Product Images Dutasteride
View Photos of Packaging, Labels & Appearance
Product Label Images
The following 9 images provide visual information about the product associated with Dutasteride NDC 50090-7305 by A-s Medication Solutions, such as packaging, labeling, and the appearance of the drug itself. This resource could be helpful for medical professionals, pharmacists, and patients seeking to verify medication information and ensure they have the correct product.
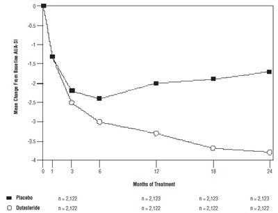
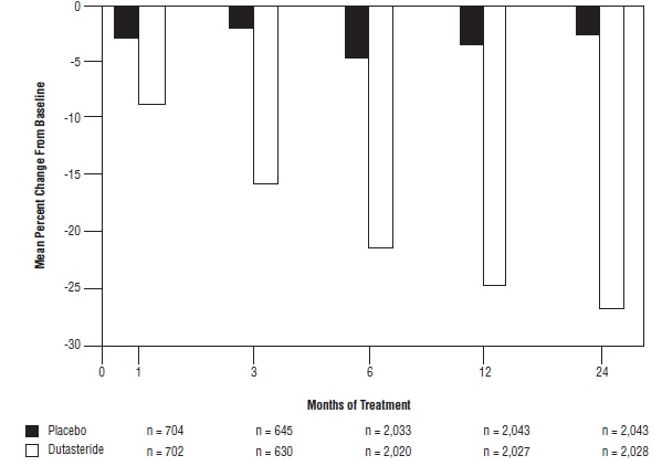
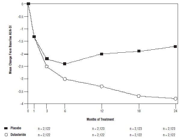
figure - dutesteride fig1

This text provides information about the mean change in the American Urological Association Symptom Index (AUA-SI) from baseline for a study involving Placebo and Dutasteride treatment over several months. The sample sizes for each group are 212.*
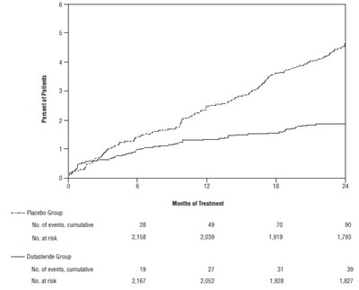
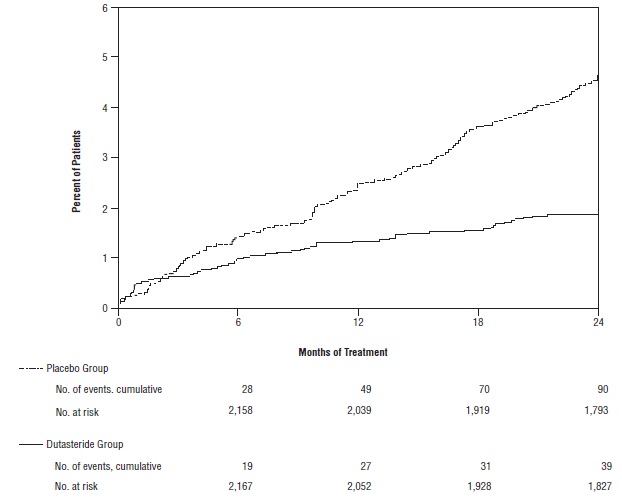
figure - dutesteride fig2

"Permentof Patients" study involves two groups - Placebo Group and Dutasteride Group. The placebo group has had 19 events and the Dutasteride group had 22 events cumulatively. The study has been tracking these events over several months of treatment in the year 2009."*
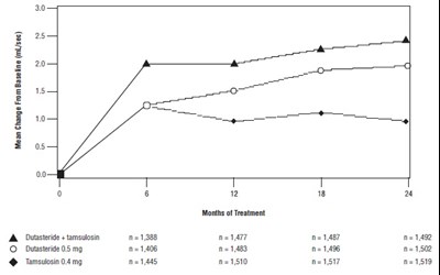
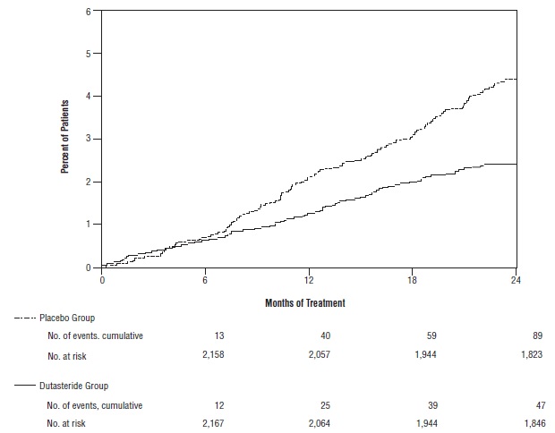
figure - dutesteride fig6

This text appears to show a comparison of the mean change from baseline in PSS (Prostate Symptom Score) after treatment with Dutasteride + Tamsulosin, consisting of Dutasteride 0.5 mg and Tamsulosin 0.4 mg. The data includes the number of participants (n) and the percentage change observed over a period of 6 months.*
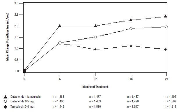
figure - dutesteride fig7

"Months of Treatment" data displayed for three different sets are shown in the text. The sets indicate the number of patients enrolled and the specific medication/treatment administered to them. The treatments listed include A Dusstride + amsulosin, O Dusteride 0.5 mg, and Tamsulosin 0.4mg. Each treatment set is associated with the number of patients (n) who received the treatment."*
Label Image - lbl500907305

This is a description of a product called "Biotasteride" in capsule form, with a quantity of 30 capsules. The product number is "6632-0" and it contains 0.5 mg. The text also mentions "Stone AT 6107 pecaces" and "FRTEEY o woRTORE" which are not clear and may not be relevant to the product.*
* The product label images have been analyzed using a combination of traditional computing and machine learning techniques. It should be noted that the descriptions provided may not be entirely accurate as they are experimental in nature. Use the information in this page at your own discretion and risk.