitivity.
General
Ketorolac tromethamine cannot be expected to substitute for corticosteroids or to treat corticosteroid insufficiency. Abrupt discontinuation of corticosteroids may lead to disease exacerbation. Patients on prolonged corticosteroid therapy should have their therapy tapered slowly if a decision is made to discontinue corticosteroids.
The pharmacological activity of ketorolac tromethamine in reducing inflammation may diminish the utility of this diagnostic sign in detecting complications of presumed noninfectious, painful conditions.
Hepatic Effect
Ketorolac tromethamine should be used with caution in patients with impaired hepatic function or a history of liver disease. Borderline elevations of one or more liver tests may occur in up to 15% of patients taking NSAIDs including ketorolac tromethamine. These laboratory abnormalities may progress, may remain unchanged, or may be transient with continuing therapy. Notable elevations of ALT or AST (approximately three or more times the upper limit of normal) have been reported in approximately 1% of patients in clinical trials with NSAIDs. In addition, rare cases of severe hepatic reactions, including jaundice and fatal fulminant hepatitis, liver necrosis and hepatic failure, some of them with fatal outcomes have been reported.
A patient with symptoms and/or signs suggesting liver dysfunction, or in whom an abnormal liver test has occurred, should be evaluated for evidence of the development of a more severe hepatic reaction while on therapy with ketorolac tromethamine. If clinical signs and symptoms consistent with liver disease develop, or if systemic manifestations occur (e.g., eosinophilia, rash, etc.), ketorolac tromethamine should be discontinued.
Hematologic Effect
Anemia is sometimes seen in patients receiving NSAIDs, including ketorolac tromethamine. This may be due to fluid retention, occult or gross GI blood loss, or an incompletely described effect upon erythropoiesis. Patients on long-term treatment with NSAIDs, including ketorolac tromethamine, should have their hemoglobin or hematocrit checked if they exhibit any signs or symptoms of anemia. NSAIDs inhibit platelet aggregation and have been shown to prolong bleeding time in some patients. Unlike aspirin, their effect on platelet function is quantitatively less, of shorter duration, and reversible. Patients receiving ketorolac tromethamine who may be adversely affected by alterations in platelet function, such as those with coagulation disorders or patients receiving anticoagulants, should be carefully monitored.
Preexisting Asthma
Patients with asthma may have aspirin-sensitive asthma. The use of aspirin in patients with aspirin-sensitive asthma has been associated with severe bronchospasm which can be fatal. Since cross reactivity, including bronchospasm, between aspirin and other nonsteroidal anti-inflammatory drugs has been reported in such aspirin-sensitive patients, ketorolac tromethamine should not be administered to patients with this form of aspirin sensitivity and should be used with caution in patients with preexisting asthma.
Information For Patients
Ketorolac tromethamine is a potent NSAID and may cause serious side effects such as gastrointestinal bleeding or kidney failure, which may result in hospitalization and even fatal outcome.
Physicians, when prescribing ketorolac tromethamine, should inform their patients or their guardians of the potential risks of ketorolac tromethamine treatment (see Boxed WARNING, WARNINGS, PRECAUTIONS, and ADVERSE REACTIONS sections), instruct patients to seek medical advice if they develop treatment-related adverse events, and advise patients not to give ketorolac tromethamine tablets to other family members and to discard any unused drug.
Remember that the total combined duration of use of ketorolac tromethamine tablets and intravenous or intramuscular dosing of ketorolac tromethamine is not to exceed 5 days in adults. Ketorolac tromethamine tablets are not indicated for use in pediatric patients.
Patients should be informed of the following information before initiating therapy with an NSAID and periodically during the course of ongoing therapy. Patients should also be encouraged to read the NSAID Medication Guide that accompanies each prescription dispensed.
- Cardiovascular Thrombotic Events
Advise patients to be alert for the symptoms of cardiovascular thrombotic events, including chest pain, shortness of breath, weakness, or slurring of speech, and to report any of these symptoms to their health care provider immediately (see WARNINGS).
2. Ketorolac tromethamine, like other NSAIDs, can cause GI discomfort and rarely, serious GI side effects, such as ulcers and bleeding, which may result in hospitalization and even death. Although serious GI tract ulcerations and bleeding can occur without warning symptoms, patients should be alert for the signs and symptoms of ulcerations and bleeding, and should ask for medical advice when observing any indicative sign or symptoms including epigastric pain, dyspepsia, melena, and hematemesis. Patients should be apprised of the importance of this follow-up (see WARNINGS, Gastrointestinal Effects – Risk of Ulceration, Bleeding, and Perforation).
3. S erious Skin Reactions, including DRESS
Advise patients to stop taking ketorolac tromethamine tablets immediately if they develop any type of rash or fever and to contact their healthcare provider as soon as possible (see WARNINGS).
4. Heart Failure And Edema
Advise patients to be alert for the symptoms of congestive heart failure including shortness of breath, unexplained weight gain, or edema and to contact their healthcare provider if such symptoms occur (see WARNINGS).
5. Patients should promptly report signs or symptoms of unexplained weight gain or edema to their physicians.
6. Patients should be informed of the warning signs and symptoms of hepatotoxicity (e.g., nausea, fatigue, lethargy, pruritus, jaundice, right upper quadrant tenderness, and "flu-like" symptoms). If these occur, patients should be instructed to stop therapy and seek immediate medical therapy.
7. Patients should be informed of the signs of an anaphylactoid reaction (e.g., difficulty breathing, swelling of the face or throat). If these occur, patients should be instructed to seek immediate emergency help (see WARNINGS).
8. Fetal Toxicity
Inform pregnant women to avoid use of ketorolac tromethamine tablets and other NSAIDs starting at 30 weeks gestation because of the risk of the premature closing of the fetal ductus arteriosus. If treatment with ketorolac tromethamine tablets is needed for a pregnant woman between about 20 weeks to 30 weeks gestation, advise her that she may need to be monitored for oligohydramnios, if treatment continues for longer than 48 hours (see WARNINGS; Fetal Toxicity, PRECAUTIONS;Pregnancy).
Laboratory Tests
Because serious GI tract ulcerations and bleeding can occur without warning symptoms, physicians should monitor for signs or symptoms of GI bleeding. Patients on long-term treatment with NSAIDs, should have their CBC and a chemistry profile checked periodically. If clinical signs and symptoms consistent with liver or renal disease develop, systemic manifestations occur (e.g., eosinophilia, rash, etc.) or if abnormal liver tests persist or worsen, ketorolac tromethamine should be discontinued.
Drug Interactions
Ketorolac is highly bound to human plasma protein (mean 99.2%). There is no evidence in animal or human studies that ketorolac tromethamine induces or inhibits hepatic enzymes capable of metabolizing itself or other drugs.
Warfarin, Digoxin, Salicylate, And Heparin
The in vitro binding of warfarin to plasma proteins is only slightly reduced by ketorolac tromethamine (99.5% control vs 99.3%) when ketorolac plasma concentrations reach 5 mcg/mL to 10 mcg/mL. Ketorolac does not alter digoxin protein binding. In vitro studies indicate that, at therapeutic concentrations of salicylate (300 mcg/mL), the binding of ketorolac was reduced from approximately 99.2% to 97.5%, representing a potential twofold increase in unbound ketorolac plasma levels. Therapeutic concentrations of digoxin, warfarin, ibuprofen, naproxen, piroxicam, acetaminophen, phenytoin and tolbutamide did not alter ketorolac tromethamine protein binding.
In a study involving 12 adult volunteers, ketorolac tromethamine tablets were co-administered with a single dose of 25 mg warfarin, causing no significant changes in pharmacokinetics or pharmacodynamics of warfarin. In another study, ketorolac tromethamine dosed intravenous or intramuscular was given with two doses of 5,000 U of heparin to 11 healthy volunteers, resulting in a mean template bleeding time of 6.4 minutes (3.2 min to 11.4 min) compared to a mean of 6 minutes (3.4 min to 7.5 min) for heparin alone and 5.1 minutes (3.5 min to 8.5 min) for placebo. Although these results do not indicate a significant interaction between ketorolac tromethamine and warfarin or heparin, the administration of ketorolac tromethamine to patients taking anticoagulants should be done extremely cautiously, and patients should be closely monitored (see WARNINGS and PRECAUTIONS, Hematologic Effect).
The effects of warfarin and NSAIDs, in general, on GI bleeding are synergistic, such that the users of both drugs together have a risk of serious GI bleeding higher than the users of either drug alone.
Aspirin
When ketorolac tromethamine is administered with aspirin, its protein binding is reduced, although the clearance of free ketorolac tromethamine is not altered. The clinical significance of this interaction is not known; however, as with other NSAIDs, concomitant administration of ketorolac tromethamine and aspirin is not generally recommended because of the potential of increased adverse effects.
Diuretics
Clinical studies, as well as post marketing observations, have shown that ketorolac tromethamine can reduce the natriuretic effect of furosemide and thiazides in some patients. This response has been attributed to inhibition of renal prostaglandin synthesis. During concomitant therapy with NSAIDs, the patient should be observed closely for signs of renal failure (see WARNINGS, Renal Effects), as well as to assure diuretic efficacy.
Probenecid
Concomitant administration of ketorolac tromethamine tablets and probenecid resulted in decreased clearance and volume of distribution of ketorolac and significant increases in ketorolac plasma levels (total AUC increased approximately threefold from 5.4 mcg/h/mL to 17.8 mcg/h/mL) and terminal half-life increased approximately twofold from 6.6 hours to 15.1 hours. Therefore, concomitant use of ketorolac tromethamine and probenecid is contraindicated.
Lithium
NSAIDs have produced an elevation of plasma lithium levels and a reduction in renal lithium clearance. The mean minimum lithium concentration increased 15% and the renal clearance was decreased by approximately 20%. These effects have been attributed to inhibition of renal prostaglandin synthesis by the NSAID. Thus, when NSAIDs and lithium are administered concurrently, subjects should be observed carefully for signs of lithium toxicity.
Methotrexate
NSAIDs have been reported to competitively inhibit methotrexate accumulation in rabbit kidney slices. This may indicate that they could enhance the toxicity of methotrexate. Caution should be used when NSAIDs are administered concomitantly with methotrexate.
Ace Inhibitors/Angiotensin Ii Receptor Antagonists
Concomitant use of ACE inhibitors and/or angiotensin II receptor antagonists may increase the risk of renal impairment, particularly in volume-depleted patients.
Reports suggest that NSAIDs may diminish the antihypertensive effect of ACE inhibitors and/or angiotensin II receptor antagonists. This interaction should be given consideration in patients taking NSAIDs concomitantly with ACE inhibitors and/or angiotensin II receptor antagonists.
Antiepileptic Drugs
Sporadic cases of seizures have been reported during concomitant use of ketorolac tromethamine and antiepileptic drugs (phenytoin, carbamazepine).
Psychoactive Drugs
Hallucinations have been reported when ketorolac tromethamine was used in patients taking psychoactive drugs (fluoxetine, thiothixene, alprazolam).
Pentoxifylline
When ketorolac tromethamine is administered concurrently with pentoxifylline, there is an increased tendency to bleeding.
Nondepolarizing Muscle Relaxants
In post marketing experience there have been reports of a possible interaction between ketorolac tromethamine intravenous/intramuscular and nondepolarizing muscle relaxants that resulted in apnea. The concurrent use of ketorolac tromethamine with muscle relaxants has not been formally studied.
Selective Serotonin Reuptake Inhibitors (Ssris)
There is an increased risk of gastrointestinal bleeding when selective serotonin reuptake inhibitors (SSRIs) are combined with NSAIDs. Caution should be used when NSAIDs are administered concomitantly with SSRIs.
Carcinogenesis, Mutagenesis And Impairment Of Fertility
An 18-month study in mice with oral doses of ketorolac tromethamine at 2 mg/kg/day (0.9 times the human systemic exposure at the recommended intramuscular or intravenous dose of 30 mg qid, based on area-under-the-plasma-concentration curve [AUC]), and a 24-month study in rats at 5 mg/kg/day (0.5 times the human AUC) showed no evidence of tumorigenicity.
Ketorolac tromethamine was not mutagenic in the Ames test, unscheduled DNA synthesis and repair, and in forward mutation assays. Ketorolac tromethamine did not cause chromosome breakage in the in vivo mouse micronucleus assay. At 1,590 mcg/mL and at higher concentrations, ketorolac tromethamine increased the incidence of chromosomal aberrations in Chinese hamster ovarian cells.
Impairment of fertility did not occur in male or female rats at oral doses of 9 mg/kg (0.9 times the human AUC) and 16 mg/kg (1.6 times the human AUC) of ketorolac tromethamine, respectively.
Pregnancy
Risk Summary
Use of NSAIDs, including ketorolac tromethamine tablets, can cause premature closure of the fetal ductus arteriosus and fetal renal dysfunction leading to oligohydramnios and, in some cases, neonatal renal impairment. Because of these risks, limit dose and duration of ketorolac tromethamine tablets use between about 20 weeks and 30 weeks of gestation, and avoid ketorolac tromethamine tablets use at about 30 weeks of gestation and later in pregnancy (see WARNINGS; Fetal Toxicity).
Premature Closure of Fetal Ductus Arteriosus
Use of NSAIDs, including ketorolac tromethamine tablets, at about 30 weeks gestation or later in pregnancy increases the risk of premature closure of the fetal ductus arteriosus.
Oligohydramnios/Neonatal Renal Impairment
Use of NSAIDs at about 20 weeks gestation or later in pregnancy has been associated with cases of fetal renal dysfunction leading to oligohydramnios, and in some cases, neonatal renal impairment.
Data from observational studies regarding other potential embryofetal risks of NSAID use in women in the first or second trimesters of pregnancy are inconclusive. Animal reproduction studies have been performed during organogenesis using daily oral doses of ketorolac tromethamine at 3.6 mg/kg (0.37 times the human AUC) in rabbits and at 10 mg/kg (1 times the human AUC) in rats. Results of these studies did not reveal evidence of teratogenicity to the fetus. However, animal reproduction studies are not always predictive of human response.
Based on animal data, prostaglandins have been shown to have an important role in endometrial vascular permeability, blastocyst implantation, and decidualization. In animal studies, administration of prostaglandin synthesis inhibitors such as ketorolac tromethamine, resulted in increased pre- and post-implantation loss. Prostaglandins also have been shown to have an important role in fetal kidney development. In published animal studies, prostaglandin synthesis inhibitors have been reported to impair kidney development when administered at clinically relevant doses. The estimated background risk of major birth defects and miscarriage for the indicated population(s) is unknown. All pregnancies have a background risk of birth defect, loss, or other adverse outcomes. In the U.S. general population, the estimated background risk of major birth defects and miscarriage in clinically recognized pregnancies is 2% to 4% and 15% to 20%, respectively.
Clinical Considerations
Fetal/Neonatal Adverse Reactions
Premature Closure of Fetal Ductus Arteriosus:
Avoid use of NSAIDs in women at about 30 weeks gestation and later in pregnancy, because NSAIDs, including ketorolac tromethamine tablets, can cause premature closure of the fetal ductus arteriosus (see WARNINGS;Fetal Toxicity).
Oligohydramnios/Neonatal Renal Impairment:
If an NSAID is necessary at about 20 weeks gestation or later in pregnancy, limit the use to the lowest effective dose and shortest duration possible. If ketorolac tromethamine tablets treatment extends beyond 48 hours, consider monitoring with ultrasound for oligohydramnios. If oligohydramnios occurs, discontinue ketorolac tromethamine tablets and follow up according to clinical practice (see WARNINGS; Fetal Toxicity).
Data
Human Data
Premature Closure of Fetal Ductus Arteriosus:
Published literature reports that the use of NSAIDs at about 30 weeks of gestation and later in pregnancy may cause premature closure of the fetal ductus arteriosus.
Oligohydramnios/Neonatal Renal Impairment:
Published studies and post marketing reports describe maternal NSAID use at about 20 weeks gestation or later in pregnancy associated with fetal renal dysfunction leading to oligohydramnios, and in some cases, neonatal renal impairment. These adverse outcomes are seen, on average, after days to weeks of treatment, although oligohydramnios has been infrequently reported as soon as 48 hours after NSAID initiation. In many cases, but not all, the decrease in amniotic fluid was transient and reversible with cessation of the drug. There have been a limited number of case reports of maternal NSAID use and neonatal renal dysfunction without oligohydramnios, some of which were irreversible. Some cases of neonatal renal dysfunction required treatment with invasive procedures, such as exchange transfusion or dialysis.
Methodological limitations of these post marketing studies and reports include lack of a control group; limited information regarding dose, duration, and timing of drug exposure; and concomitant use of other medications. These limitations preclude establishing a reliable estimate of the risk of adverse fetal and neonatal outcomes with maternal NSAID use. Because the published safety data on neonatal outcomes involved mostly preterm infants, the generalizability of certain reported risks to the full-term infant exposed to NSAIDs through maternal use is uncertain.
Animal Data
Because of the known effects of nonsteroidal anti-inflammatory drugs on the fetal cardiovascular system (closure of ductus arteriosus), use during pregnancy (particularly late pregnancy) should be avoided. Oral doses of ketorolac tromethamine at 1.5 mg/kg (0.14 times the human AUC), administered after gestation Day 17, caused dystocia and higher pup mortality in rats.
Labor And Delivery
The use of ketorolac tromethamine is contraindicated in labor and delivery because, through its prostaglandin synthesis inhibitory effect, it may adversely affect fetal circulation and inhibit uterine contractions, thus increasing the risk of uterine hemorrhage (see CONTRAINDICATIONS).
Effects On Fertility
The use of ketorolac tromethamine, as with any drug known to inhibit cyclooxygenase/prostaglandin synthesis, may impair fertility and is not recommended in women attempting to conceive. In women who have difficulty conceiving or are undergoing investigation of infertility, withdrawal of ketorolac tromethamine should be considered.
Nursing Mothers
Limited data from one published study involving 10 breastfeeding women 2 days to 6 days postpartum showed low levels of ketorolac in breast milk. Levels were undetectable (less than 5 ng/mL) in 4 of the patients. After a single administration of 10 mg of ketorolac tromethamine tablets, the maximum milk concentration observed was 7.3 ng/mL, and the maximum milk-to-plasma ratio was 0.037. After 1 day of dosing (10 mg every 6 hours), the maximum milk concentration was 7.9 ng/mL, and the maximum milk-to-plasma ratio was 0.025. Assuming a daily intake of 400 mL to 1,000 mL of human milk per day and a maternal body weight of 60 kg, the calculated maximum daily infant exposure was 0.00263 mg/kg/day, which is 0.4% of the maternal weight-adjusted dose.
Exercise caution when ketorolac is administered to a nursing woman. Available information has not shown any specific adverse events in nursing infants; however, instruct patients to contact their infant's health care provider if they note any adverse events.
Pediatric Use
Ketorolac tromethamine tablets are not indicated for use in pediatric patients. The safety and effectiveness of ketorolac tromethamine tablets in pediatric patients below the age of 17 have not been established.
Geriatric Use (≥ 65 Years Of Age)
Because ketorolac tromethamine may be cleared more slowly by the elderly (see CLINICAL PHARMACOLOGY) who are also more sensitive to the dose-related adverse effects of NSAIDs (see WARNINGS, Gastrointestinal Effects – Risk of Ulceration, Bleeding, and Perforation), extreme caution, reduced dosages (see DOSAGE AND ADMINISTRATION), and careful clinical monitoring must be used when treating the elderly with ketorolac tromethamine.
Adverse Reactions
Adverse reaction rates increase with higher doses of ketorolac tromethamine. Practitioners should be alert for the severe complications of treatment with ketorolac tromethamine, such as GI ulceration, bleeding and perforation, postoperative bleeding, acute renal failure, anaphylactic and anaphylactoid reactions and liver failure (see Boxed WARNING, WARNINGS, PRECAUTIONS, and DOSAGE AND ADMINISTRATION). These NSAID-related complications can be serious in certain patients for whom ketorolac tromethamine is indicated, especially when the drug is used inappropriately.
In patients taking ketorolac tromethamine or other NSAIDs in clinical trials, the most frequently reported adverse experiences in approximately 1% to 10% of patients are:
Gastrointestinal (GI) experiences including:
| abdominal pain * | constipation/diarrhea | dyspepsia
Incidence greater than 10% |
| flatulence | GI fullness | GI ulcers (gastric/duodenal) |
| gross bleeding/perforation | heartburn | nausea * |
| stomatitis | vomiting | |
| Other experiences: | ||
| abnormal renal function | anemia | dizziness |
| drowsiness | edema | elevated liver enzymes |
| headaches * | hypertension | increased bleeding time |
| injection site pain | pruritus | purpura |
| rashes | tinnitus | sweating |
Additional adverse experiences reported occasionally (< 1% in patients taking ketorolac tromethamine or other NSAIDs in clinical trials) include:
Body as a Whole: fever, infections, sepsis
Cardiovascular: congestive heart failure, palpitation, pallor, tachycardia, syncope
Dermatologic: alopecia, photosensitivity, urticaria
Gastrointestinal: anorexia, dry mouth, eructation, esophagitis, excessive thirst, gastritis, glossitis, hematemesis, hepatitis, increased appetite, jaundice, melena, rectal bleeding
Hemic and Lymphatic: ecchymosis, eosinophilia, epistaxis, leukopenia, thrombocytopenia
Metabolic and Nutritional: weight change
Nervous System: abnormal dreams, abnormal thinking, anxiety, asthenia, confusion, depression, euphoria, extrapyramidal symptoms, hallucinations, hyperkinesis, inability to concentrate, insomnia, nervousness, paresthesia, somnolence, stupor, tremors, vertigo, malaise
Reproductive, female: infertility
Respiratory: asthma, cough, dyspnea, pulmonary edema, rhinitis
Special Senses: abnormal taste, abnormal vision, blurred vision, hearing loss
Urogenital: cystitis, dysuria, hematuria, increased urinary frequency, interstitial nephritis, oliguria/polyuria, proteinuria, renal failure, urinary retention
Other rarely observed reactions (reported from post marketing experience in patients taking ketorolac tromethamine or other NSAIDs) are:
Body as a Whole: angioedema, death, hypersensitivity reactions such as anaphylaxis, anaphylactoid reaction, laryngeal edema, tongue edema (see WARNINGS), myalgia
Cardiovascular: arrhythmia, bradycardia, chest pain, flushing, hypotension, myocardial infarction, vasculitis
Dermatologic: exfoliative dermatitis, erythema multiforme, Lyell's syndrome, bullous reactions including Stevens-Johnson syndrome and toxic epidermal necrolysis
Gastrointestinal: acute pancreatitis, liver failure, ulcerative stomatitis, exacerbation of inflammatory bowel disease (ulcerative colitis, Crohn's disease)
Hemic and Lymphatic: agranulocytosis, aplastic anemia, hemolytic anemia, lymphadenopathy, pancytopenia, postoperative wound hemorrhage (rarely requiring blood transfusion - see Boxed WARNING, WARNINGS, and PRECAUTIONS)
Metabolic and Nutritional: hyperglycemia, hyperkalemia, hyponatremia
Nervous System: aseptic meningitis, convulsions, coma, psychosis
Respiratory: bronchospasm, respiratory depression, pneumonia
Special Senses: conjunctivitis
Urogenital: flank pain with or without hematuria and/or azotemia, hemolytic uremic syndrome
Post marketing Surveillance Study
A large post marketing observational, nonrandomized study, involving approximately 10,000 patients receiving ketorolac tromethamine intravenous/intramuscular, demonstrated that the risk of clinically serious gastrointestinal (GI) bleeding was dose-dependent (see Tables 3A and 3B). This was particularly true in elderly patients who received an average daily dose greater than 60 mg/day of ketorolac tromethamine intravenous/intramuscular (see Table 3A).
Table 3: Incidence of Clinically Serious GI Bleeding as Related to Age, Total Daily Dose, and History of GI Perforation, Ulcer, Bleeding (PUB) After up to 5 Days of Treatment with Ketorolac Tromethamine intravenous/intramuscular
| Age of Patients | Total Daily Dose of Ketorolac Tromethamine intravenous/intramuscular | |||
| ≤ 60 mg | > 60 mg to 90 mg | > 90 mg to 120 mg | > 120 mg | |
| < 65 years of age | 0.4% | 0.4% | 0.9% | 4.6% |
| ≥ 65 years of age | 1.2% | 2.8% | 2.2% | 7.7% |
| Age of Patients | Total Daily Dose of Ketorolac Tromethamine intravenous/intramuscular | |||
| ≤ 60 mg | > 60 mg to 90 mg | > 90 mg to 120 mg | > 120 mg | |
| < 65 years of age | 2.1% | 4.6% | 7.8% | 15.4% |
| ≥ 65 years of age | 4.7% | 3.7% | 2.8% | 25% |
To report SUSPECTED ADVERSE REACTIONS, contact Bionpharma Inc. at 1-888-235-BION or 1-888-235-2466 or FDA at 1-800-FDA-1088 or www.fda.gov/medwatch.
Symptoms And Signs
Symptoms following acute NSAIDs overdoses are usually limited to lethargy, drowsiness, nausea, vomiting, and epigastric pain, which are generally reversible with supportive care. Gastrointestinal bleeding can occur. Hypertension, acute renal failure, respiratory depression and coma may occur, but are rare. Anaphylactoid reactions have been reported with therapeutic ingestion of NSAIDs, and may occur following an overdose.
Treatment
Patients should be managed by symptomatic and supportive care following a NSAIDs overdose. There are no specific antidotes. Emesis and/or activated charcoal (60 g to 100 g in adults, 1 g/kg to 2 g/kg in children) and/or osmotic cathartic may be indicated in patients seen within 4 hours of ingestion with symptoms or following a large oral overdose (5 times to 10 times the usual dose). Forced diuresis, alkalization of urine, hemodialysis or hemoperfusion may not be useful due to high protein binding.
Single overdoses of ketorolac tromethamine have been variously associated with abdominal pain, nausea, vomiting, hyperventilation, peptic ulcers and/or erosive gastritis and renal dysfunction which have resolved after discontinuation of dosing.
Dosage And Administration
Carefully consider the potential benefits and risks of ketorolac tromethamine tablets and other treatment options before deciding to use ketorolac tromethamine tablets. Use the lowest effective dose for the shortest duration consistent with individual patient treatment goals. In adults, the combined duration of use of intravenous or intramuscular dosing of ketorolac tromethamine and ketorolac tromethamine tablets is not to exceed 5 days. In adults, the use of ketorolac tromethamine tablets is only indicated as continuation therapy to intravenous or intramuscular dosing of ketorolac tromethamine.
Transition from intravenous or intramuscular dosing of ketorolac tromethamine (single- or multiple-dose) to multiple-dose ketorolac tromethamine tablets:
Patients age 17 to 64: 20 mg PO once followed by 10 mg q4 hours to 6 hours prn not > 40 mg/day
Patients age ≥ 65, renally impaired, and/or weight < 50 kg (110 lbs): 10 mg PO once followed by 10 mg q4 hours to 6 hours prn not > 40 mg/day
Note:
Oral formulation should not be given as an initial dose
Use minimum effective dose for the individual patient
Do not shorten dosing interval of 4 hours to 6 hours
Total duration of treatment in adult patients: the combined duration of use of intravenous or intramuscular dosing of ketorolac tromethamine and ketorolac tromethamine tablets is not to exceed 5 days.
The following table summarizes ketorolac tromethamine tablets dosing instructions in terms of age group:
Patient Population | Ketorolac Tromethamine Tablets (Following Intravenous or Intramuscular dosing of ketorolac tromethamine) |
Age < 17 years | Oral not approved |
Adult Age 17 years to 64 years | 20 mg once, then 10 mg q4 hours to 6 hours prn not > 40 mg/day |
Adult Age ≥ 65 years, renally impaired, and/or weight < 50 kg | 10 mg once, then 10 mg q4 hours to 6 hours prn not > 40 mg/day |
How Supplied
Product: 50090-7265
NDC: 50090-7265-0 20 TABLET, FILM COATED in a BOTTLE
NDC: 50090-7265-3 10 TABLET, FILM COATED in a BOTTLE
Spl Medguide
Medication Guide for Nonsteroidal Anti-inflammatory Drugs (NSAIDs) | ||
What is the most important information I should know about medicines called Nonsteroidal Anti-inflammatory Drugs (NSAIDs)? | ||
NSAIDs can cause serious side effects, including: | ||
| ||
| o with increasing doses of NSAIDs | ||
| o with longer use of NSAIDs | ||
Do not take NSAIDs right before or after a heart surgery called a “coronary artery bypass graft (CABG).” | ||
Avoid taking NSAIDs after a recent heart attack, unless your healthcare provider tells you to. You may have an increased risk of another heart attack if you take NSAIDs after a recent heart attack. | ||
| ||
| o anytime during use | ||
| o without warning symptoms | ||
| o that may cause death | ||
| The risk of getting an ulcer or bleeding increases with: | ||
| o past history of stomach ulcers, or stomach or intestinal bleeding with use of NSAIDs | ||
| o taking medicines called “corticosteroids”, “anticoagulants”, “SSRIs”, or “SNRIs” | ||
| o increasing doses of NSAIDs | ||
| o longer use of NSAIDs | ||
| o smoking | ||
| o drinking alcohol | ||
| o older age | ||
| o poor health | ||
| o advanced liver disease | ||
| o bleeding problems | ||
NSAIDs should only be used: | ||
| o exactly as prescribed | ||
| o at the lowest dose possible for your treatment | ||
| o for the shortest time needed | ||
What are NSAIDs? | ||
NSAIDs are used to treat pain and redness, swelling, and heat (inflammation) from medical conditions such as different types of arthritis, menstrual cramps, and other types of short-term pain. | ||
Who should not take NSAIDs? | ||
Do not take NSAIDs: | ||
| ||
| ||
Before taking NSAIDs, tell your healthcare provider about all of your medical conditions, including if you: | ||
| ||
| ||
| ||
| ||
| ||
Tell your healthcare provider about all of the medicines you take, including prescription or over-the-counter medicines, vitamins or herbal supplements. NSAIDs and some other medicines can interact with each other and cause serious side effects. Do not start taking any new medicine without talking to your healthcare provider first. | ||
What are the possible side effects of NSAIDs? NSAIDs can cause serious side effects, including: See “What is the most important information I should know about medicines called Nonsteroidal Anti‑inflammatory Drugs (NSAIDs)?”
Get emergency help right away if you get any of the following symptoms: Stop taking your NSAIDs and call your healthcare provider right away if you get any of the following symptoms: If you take too much of your NSAIDs, call your healthcare provider or get medical help right away. These are not all the possible side effects of NSAIDs. For more information, ask your healthcare provider or pharmacist about NSAIDs.
| ||
Other information about NSAIDs
| ||
General information about the safe and effective use of NSAIDs Medicines are sometimes prescribed for purposes other than those listed in a Medication Guide. Do not use NSAIDs for a condition for which it was not prescribed. Do not give NSAIDs to other people, even if they have the same symptoms that you have. It may harm them. If you would like more information about NSAIDs, talk with your healthcare provider. You can ask your pharmacist or healthcare provider for information about NSAIDs that is written for health professionals. | ||
Distributed by: Bionpharma Inc. Princeton, NJ 08540 MADE IN INDIA For more information, call 1-888-235-BION |
This Medication Guide has been approved by the U.S. Food and Drug Administration.
Revised: January 2023
FDA-02
* Please review the disclaimer below.
